TOP
|
特許
|
意匠
|
商標
特許ウォッチ
Twitter
他の特許を見る
10個以上の画像は省略されています。
公開番号
2025168355
公報種別
公開特許公報(A)
公開日
2025-11-07
出願番号
2025130544,2023508090
出願日
2025-08-05,2021-08-04
発明の名称
ジフルオロメチル-ピリジン-2-イルトリアゾール
出願人
ベーリンガー インゲルハイム インターナショナル ゲゼルシャフト ミット ベシュレンクテル ハフツング
代理人
個人
,
個人
,
個人
,
個人
,
個人
,
個人
主分類
C07D
401/14 20060101AFI20251030BHJP(有機化学)
要約
【課題】中枢神経系疾患及び他の疾患を治療するのに有用な化合物、医薬組成物及びその製造方法を提供すること。
【解決手段】α5サブユニットを含有するGABA
A
受容体の調節薬である、一般式(I)のジフルオロメチル-ピリジン-2-イルトリアゾール、前記化合物を含む医薬組成物、及び前記化合物を製造する方法。
【選択図】なし
特許請求の範囲
【請求項1】
式(I)を有する化合物又はその塩。
JPEG
2025168355000114.jpg
77
68
(I)
(式中、
Xa及びXbは互いに異なり、C又はNを表し、
R1は、置換フェニル、又は1個若しくは2個若しくは3個のヘテロ原子を含有する5員若しくは6員置換ヘテロシクリル環である)
続きを表示(約 2,100 文字)
【請求項2】
Xa又はXbのいずれかがCである、請求項1に記載の化合物又はその塩。
【請求項3】
R1が、
カルバモイルで置換されたフェニル
JPEG
2025168355000115.jpg
45
150
及び
非置換2-ピリドン、又はフッ素などのハロゲンで置換された、又は窒素においてメチル若しくはエチルで置換された2-ピリドン
JPEG
2025168355000116.jpg
39
150
からなる群から選択される、請求項1に記載の化合物又はその塩。
【請求項4】
R1が、
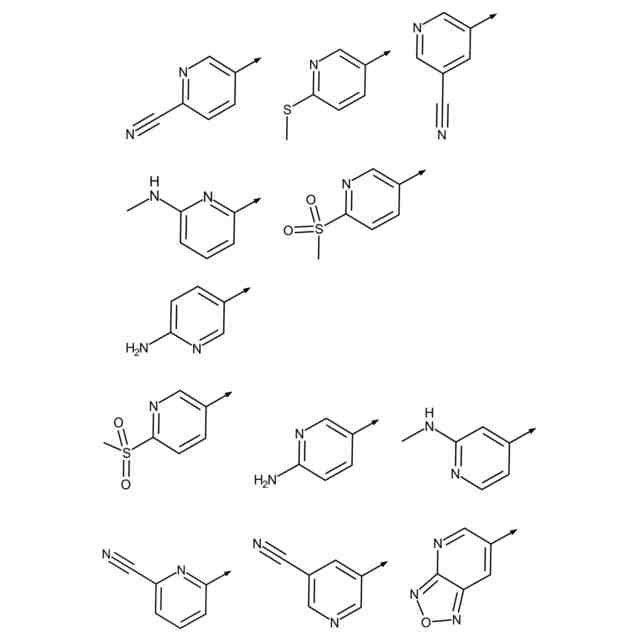
NC-又は-チオメチレート-、アミノ-、メチル-アミノ-又は-メチルスルホニル又はハロゲンで置換された3-ピリジル、
JPEG
2025168355000117.jpg
249
163
である、請求項1に記載の化合物又はその塩。
【請求項5】
R1が、
置換若しくは非置換ピリミジニル-(C
1-6
-アルキル-、-アミノ、-ヒドロキシメチルで置換)又はピラジニル-、
JPEG
2025168355000118.jpg
70
150
である、請求項1に記載の化合物又はその塩。
【請求項6】
R1が、
C
1-6
-アルキル-又はNC-CH
2
-CH
2
-で置換されたピロリル-、及びC
1-6
-アルキル-、C
3-5
-シクロアルキル-、NC-CH
2
-CH
2
-、-アミノ、-メチル-アミノ、又は-ハロゲンで置換されたピラゾリル-
JPEG
2025168355000119.jpg
211
153
JPEG
2025168355000120.jpg
156
134
である、請求項1に記載の化合物又はその塩。
【請求項7】
R1が、
C
1-6
-アルキル-、カルバモイル、NC-CH
2
-CH
2
-、アミノ-又は-メチルアミノ-で置換されたイミダゾリ-
JPEG
2025168355000121.jpg
118
150
である、請求項1に記載の化合物又はその塩。
【請求項8】
R1が、
非置換トリアゾリル-又はメチルなどのC
1-3
-アルキル-で置換されたトリアゾリル-
JPEG
2025168355000122.jpg
70
150
である、請求項1に記載の化合物又はその塩。
【請求項9】
R1が、
メチルで置換されたオキサゾリル-又はNC-CH
2
-CH
2
-で置換されたチオフェニル-、
JPEG
2025168355000123.jpg
45
150
である、請求項1に記載の化合物又はその塩。
【請求項10】
R1が、
カルバモイルで置換されたフェニル、
非置換2-ピリドン、又はフッ素などのハロゲンで置換された、又は窒素においてメチル若しくはエチルで置換された2-ピリドン、
NC-又はチオメチレート-、アミノ-、メチル-アミノ-、メチルスルホニル-又はハロゲンで置換された3-ピリジル、
非置換ピリミジニル-、又はC
1-6
-アルキル-、アミノ-、-ヒドロキシメチル-で置換されたピリミジニル-、又はピラジニル-、
C
1-6
-アルキル-又はNC-CH
2
-CH
2
-で置換されたピロリル-、及びC
1-6
-アルキル-、C
3-5
-シクロアルキル-、NC-CH
2
-CH
2
-、アミノ-、メチル-アミノ-、又は-ハロゲンで置換されたピラゾリル-、
C
1-6
-アルキル-、カルバモイル-、NC-CH
2
-CH
2
-、アミノ-又は-メチルアミノ-で置換されたイミダゾリ-、
非置換トリアゾリル-又はメチルなどのC
1-3
-アルキル-で置換されたトリアゾリル-、
メチルで置換されたオキサゾリル-及びNC-CH
2
-CH
2
-で置換されたチオフェニル-
からなる群から選択される、請求項1に記載の化合物又はその塩。
(【請求項11】以降は省略されています)
発明の詳細な説明
【技術分野】
【0001】
本発明は、α5サブユニットを含有するGABA
A
受容体の調節薬である、一般式(I)のジフルオロメチル-ピリジン-2-イルトリアゾールに関する。化合物は、中枢神経系及び他の疾患を治療するのに有用である。さらに、本発明は、医薬組成物を調製するための方法、及び本発明による化合物を製造するための方法に関する。
続きを表示(約 3,700 文字)
【背景技術】
【0002】
GABA
A
α5サブユニットが、中枢神経系の各種疾患及び障害の治療における治療標的となることが示唆されている。治療標的としてのGABA
A
α5サブユニットと各種神経障害、概日リズム障害、疼痛状態との間の関連が確立されてきた。α5サブユニットを含有するGABA
A
受容体を調節することができる化合物は特に、とりわけ認知障害、アルツハイマー病、統合失調症、統合失調症に関連する陽性、陰性及び/又は認知症状、統合失調症に関連する認知機能障害、並びにダウン症候群、自閉症、神経線維腫症I型に関連するか又は脳卒中後の認知欠損の治療に有用な候補となることが予期される。
【0003】
国際公開第2012/062687号(欧州特許出願公開第2638029号に対応)は、神経障害を治療するためのトリアゾール誘導体を開示する。
国際公開第2020/016443号は、神経系疾患を治療するためのGABA受容体調節薬としてのジフルオロメチル-フェニルトリアゾールを開示する。前記化合物は、トリアゾール環に連結したフェニル基に結合したジフルオロメチル基を含有する。
本発明は、ジフルオロメチル-ピリジン-2-イルトリアゾールを記載する。前記化合物は、トリアゾール環に連結した2-ピリジン基に結合したジフルオロメチル基を含有する。2-ピリジン基の、結合したジフルオロメチル基との組み合わせは、驚くべきことに、国際公開第2020/016443号に記載される同様の化合物よりもかなり強力な、α5サブユニットを含有するGABA
A
受容体の調節薬である化合物につながった。化合物の調節効力は、以下に記載されるアッセイAにおける、化合物のKi値として測定可能である。この場合、国際公開第2020/016443号のフェニルトリアゾールに使用されたフェニル基の代わりのピリジン基、及び4位でのジフルオロメチル基の組み合わせは、請求項に係る化合物の効力を概して少なくとも約10倍以上、予想外に増大させる。
効力はGABA
A
5R結合定数Kiと関係し、効力の増大は、疾患治療における各化合物の有効用量の低下につながる。
【発明の概要】
【0004】
本発明の目的
驚くべきことに、一般式(I)のピリジン-2-イル-トリアゾール
JPEG
2025168355000001.jpg
77
68
(I)
(式中、
Xa及びXbは互いに異なり、C又はNを表し、
R1は、置換フェニル、又は1個若しくは2個若しくは3個のヘテロ原子を含有する5員若しくは6員ヘテロシクリル環である)
が、GABA
A
5R結合特性に関して改善された特性を有し、それが疾患治療における化合物の用量低下及び副作用の最小化につながる、GABA
A
5Rの優れた負の調節薬(すなわちGABA
A
α5サブユニットの負の調節薬)であることが判明した。さらに、本発明の化合物は、CNSにおける所期の作用及び高い代謝安定性を有する薬物に必要な、脳の区画からの低い排出率を有する優れたCNS浸透を有する。
【0005】
ゆえに、本発明の一態様は、GABA
A
5Rの負の調節薬である、式(I)による化合物、又はその塩を指す。
本発明の別の態様は、高いGABA
A
5R結合特性を有するGABA
A
5Rの負の調節薬である、式(I)による化合物、又はその医薬的に許容可能な塩を指す。
本発明の別の態様は、高いGABA
A
5R結合特性、並びに脳の区画からの低い排出率及び高い代謝安定性を有する優れたCNS浸透を有する、GABA
A
5Rの負の調節薬である、式(I)による化合物、又はその医薬的に許容可能な塩を指す。
【0006】
さらに本発明のさらなる態様は、任意に1種又は複数の不活性な担体及び/又は希釈剤とともに、式(I)による少なくとも1種の化合物又はその医薬的に許容可能な塩を含有する医薬組成物に関する。
本発明のさらなる態様は、本発明の化合物の製造方法に関する。
【0007】
特に、本発明は、急性神経障害、慢性神経障害、認知障害、アルツハイマー病、記憶欠損、統合失調症、統合失調症に関連する陽性、陰性及び/又は認知症状、統合失調症に関連する認知機能障害、双極性障害、自閉症、ダウン症候群、神経線維腫症I型、術後認知機能低下、睡眠障害、概日リズム障害、筋萎縮性側索硬化症、AIDSにより引き起こされる認知症、精神病性障害、物質誘発性精神病性障害、不安障害、全般不安障害、パニック障害、妄想性障害、強迫性障害、急性ストレス障害、薬物依存、運動障害、パーキンソン病、下肢静止不能症候群、認知欠損障害、多発梗塞性認知症、気分障害、うつ、大うつ病性障害、精神神経状態、精神病、注意欠陥多動性障害、神経障害性疼痛、脳卒中、注意障害、摂食障害、食欲不振、神経性食欲不振、悪液質、体重減少、筋萎縮、疼痛状態、慢性疼痛、侵害受容性疼痛、術後疼痛、変形性膝関節症疼痛、関節リウマチ痛、筋骨格痛、火傷痛、眼痛、炎症による痛み、骨折による痛み、痛覚過敏、神経障害性疼痛、ヘルペス関連痛、HIV関連神経障害性疼痛、外傷性神経損傷、外傷性脳損傷後回復、脳卒中後疼痛、虚血後痛、線維筋痛、慢性頭痛、片頭痛、緊張型頭痛、糖尿病性神経障害性疼痛、幻肢痛、内臓痛及び皮膚痛などの、GABA
A
5Rの負の調節の影響を受けうる疾患又は状態の予防及び/又は治療における使用のための、式(I)による化合物、又はその医薬的に許容可能な塩、又は式(I)による化合物若しくはその医薬的に許容可能な塩を含む医薬組成物に関する。
本発明の他の結果又は結論は、上述及び以下の記述から直接、当業者に明らかとなる。
【発明を実施するための形態】
【0008】
本発明は、一般式(I)の化合物
JPEG
2025168355000002.jpg
77
68
(I)
又はその塩に関する。
(式中、
Xa及びXbは互いに異なり、C又はNを表し、
R1は、置換フェニル、又は1個若しくは2個若しくは3個のヘテロ原子を含有する5員若しくは6員置換ヘテロシクリル環である)
【0009】
特に、Xa又はXbのいずれかがCである。
R1は、好ましくは
カルバモイルで置換されたフェニル、
非置換2-ピリドン、又はフッ素などのハロゲンで置換された、又は窒素においてメチル若しくはエチルで置換された2-ピリドン、
シアノ-(NC-)又はチオメチレート-、アミノ-、メチル-アミノ-、メチルスルホニル-又はハロゲンで置換された2、3又は4-ピリジル、
非置換ピリミジニル-、又はC
1-6
-アルキル-、アミノ-、-ヒドロキシメチル-で置換されたピリミジニル-、又はピラジニル-又はピリダジニル、
C
1-6
-アルキル-又はNC-CH
2
-CH
2
-で置換されたピロリル-、及びC
1-6
-アルキル-、C
3-5
-シクロアルキル-、NC-CH
2
-CH
2
-、アミノ-、メチル-アミノ-、又はハロゲンで置換されたピラゾリル-、
C
1-6
-アルキル-、カルバモイル-、NC-CH
2
-CH
2
-、アミノ-又は-メチルアミノ-で置換されたイミダゾリ-(imidazoly-)、
非置換トリアゾリル-又はメチルなどのC
1-3
-アルキル-で置換されたトリアゾリル-、
メチルで置換されたオキサゾリル-及びNC-CH
2
-CH
2
-で置換されたチオフェニル-、
からなる群から選択される。
【0010】
別途指定されない限り、基、残基、及び置換基、特にR1は、先述及び以下のように定義される。残基、置換基、又は基が化合物中に数回出現する場合、これらは同じ又は異なる意味を有しうる。本発明による化合物の基及び置換基についてのいくつかの好ましい意味が以下で与えられる。
本発明のさらなる実施形態において、R1は、
カルバモイルで置換されたフェニル、例えば
(【0011】以降は省略されています)
この特許をJ-PlatPat(特許庁公式サイト)で参照する
関連特許
クミアイ化学工業株式会社
多形
11日前
東ソー株式会社
タンパク質の発現方法
1か月前
東ソー株式会社
炭素-窒素結合形成方法
4か月前
株式会社トクヤマ
四塩化炭素の製造方法
4か月前
株式会社トクヤマ
シロキサン類の回収方法
4か月前
株式会社半導体エネルギー研究所
有機化合物
11日前
株式会社半導体エネルギー研究所
有機化合物
2か月前
株式会社トクヤマ
ビオチン誘導体の製造方法
3か月前
栗田工業株式会社
ギ酸の回収方法
1か月前
株式会社トクヤマ
チオラクトン誘導体の製造方法
1か月前
株式会社トクヤマ
ベンザゼピン化合物の製造方法
3か月前
東ソー株式会社
イソシアネート化合物の製造方法
2か月前
株式会社トクヤマ
ホルムアミド化合物の製造方法
2か月前
株式会社コスモス
液状炭化水素の増産方法
3か月前
株式会社コスモス
液状炭化水素の増産方法
3か月前
artience株式会社
四塩基酸無水物の製造方法
4か月前
株式会社トクヤマ
チオファニウム塩誘導体の製造方法
13日前
信越化学工業株式会社
新規化合物
4か月前
日産化学株式会社
ピラゾール化合物及び有害生物防除剤
3か月前
三菱ケミカル株式会社
アルコールの製造方法
2か月前
株式会社トクヤマ
サフィナミド若しくはその塩の製造方法
4か月前
大阪瓦斯株式会社
メタン製造システム
1か月前
国立大学法人東京農工大学
深共晶溶媒
2か月前
本田技研工業株式会社
CO2変換方法
1か月前
JNC株式会社
有機ケイ素化合物およびこれを用いた重合体
2か月前
株式会社トクヤマ
アシル化ベンゼン誘導体の酸塩の製造方法
2か月前
東ソー株式会社
免疫グロブリン結合性タンパク質の保存溶液
4か月前
東ソー株式会社
免疫グロブリン結合性タンパク質の製造方法
1か月前
キヤノン株式会社
有機化合物及び有機発光素子
1か月前
JNC株式会社
有機ケイ素化合物およびこれを用いた重合体
3か月前
個人
IL-17産生誘導能を有する化合物及びその用途
1か月前
キヤノン株式会社
有機金属錯体及び有機発光素子
1か月前
株式会社半導体エネルギー研究所
有機金属錯体、発光デバイス
2か月前
国立大学法人京都大学
抗がん剤
2か月前
デンカ株式会社
有機酸又はその塩の製造方法
2か月前
株式会社 MTG
ツバキ科ツバキ属の若葉からのエラグ酸製造方法
2か月前
続きを見る
他の特許を見る