TOP
|
特許
|
意匠
|
商標
特許ウォッチ
Twitter
他の特許を見る
10個以上の画像は省略されています。
公開番号
2025172714
公報種別
公開特許公報(A)
公開日
2025-11-26
出願番号
2025079678
出願日
2025-05-12
発明の名称
ブロック共重合体、組成物およびこれを用いた物品
出願人
JNC株式会社
代理人
主分類
C08F
293/00 20060101AFI20251118BHJP(有機高分子化合物;その製造または化学的加工;それに基づく組成物)
要約
【課題】 材料中にフッ素を有しないまたはフッ素を極力排除した材料で、高い撥液性能を有すると同時に、その耐久性を向上することのできる技術を提供する。
【解決手段】 式(1)で表される構成単位からなるブロックと、光により架橋可能な官能基を有する構成単位からなるブロックとから構成されるブロック共重合体。
<com:Image com:imageContentCategory="Drawing"> <com:ImageFormatCategory>TIFF</com:ImageFormatCategory> <com:FileName>2025172714000016.tif</com:FileName> <com:HeightMeasure com:measureUnitCode="Mm">19</com:HeightMeasure> <com:WidthMeasure com:measureUnitCode="Mm">134</com:WidthMeasure> </com:Image>
(式中、X
1
は-O-または-NH-であり、R
10
は炭素数2~12のアルキレンまたはフェニレンであり、Y
1
は隣接する2つの構成単位の間で二重以上の水素結合可能な官能基であり、R
11
は炭素数10~30の直鎖、炭素数10~30の分岐、または炭素数10~30の環状の炭化水素基であり、これらの炭化水素基中には-O-または不飽和結合を含んでもよく、これらの炭化水素基中、Y
1
から2つ以上離れた炭素上の水素はフッ素で置き換えられてもよい。)
【選択図】 なし
特許請求の範囲
【請求項1】
式(1)で表される構成単位からなるブロックと、光により架橋可能な官能基を有する構成単位からなるブロックとから構成されるブロック共重合体。
TIFF
2025172714000014.tif
20
141
(式中、X
1
は-O-または-NH-であり、R
10
は炭素数2~12のアルキレンまたはフェニレンであり、Y
1
は隣接する2つの構成単位の間で二重以上の水素結合可能な官能基であり、R
11
は炭素数10~30の直鎖、炭素数10~30の分岐、または炭素数10~30の環状の炭化水素基であり、これらの炭化水素基中には-O-または不飽和結合を含んでもよく、これらの炭化水素基中、Y
1
から2つ以上離れた炭素上の水素はフッ素で置き換えられてもよい。)
続きを表示(約 870 文字)
【請求項2】
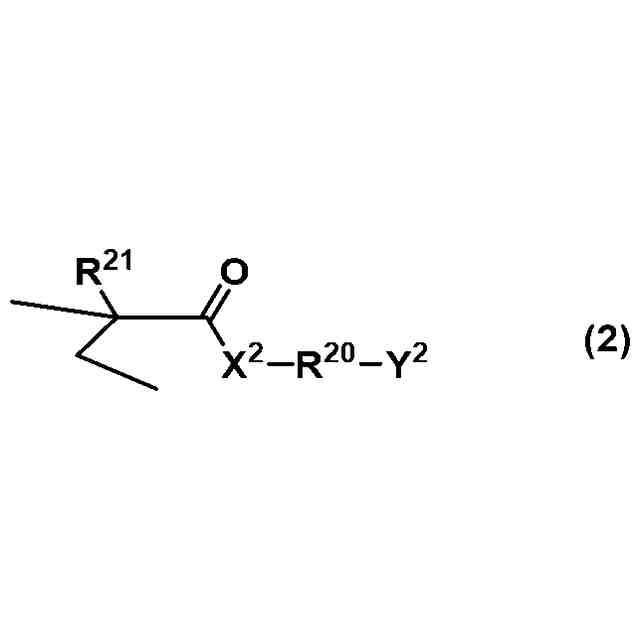
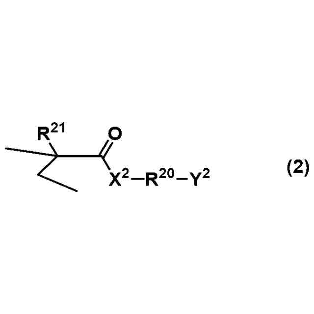
光により架橋可能な官能基を有する構成単位が、式(2)で表される構造である、請求項1に記載のブロック共重合体。
TIFF
2025172714000015.tif
22
144
(式中、X
2
は-O-または-NH-であり、R
20
は炭素数1~12のアルキレンまたはフェニレンであり、該アルキレンの少なくとも1つの-CH
2
-は-O-、-COO-、または-NHCOO-で置き換えられてもよく、Y
2
は光により架橋可能な官能基であり、R
21
は水素またはメチルである。)
【請求項3】
式(1)で表される構成単位におけるX
1
が、-O-であり、Y
1
が、-NHCONH-である、請求項1に記載のブロック共重合体。
【請求項4】
請求項1に記載の式(1)で表される構成単位におけるX
1
が、-O-であり、Y
1
が、-NHCONH-である、請求項2に記載のブロック共重合体。
【請求項5】
請求項2に記載の式(2)で表される構成単位におけるY
2
が、(メタ)アクリロイルオキシまたはエポキシである、請求項4に記載のブロック共重合体。
【請求項6】
請求項1~5のいずれか1項に記載のブロック共重合体と溶媒とを含む、組成物。
【請求項7】
さらに光反応開始剤を含む、請求項6に記載の組成物。
【請求項8】
ブロック共重合体の会合体の沈殿物を含む、請求項6に記載の組成物。
【請求項9】
ブロック共重合体の会合体の沈殿物を含む、請求項7に記載の組成物。
【請求項10】
請求項6に記載の組成物が基材に塗布され、ブロック共重合体が架橋されてなる、物品。
(【請求項11】以降は省略されています)
発明の詳細な説明
【技術分野】
【0001】
本発明は、PFAS(Per and polyfluoroalkyl Substances、ペルフルオロアルキルおよびポリフルオロアルキル物質)を含まないまたは削減した撥液コート材料に好適に用いられるブロック共重合体、組成物およびこれらを用いた物品に関する。
続きを表示(約 1,800 文字)
【背景技術】
【0002】
撥水撥油材料として多くの用途で使用されてきたPFASは、人体や環境に有害な物質として、各国で規制が強化されている。そのため、フッ素を含有せずにこのような撥水撥油材料が有する特性を示す材料に対する要求が高まっている。このような材料として、例えば、特許文献1に開示された重合体が報告されている。該先行文献には、長鎖アルキルのパッキング(結晶性)が撥液性能に寄与することが開示されている。また、このような長鎖アルキルがパッキング(結晶化)する材料として、非特許文献1などが公開されている。さらに、含フッ素の表面処理剤においても、より環境負荷が少ない材料として、特許文献2に開示された重合体が報告されている。
【0003】
特許文献1や特許文献2には、材料の撥液性に関する評価がなされている。しかしながら、撥液性を十分に発現させ、その劣化を防ぐためには、材料の溶媒溶解性や撥液性を付与する基材などの対象物への塗布性や密着性を改善する必要がある。さらに撥液性に関しても、その耐久性を向上させる必要がある。
【先行技術文献】
【特許文献】
【0004】
特開2022-159191号公報
特表2011-523432号公報
【非特許文献】
【0005】
「In-plane oriented highly ordered lamellar structure formation of poly(N-dodecylacrylamide) induced by humid annealing」、RSC Advance、2017年、第7巻、6631ページ。
【発明の概要】
【発明が解決しようとする課題】
【0006】
本発明は、材料中にフッ素を有しないまたはフッ素を極力排除した材料で、高い撥液性能を有すると同時に、その耐久性を向上させることのできる技術を開示する。
【課題を解決するための手段】
【0007】
本発明者は鋭意検討を重ねた結果、特定の構造の構成単位を有するブロック共重合体が所望の上記特性を満たすことを見出し、発明を完成させた。すなわち本発明は以下のとおりである。
【0008】
[1] 式(1)で表される構成単位からなるブロックと、光により架橋可能な官能基を有する構成単位からなるブロックとから構成されるブロック共重合体。
TIFF
2025172714000001.tif
20
136
(式中、X
1
は-O-または-NH-であり、R
10
は炭素数2~12のアルキレンまたはフェニレンであり、Y
1
は隣接する2つの構成単位の間で二重以上の水素結合可能な官能基であり、R
11
は炭素数10~30の直鎖、炭素数10~30の分岐、または炭素数10~30の環状の炭化水素基であり、これらの炭化水素基中には-O-または不飽和結合を含んでもよく、これらの炭化水素基中、Y
1
から2つ以上離れた炭素上の水素はフッ素で置き換えられてもよい。)
【0009】
[2] 光により架橋可能な官能基を有する構成単位が、式(2)で表される構造である、[1]に記載のブロック共重合体。
TIFF
2025172714000002.tif
22
140
(式中、X
2
は-O-または-NH-であり、R
20
は炭素数1~12のアルキレンまたはフェニレンであり、該アルキレンの少なくとも1つの-CH
2
-は-O-、-COO-、または-NHCOO-で置き換えられてもよく、Y
2
は光により架橋可能な官能基であり、R
21
は水素またはメチルである。)
【0010】
[3] [1]に記載の式(1)で表される構成単位におけるX
1
が、-O-であり、Y
1
が、-NHCONH-である、[1]または[2]に記載のブロック共重合体。
(【0011】以降は省略されています)
この特許をJ-PlatPat(特許庁公式サイト)で参照する
関連特許
JNC株式会社
液晶組成物および素子
2か月前
JNC株式会社
液晶組成物および素子
2か月前
JNC株式会社
不織布およびそれを用いて得られた製品
1か月前
JNC株式会社
ブロック共重合体、組成物およびこれを用いた物品
今日
JNC株式会社
オルガノポリシロキサンおよびその製造方法、ならびにオルガノポリシロキサンを含む組成物
21日前
JNC株式会社
重合性組成物およびインクジェット用インクならびに硬化物および電子部品
1か月前
株式会社カネカ
断熱材
19日前
東ソー株式会社
ペレット
1か月前
ユニチカ株式会社
透明シート
1か月前
株式会社コバヤシ
成形体
1か月前
東ソー株式会社
プラスチゾル組成物
19日前
東レ株式会社
ポリエステルフィルム
1か月前
丸住製紙株式会社
変性パルプ
1か月前
東ソー株式会社
ゴム用接着性改質剤
1か月前
東レ株式会社
ポリプロピレンフィルム
1か月前
横浜ゴム株式会社
重荷重タイヤ
1か月前
東ソー株式会社
エチレン系重合用触媒
22日前
UBE株式会社
衝撃吸収材
1か月前
株式会社スリーボンド
硬化性樹脂組成物
1か月前
アイカ工業株式会社
光硬化性樹脂組成物
1か月前
住友化学株式会社
樹脂組成物
1か月前
三洋化成工業株式会社
熱成形用樹脂組成物
1か月前
住友ベークライト株式会社
ポリマー
1か月前
ノリタケ株式会社
担体構造体
1か月前
日本特殊陶業株式会社
賦形体
7日前
住友ベークライト株式会社
ポリマー
1か月前
株式会社カネカ
シーリング材
1か月前
株式会社サンエー化研
フィルム
1か月前
ハイモ株式会社
油中水型エマルジョン重合体
1か月前
株式会社スリーボンド
湿気硬化型樹脂組成物
1か月前
デンカ株式会社
磁性ビーズの製造方法
1か月前
ユニチカ株式会社
ポリアミド系樹脂フィルム
1か月前
横浜ゴム株式会社
ゴム組成物の製造方法
22日前
花王株式会社
湿潤粉体付着抑制剤
20日前
AGC株式会社
フッ素樹脂組成物
19日前
東レ株式会社
ポリオレフィン系樹脂発泡シート
19日前
続きを見る
他の特許を見る