TOP
|
特許
|
意匠
|
商標
特許ウォッチ
Twitter
他の特許を見る
10個以上の画像は省略されています。
公開番号
2025172138
公報種別
公開特許公報(A)
公開日
2025-11-20
出願番号
2025145319,2021564030
出願日
2025-09-02,2020-12-10
発明の名称
符号化装置、復号装置、符号化方法、復号方法およびビットストリーム生成装置
出願人
パナソニック インテレクチュアル プロパティ コーポレーション オブ アメリカ
,
Panasonic Intellectual Property Corporation of America
代理人
個人
,
個人
,
個人
主分類
H04N
19/70 20140101AFI20251113BHJP(電気通信技術)
要約
【課題】符号化効率の改善、画質の改善、処理量の削減、回路規模の削減、処理速度の改善、及び、要素又は動作の適切な選択等のうち1つ以上に貢献し得る構成又は方法を提供する。
【解決手段】符号化装置100は、プロセッサa1と、プロセッサa1に接続されたメモリa2と、を備え、プロセッサa1は、動作において、レイヤ集合に含まれる少なくとも1つの出力レイヤの数に関わらず、復号装置の性能要件を示す性能要件情報を、VPSと複数のレイヤのうち特定のレイヤのヘッダとの両方に生成し、HRDパラメータが符号化されているか否かを示すフラグを前記VPSに生成し、フラグがHRDパラメータが符号化されていることを示す場合、VPSにHRDパラメータを生成し、少なくとも1つの出力レイヤの数が1に等しい場合、HRDパラメータは生成されない。
【選択図】図8
特許請求の範囲
【請求項1】
回路と、
前記回路に接続されたメモリと、を備え、
前記回路は、動作において、
レイヤ集合に含まれる少なくとも1つの出力レイヤの数に関わらず、復号装置の性能要件を示す性能要件情報を、VPS(Video Parameter Set)と複数のレイヤのうち特定のレイヤのヘッダとの両方に生成し、
HRD(Hypothetical Reference Decoder)パラメータが符号化されているか否かを示すフラグを前記VPSに生成し、
前記フラグが前記HRDパラメータが符号化されていることを示す場合、前記VPSに前記HRDパラメータを生成し、
前記少なくとも1つの出力レイヤの数が1に等しい場合、前記HRDパラメータは生成されない、
符号化装置。
続きを表示(約 1,400 文字)
【請求項2】
回路と、
前記回路に接続されたメモリと、を備え、
前記回路は、ビットストリームを復号する動作において、
レイヤ集合に含まれる少なくとも1つの出力レイヤの数に関わらず、復号装置の性能要件を示す性能要件情報を、VPS(Video Parameter Set)と複数のレイヤのうち特定のレイヤのヘッダとの両方から取得し、
HRD(Hypothetical Reference Decoder)パラメータが符号化されているか否かを示すフラグを前記VPSから取得し、
前記フラグが前記HRDパラメータが符号化されていることを示す場合、前記VPSから前記HRDパラメータを取得し、
前記少なくとも1つの出力レイヤの数が1に等しい場合、前記HRDパラメータは取得されない、
復号装置。
【請求項3】
レイヤ集合に含まれる少なくとも1つの出力レイヤの数に関わらず、復号装置の性能要件を示す性能要件情報を、VPS(Video Parameter Set)と複数のレイヤのうち特定のレイヤのヘッダとの両方に生成し、
HRD(Hypothetical Reference Decoder)パラメータが符号化されているか否かを示すフラグを前記VPSに生成し、
前記フラグが前記HRDパラメータが符号化されていることを示す場合、前記VPSに前記HRDパラメータを生成し、
前記少なくとも1つの出力レイヤの数が1に等しい場合、前記HRDパラメータは生成されない、
符号化方法。
【請求項4】
レイヤ集合に含まれる少なくとも1つの出力レイヤの数に関わらず、復号装置の性能要件を示す性能要件情報を、VPS(Video Parameter Set)から取得し、
HRD(Hypothetical Reference Decoder)パラメータが符号化されているか否かを示すフラグを前記VPSと複数のレイヤのうち特定のレイヤのヘッダとの両方から取得し、
前記フラグが前記HRDパラメータが符号化されていることを示す場合、前記VPSから前記HRDパラメータを取得し、
前記少なくとも1つの出力レイヤの数が1に等しい場合、前記HRDパラメータは取得されない、
復号方法。
【請求項5】
回路と、
前記回路に接続されたメモリと、を備え、
前記回路は、動作において、
レイヤ集合に含まれる少なくとも1つの出力レイヤの数に関わらず、復号装置の性能要件を示す性能要件情報を、VPS(Video Parameter Set)と複数のレイヤのうち特定のレイヤのヘッダとの両方に生成し、
HRD(Hypothetical Reference Decoder)パラメータが符号化されているか否かを示すフラグを前記VPSに生成し、
前記フラグが前記HRDパラメータが符号化されていることを示す場合、前記VPSに前記HRDパラメータを生成し、
前記VPSと前記少なくとも1つの出力レイヤに含まれる少なくとも1つの画像を符号化したデータとを含むビットストリームを出力し、
前記少なくとも1つの出力レイヤの数が1に等しい場合、前記HRDパラメータは生成されない、
ビットストリーム生成装置。
発明の詳細な説明
【技術分野】
【0001】
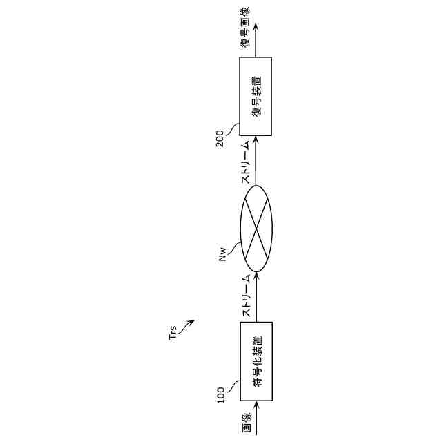
本開示は、ビデオコーディングに関し、特に、動画像の符号化および復号におけるシステム、構成要素、ならびに方法などに関する。
続きを表示(約 1,700 文字)
【背景技術】
【0002】
ビデオコーディング技術は、H.261およびMPEG-1から、H.264/AVC(Advanced Video Coding)、MPEG-LA、H.265/HEVC(High Efficiency Video Coding)、およびH.266/VVC(Versatile Video Codec)へ進歩している。この進歩に伴い、様々な用途において増え続けるデジタルビデオデータ量を処理するために、ビデオコーディング技術の改良および最適化を提供することが常に必要とされている。本開示は、ビデオコーディングにおけるさらなる進歩、改良および最適化に関する。
【0003】
なお、非特許文献1は、上述されたビデオコーディング技術に関する従来の規格の一例に関する。
【先行技術文献】
【非特許文献】
【0004】
H.265(ISO/IEC 23008-2 HEVC)/HEVC(High Efficiency Video Coding)
【発明の概要】
【発明が解決しようとする課題】
【0005】
上記のような符号化方式に関して、符号化効率の改善、画質の改善、処理量の削減、回路規模の削減、又は、フィルタ、ブロック、サイズ、動きベクトル、参照ピクチャ又は参照ブロック等の要素又は動作の適切な選択等のため、新たな方式の提案が望まれている。
【0006】
本開示は、例えば、符号化効率の改善、画質の改善、処理量の削減、回路規模の削減、処理速度の改善、及び、要素又は動作の適切な選択等のうち1つ以上に貢献し得る構成又は方法を提供する。なお、本開示は、上記以外の利益に貢献し得る構成又は方法を含み得る。
【課題を解決するための手段】
【0007】
例えば、本開示の一態様に係る符号化装置は、回路と、前記回路に接続されたメモリと、を備え、前記回路は、動作において、レイヤ集合に含まれる少なくとも1つの出力レイヤの数に関わらず、復号装置の性能要件を示す性能要件情報を、VPS(Video Parameter Set)と複数のレイヤのうち特定のレイヤのヘッダとの両方に生成し、HRD(Hypothetical Reference Decoder)パラメータが符号化されているか否かを示すフラグを前記VPSに生成し、前記フラグが前記HRDパラメータが符号化されていることを示す場合、前記VPSに前記HRDパラメータを生成し、前記少なくとも1つの出力レイヤの数が1に等しい場合、前記HRDパラメータは生成されない。
【0008】
ビデオコーディング技術においては、符号化効率の改善、画質の改善、回路規模の削減などのために、新たな方式の提案が望まれている。
【0009】
本開示における各実施の形態、またはその一部の構成もしくは方法のそれぞれは、例えば、符号化効率の改善、画質の改善、符号化/復号の処理量の削減、回路規模の削減、または、符号化/復号の処理速度の改善などのうちの、少なくともいずれか1つを可能にする。あるいは、本開示における各実施の形態、またはその一部の構成もしくは方法のそれぞれは、符号化および復号において、フィルタ、ブロック、サイズ、動きベクトル、参照ピクチャ、参照ブロックなどの構成要素/動作の適切な選択などを可能にする。なお、本開示は、上記以外の利益を提供し得る構成または方法の開示も含む。例えば、処理量の増加を抑えつつ、符号化効率を改善する構成または方法などである。
【0010】
本開示の一態様におけるさらなる利点および効果は、明細書および図面から明らかにされる。かかる利点および/または効果は、いくつかの実施の形態並びに明細書および図面に記載された特徴によってそれぞれ得られるが、1つまたはそれ以上の利点および/または効果を得るために必ずしも全てが提供される必要はない。
(【0011】以降は省略されています)
この特許をJ-PlatPat(特許庁公式サイト)で参照する
関連特許
個人
イヤーピース
18日前
個人
イヤーマフ
1か月前
個人
監視カメラシステム
1か月前
個人
スイッチシステム
26日前
キーコム株式会社
光伝送線路
1か月前
個人
スキャン式車載用撮像装置
1か月前
サクサ株式会社
中継装置
1か月前
WHISMR合同会社
収音装置
2か月前
サクサ株式会社
中継装置
1か月前
アイホン株式会社
電気機器
2か月前
株式会社リコー
画像形成装置
1か月前
サクサ株式会社
無線通信装置
1か月前
個人
映像表示装置、及びARグラス
27日前
サクサ株式会社
無線システム
1か月前
キヤノン電子株式会社
画像読取装置
1か月前
キヤノン電子株式会社
画像読取装置
2か月前
キヤノン電子株式会社
画像読取装置
18日前
キヤノン電子株式会社
画像読取装置
26日前
個人
ワイヤレスイヤホン対応耳掛け
2か月前
ヤマハ株式会社
放音制御装置
26日前
サクサ株式会社
無線通信装置
1か月前
キヤノン株式会社
画像処理装置
21日前
キヤノン株式会社
情報処理装置
5日前
個人
発信機及び発信方法
1か月前
日本電気株式会社
海底分岐装置
1か月前
キヤノン株式会社
撮像システム
2か月前
キヤノン電子株式会社
シート搬送装置
18日前
株式会社NTTドコモ
端末
1か月前
シャープ株式会社
表示装置
18日前
株式会社JVCケンウッド
通信システム
1か月前
シャープ株式会社
端末装置
1か月前
大日本印刷株式会社
写真撮影装置
2か月前
株式会社NTTドコモ
端末
1か月前
日本セラミック株式会社
超音波送受信器
5日前
キヤノン電子株式会社
画像処理システム
1か月前
沖電気工業株式会社
画像形成装置
1か月前
続きを見る
他の特許を見る