TOP
|
特許
|
意匠
|
商標
特許ウォッチ
Twitter
他の特許を見る
10個以上の画像は省略されています。
公開番号
2025171947
公報種別
公開特許公報(A)
公開日
2025-11-20
出願番号
2025018574
出願日
2025-02-06
発明の名称
光学設計プログラムおよび光学設計方法
出願人
キヤノン株式会社
代理人
個人
,
個人
,
個人
主分類
G02B
13/00 20060101AFI20251113BHJP(光学)
要約
【課題】分散制御された回折面を含む光学系の良好な光学設計を行う。
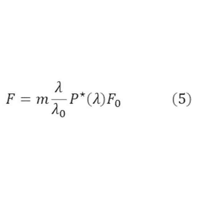
【解決手段】光学設計プログラムは、光学面に付加された光路差関数Fを、面の光路差分散をP
★
(λ)、回折次数をm、回折面の設計波長をλ
0
、入射波長をλ、設計波長における面の光路差関数をF
0
とし、回折面の設計波長および入射波長のそれぞれにおける格子ピッチP
0
およびP(λ)が、P
★
(λ)=P
0
/P(λ)の関係にあるものとして、所定の関数を用いて計算する。
【選択図】図1
特許請求の範囲
【請求項1】
光学面に付加された光路差関数Fを、
面の光路差分散をP
★
(λ)、回折次数をm、回折面の設計波長をλ
0
、入射波長をλ、設計波長における面の光路差関数をF
0
とし、
前記回折面の前記設計波長および前記入射波長のそれぞれにおける格子ピッチP
0
およびP(λ)が、P
★
(λ)=P
0
/P(λ)の関係にあるものとして、
JPEG
2025171947000065.jpg
17
49
なる関数を用いて計算することを特徴とする光学設計プログラム。
続きを表示(約 1,500 文字)
【請求項2】
前記光路差関数Fが付加された前記光学面の焦点距離fを、前記光路差分散P
★
(λ)を用いて計算することを特徴とする請求項1に記載の光学設計プログラム。
【請求項3】
前記光路差分散P
★
(λ)を含む式を用いて、近軸追跡値および収差係数のうち少なくとも一方を計算することを特徴とする請求項1に記載の光学設計プログラム。
【請求項4】
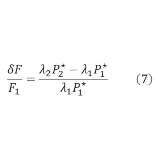
前記光路差関数Fの、第1波長との光路差関数の偏差をδFとするとき、該偏差δFを含む項を用いて色収差係数を計算することを特徴とする請求項1に記載の光学設計プログラム。
【請求項5】
前記偏差δFを、
基準とする第1波長をλ
1
、該第1波長に対する色収差を計算する第2波長をλ
2
、該波長λ
1
、λ
2
における前記光路差分散をそれぞれP
★
1
、P
★
2
として、
JPEG
2025171947000066.jpg
9
57
なる式を用いて計算することを特徴とする請求項4に記載の光学設計プログラム。
【請求項6】
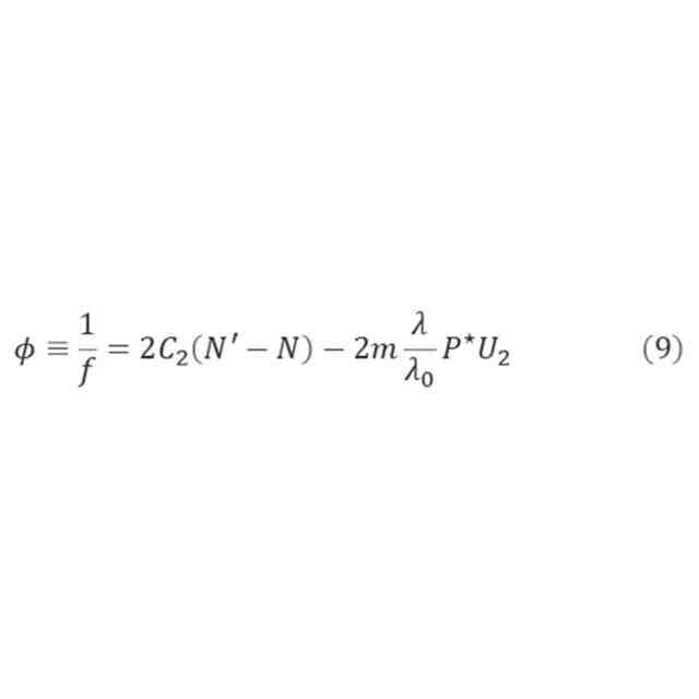
前記光路差関数Fが付加された前記光学面の焦点距離fを、
前記光学面の面形状をベキ級数展開したときの2次の係数をC
2
、前記光学面の入射空間の屈折率をN、前記光学面の射出空間の屈折率をN′、前記光学面に付加された前記設計波長における面の光路差関数をベキ級数展開したときの2次の係数をU
2
として、
JPEG
2025171947000067.jpg
18
94
なる式を用いて計算することを特徴とする請求項1に記載の光学設計プログラム。
【請求項7】
光学面に付加された光路差関数Fを、
面の光路差分散をP
★
(λ)、回折次数をm、回折面の設計波長をλ
0
、入射波長をλ、設計波長における面の光路差関数をF
0
とし、
前記回折面の前記設計波長および前記入射波長のそれぞれにおける格子ピッチP
0
およびP(λ)が、P
★
(λ)=P
0
/P(λ)の関係にあるものとして、
JPEG
2025171947000068.jpg
20
58
なる関数を用いて計算することを特徴とする光学設計方法。
【請求項8】
前記偏差δFを、
基準とする第1波長をλ
1
、該第1波長に対する色収差を計算する第2波長をλ
2
、該波長λ
1
、λ
2
における前記光路差分散をそれぞれP
★
1
、P
★
2
として、
JPEG
2025171947000069.jpg
10
59
なる式を用いて計算することを特徴とする請求項7に記載の光学設計方法。
【請求項9】
請求項1から8のいずれか一項に記載の光学設計プログラムまたは光学設計方法を用いて光学設計されたことを特徴とする光学系。
【請求項10】
請求項9に記載の光学系と、
該光学系を通して被写体を撮像する撮像素子とを有することを特徴とする撮像装置。
発明の詳細な説明
【技術分野】
【0001】
本発明は、光学設計のためのプログラム(ソフトウェア)および方法に関する。
続きを表示(約 1,200 文字)
【背景技術】
【0002】
光路差関数を用いて、回折面を幾何光学的に表現する光路差関数法が非特許文献1に開示されている。また、その方法に基づいて、焦点距離、色収差係数および3次収差係数を計算する方法が非特許文献2に開示されている。
【先行技術文献】
【非特許文献】
【0003】
宮前 博,「回折レンズ系の幾何光学的取り扱い」,光学,27,513(1998)
荒木 敬介、「収差論の回折光学系への拡張」、Optics & Photonics Japan2010,予稿集,p.260~261 (2010)
【発明の概要】
【発明が解決しようとする課題】
【0004】
しかしながら、非特許文献1に開示された光路差関数法や非特許文献2に開示された計算方法は、例えばメタサーフェスで実現されるような波長分散特性が制御された回折面(以下、分散制御された回折面という)には用いることができない。
【0005】
本発明は、分散制御された回折面を含む光学系の良好な光学設計を行えるようにした光学設計プログラムおよび方法を提供する。
【課題を解決するための手段】
【0006】
本発明の一側面としての光学設計プログラムおよび光学設計方法は、光学面に付加された光路差関数Fを、面の光路差分散をP
★
(λ)、回折次数をm、回折面の設計波長をλ
0
、入射波長をλ、設計波長における面の光路差関数をF
0
とし、回折面の設計波長および入射波長のそれぞれにおける格子ピッチP
0
およびP(λ)が、P
★
(λ)=P
0
/P(λ)の関係にあるものとして、
【0007】
JPEG
2025171947000002.jpg
15
70
【0008】
なる関数を用いて計算することを特徴とする。なお、上記光学設計プログラムおよび光学設計方法を用いて光学設計された光学系、さらには該光学系を含む撮像装置も本発明の他の一側面を構成する。
【発明の効果】
【0009】
本発明の光学設計プログラムおよび方法によれば、分散制御された回折面を含む光学系の良好な光学設計を行うことができる。
【図面の簡単な説明】
【0010】
実施例1の光学系の断面図。
実施例1の光学系の収差図。
実施例2の光学系の断面図。
実施例2の光学系の収差図。
実施例3の光学系の断面図。
実施例3の光学系の収差図。
実施例1から3の光学系を備えた撮像装置。
【発明を実施するための形態】
(【0011】以降は省略されています)
この特許をJ-PlatPat(特許庁公式サイト)で参照する
関連特許
キヤノン株式会社
容器
27日前
キヤノン株式会社
容器
21日前
キヤノン株式会社
トナー
13日前
キヤノン株式会社
トナー
1か月前
キヤノン株式会社
電子機器
13日前
キヤノン株式会社
現像容器
1か月前
キヤノン株式会社
撮像装置
14日前
キヤノン株式会社
撮像装置
8日前
キヤノン株式会社
記録装置
13日前
キヤノン株式会社
電子機器
13日前
キヤノン株式会社
現像装置
1か月前
キヤノン株式会社
記録装置
13日前
キヤノン株式会社
撮像装置
今日
キヤノン株式会社
現像装置
1か月前
キヤノン株式会社
現像装置
1か月前
キヤノン株式会社
撮像装置
今日
キヤノン株式会社
表示装置
21日前
キヤノン株式会社
記録装置
27日前
キヤノン株式会社
撮像装置
27日前
キヤノン株式会社
定着装置
今日
キヤノン株式会社
撮像装置
27日前
キヤノン株式会社
撮像装置
27日前
キヤノン株式会社
電子機器
8日前
キヤノン株式会社
撮像装置
13日前
キヤノン株式会社
現像容器
1か月前
キヤノン株式会社
測距装置
1か月前
キヤノン株式会社
測距装置
15日前
キヤノン株式会社
定着装置
6日前
キヤノン株式会社
定着装置
6日前
キヤノン株式会社
撮像装置
21日前
キヤノン株式会社
定着装置
今日
キヤノン株式会社
記録装置
6日前
キヤノン株式会社
定着装置
6日前
キヤノン株式会社
雲台装置
13日前
キヤノン株式会社
液体収容体
16日前
キヤノン株式会社
液体収容体
15日前
続きを見る
他の特許を見る