TOP
|
特許
|
意匠
|
商標
特許ウォッチ
Twitter
他の特許を見る
10個以上の画像は省略されています。
公開番号
2025168028
公報種別
公開特許公報(A)
公開日
2025-11-07
出願番号
2024073121
出願日
2024-04-26
発明の名称
作業機械
出願人
日立建機株式会社
代理人
弁理士法人開知
主分類
E02F
9/22 20060101AFI20251030BHJP(水工;基礎;土砂の移送)
要約
【課題】エンジンのラグダウンやストールの発生を適切に防止可能な作業機械を提供する。
【解決手段】作業機械は、アクチュエータ制御弁及び流量制御弁により油圧ポンプからタンクに作動油を導く流路の開口面積が変化する排出ラインと、操作装置の操作量に基づいて、アクチュエータ制御弁及び流量制御弁を制御するコントローラと、を備えている。コントローラは、操作装置の操作量に基づいて、油圧ポンプの要求流量を演算し、操作装置の操作量に基づいて、排出ラインの開口面積を演算し、要求流量及び開口面積に基づいて、油圧アクチュエータが急停止した場合に上昇し得る油圧ポンプの吐出圧の最大圧力を予測し、予測した最大圧力に基づいて、油圧ポンプの吐出圧が最大圧力まで上昇したことを仮定した場合の油圧ポンプのトルクがエンジンの許容トルクを超えないように、エンジンの回転速度、及び油圧ポンプの容積を制御する。
【選択図】図7
特許請求の範囲
【請求項1】
エンジンと、
前記エンジンにより駆動され、作動油を吐出する油圧ポンプと、
前記油圧ポンプから供給される作動油により駆動される油圧アクチュエータと、
前記油圧ポンプから前記油圧アクチュエータに供給される作動油の流れを制御するアクチュエータ制御弁と、
前記油圧ポンプから前記アクチュエータ制御弁を通じてタンクに排出される作動油の流量を制御する流量制御弁と、
前記アクチュエータ制御弁及び前記流量制御弁により前記油圧ポンプから前記アクチュエータ制御弁及び前記流量制御弁を通じて前記タンクに作動油を導く流路の開口面積が変化する排出ラインと、
前記油圧アクチュエータを操作する操作装置と、
前記操作装置の操作量に基づいて、前記アクチュエータ制御弁及び前記流量制御弁を制御するコントローラと、を備えた作業機械において、
前記コントローラは、
前記操作装置の操作量に基づいて、前記油圧ポンプの要求流量を演算し、
前記操作装置の操作量に基づいて、前記排出ラインの開口面積を演算し、
前記要求流量及び前記開口面積に基づいて、前記油圧アクチュエータが急停止した場合に上昇し得る前記油圧ポンプの吐出圧の最大圧力を予測し、
予測した前記最大圧力に基づいて、前記油圧ポンプの吐出圧が前記最大圧力まで上昇したことを仮定した場合の前記油圧ポンプのトルクが前記エンジンの許容トルクを超えないように、前記エンジンの回転速度、及び前記油圧ポンプの容積を制御する、
ことを特徴とする作業機械。
続きを表示(約 1,400 文字)
【請求項2】
請求項1に記載の作業機械において、
前記コントローラは、
予測した前記最大圧力に基づいて、前記油圧ポンプの吐出圧が前記最大圧力まで上昇したことを仮定した場合に、前記油圧ポンプのトルクが前記エンジンの許容トルクを超えない容積の上限値を演算し、
前記容積の上限値と、前記油圧ポンプの要求流量と、に基づいて、前記エンジンの要求回転速度を演算し、
前記上限値に基づいて、前記油圧ポンプの容積を制御し、
前記要求回転速度に基づいて、前記エンジンの回転速度を制御する、
ことを特徴とする作業機械。
【請求項3】
請求項2に記載の作業機械において、
前記コントローラは、
前記排出ラインの開口面積の時間変化率を演算し、
前記排出ラインの開口面積の時間変化率に基づいて、前記時間変化率が大きいほど大きくなるゲインを演算し、
前記ゲインを前記要求回転速度に乗算することにより、前記要求回転速度を補正し、
補正した前記要求回転速度に基づいて、前記エンジンの回転速度を制御する、
ことを特徴とする作業機械。
【請求項4】
請求項2に記載の作業機械において、
前記コントローラは、
前記排出ラインの開口面積の時間変化率を演算し、
前記排出ラインの開口面積の時間変化率に基づいて、前記時間変化率が大きいほど大きくなるゲインを演算し、
前記ゲインを前記容積の上限値に乗算することにより、前記容積の上限値を補正し、
補正した前記容積の上限値に基づいて、前記油圧ポンプの容積を制御する、
ことを特徴とする作業機械。
【請求項5】
請求項1に記載の作業機械において、
前記油圧ポンプの吐出圧を検出する吐出圧センサを備え、
前記コントローラは、
前記吐出圧センサにより検出された吐出圧に基づいて、前記油圧ポンプのトルクが前記エンジンの許容トルクを超えない容積の最大値を演算し、
予測した前記最大圧力に基づいて、前記油圧ポンプの吐出圧が前記最大圧力まで上昇したことを仮定した場合に、前記油圧ポンプのトルクが前記エンジンの許容トルクを超えない容積の上限値を演算し、
前記最大値と前記上限値のうちの小さい方に基づいて、前記油圧ポンプの容積を制御する
ことを特徴とする作業機械。
【請求項6】
請求項1に記載の作業機械において、
前記エンジンの使用範囲は、前記エンジンの回転速度が低下するほど前記エンジンの許容トルクが小さくなる回転速度範囲に設定される、
ことを特徴とする作業機械。
【請求項7】
請求項1に記載の作業機械において、
前記コントローラは、
前記操作装置の操作量に基づいて、前記アクチュエータ制御弁における前記油圧ポンプから前記タンクに流れる作動油の流路の断面積と、前記流量制御弁における前記油圧ポンプから前記タンクに流れる作動油の流路の断面積と、を演算し、
前記アクチュエータ制御弁の流路の断面積と、前記流量制御弁の流路の断面積と、に基づいて、前記排出ラインの開口面積を演算する、
ことを特徴とする作業機械。
発明の詳細な説明
【技術分野】
【0001】
本発明は、油圧ショベル等の作業機械に関する。
続きを表示(約 2,000 文字)
【背景技術】
【0002】
油圧ショベルの作業中に負荷が急上昇した場合におけるエンジンのラグダウンやストールの発生を防止するための技術が提案されている(特許文献1参照)。特許文献1には、エンジンの目標回転速度を設定する目標回転速度設定手段と、エンジンの実回転速度を検出する回転速度検出手段と、目標回転速度と実回転速度との回転偏差を算出して、回転数偏差が大きくなれば、その偏差量に応じて油圧ポンプの吐出流量を減少させてスピードセンシング制御を実施するメインコントローラと、を備えた作業機械が開示されている。
【先行技術文献】
【特許文献】
【0003】
特開2012-202219号公報
【発明の概要】
【発明が解決しようとする課題】
【0004】
特許文献1に記載の制御方法では、エンジンの実回転速度が低下し始めてから油圧ポンプの容積の指令値(目標値)を低下させている。また、油圧ポンプの実容積は、指令値の低下に遅れて低下することになる。このため、特許文献1に記載の制御方法では、油圧ポンプやエンジンの仕様、操作状況などによっては、エンジンのラグダウンやストールの発生を防止できないおそれがある。
【0005】
エンジンのラグダウンが発生すると、油圧ポンプから油圧アクチュエータに必要な流量の作動油を供給することができず、作業効率が低下する。エンジンのストールが発生すると、油圧ポンプが停止してしまうため、作業効率が低下する。したがって、作業効率の低下を防止するためには、エンジンのラグダウンやストールの発生を適切に防止する必要がある。
【0006】
本発明は、エンジンのラグダウンやストールの発生を適切に防止可能な作業機械を提供することを目的とする。
【課題を解決するための手段】
【0007】
本発明の一態様による作業機械は、エンジンと、前記エンジンにより駆動され、作動油を吐出する油圧ポンプと、前記油圧ポンプから供給される作動油により駆動される油圧アクチュエータと、前記油圧ポンプから前記油圧アクチュエータに供給される作動油の流れを制御するアクチュエータ制御弁と、前記油圧ポンプから前記アクチュエータ制御弁を通じてタンクに排出される作動油の流量を制御する流量制御弁と、前記アクチュエータ制御弁及び前記流量制御弁により前記油圧ポンプから前記アクチュエータ制御弁及び前記流量制御弁を通じて前記タンクに作動油を導く流路の開口面積が変化する排出ラインと、前記油圧アクチュエータを操作する操作装置と、前記操作装置の操作量に基づいて、前記アクチュエータ制御弁及び前記流量制御弁を制御するコントローラと、を備えている。前記コントローラは、前記操作装置の操作量に基づいて、前記油圧ポンプの要求流量を演算し、前記操作装置の操作量に基づいて、前記排出ラインの開口面積を演算し、前記要求流量及び前記開口面積に基づいて、前記油圧アクチュエータが急停止した場合に上昇し得る前記油圧ポンプの吐出圧の最大圧力を予測し、予測した前記最大圧力に基づいて、前記油圧ポンプの吐出圧が前記最大圧力まで上昇したことを仮定した場合の前記油圧ポンプのトルクが前記エンジンの許容トルクを超えないように、前記エンジンの回転速度、及び前記油圧ポンプの容積を制御する。
【発明の効果】
【0008】
本発明によれば、エンジンのラグダウンやストールの発生を適切に防止可能な作業機械を提供することができる。
【図面の簡単な説明】
【0009】
図1は、第1実施形態に係る油圧ショベルの側面図である。
図2は、油圧ショベルが備える油圧システムの概略図である。
図3は、コントローラにより実行される処理の流れの一例について示すフローチャートである。
図4は、第1開口テーブルTaの一例を示す図である。
図5は、第2開口テーブルTbの一例を示す図である。
図6は、トルクテーブルTtの一例を示す図である。
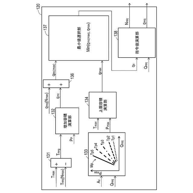
図7は、コントローラにより実行される指令値演算処理の流れを示す演算ブロック図である。
図8は、本実施形態の比較例に係る油圧ショベルの稼働データの時系列変化図である。
図9は、本実施形態に係る油圧ショベルの稼働データの時系列変化図である。
図10は、第2実施形態に係るコントローラにより実行される指令値演算処理の流れを示す演算ブロック図である。
【発明を実施するための形態】
【0010】
図面を参照して、本発明の実施形態に係る作業機械について説明する。本実施形態では、作業機械がクローラ式の油圧ショベルである例について説明する。作業機械は、作業現場において、土木作業、建設作業、解体作業、浚渫作業等の作業を行う。
(【0011】以降は省略されています)
この特許をJ-PlatPat(特許庁公式サイト)で参照する
関連特許
日立建機株式会社
作業機械
22日前
日立建機株式会社
作業機械
1か月前
日立建機株式会社
作業機械
1か月前
日立建機株式会社
作業機械
1か月前
日立建機株式会社
油圧機器
1か月前
日立建機株式会社
作業機械
1か月前
日立建機株式会社
作業機械
1か月前
日立建機株式会社
作業車両
1か月前
日立建機株式会社
作業車両
1か月前
日立建機株式会社
建設機械
1か月前
日立建機株式会社
建設機械
1か月前
日立建機株式会社
建設機械
1か月前
日立建機株式会社
油圧機器
1か月前
日立建機株式会社
作業車両
1か月前
日立建機株式会社
転圧機械
1か月前
日立建機株式会社
建設機械
1か月前
日立建機株式会社
作業機械
1か月前
日立建機株式会社
作業機械
1か月前
日立建機株式会社
作業機械
1か月前
日立建機株式会社
建設機械
1か月前
日立建機株式会社
作業機械
1か月前
日立建機株式会社
作業機械
1か月前
日立建機株式会社
作業機械
2か月前
日立建機株式会社
建設機械
2か月前
日立建機株式会社
作業機械
2か月前
日立建機株式会社
作業機械
2か月前
日立建機株式会社
作業車両
1か月前
日立建機株式会社
作業機械
1か月前
日立建機株式会社
作業機械
1か月前
日立建機株式会社
作業機械
1か月前
日立建機株式会社
作業機械
23日前
日立建機株式会社
建設機械
23日前
日立建機株式会社
作業機械
1か月前
日立建機株式会社
作業車両
1か月前
日立建機株式会社
作業機械
1か月前
日立建機株式会社
作業車両
1か月前
続きを見る
他の特許を見る