TOP
|
特許
|
意匠
|
商標
特許ウォッチ
Twitter
他の特許を見る
10個以上の画像は省略されています。
公開番号
2025164012
公報種別
公開特許公報(A)
公開日
2025-10-30
出願番号
2024067717
出願日
2024-04-18
発明の名称
転がり軸受の設計方法
出願人
NTN株式会社
代理人
弁理士法人深見特許事務所
主分類
F16C
19/06 20060101AFI20251023BHJP(機械要素または単位;機械または装置の効果的機能を生じ維持するための一般的手段)
要約
【課題】電食によるリッジマークを抑制可能な転がり軸受の設計方法を提供する。
【解決手段】内輪11と、外輪12と、複数の転動体13と、潤滑剤LQとを含む転がり軸受10を判定可能な第1数式が準備される。転がり軸受10の使用条件に応じて、以下の第1数式
F=f(α,β,γ,δ)…(1)が以下の第2数式
F≦10…(2)
を満たすか否かが判断される。潤滑剤LQのパラメータ算出では、潤滑剤LQが第1領域と第2領域とに分割される。転がり軸受10に対応する仮想の電気回路において第1領域および第2領域に対して見立てられる仮想の素子の特性値が求められる。
【選択図】図1
特許請求の範囲
【請求項1】
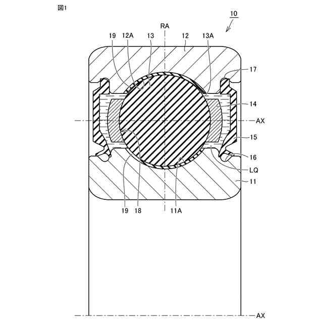
内輪と、前記内輪の外周側に配置される外輪と、前記内輪および前記外輪の間に転動自在に配置された複数の転動体と、潤滑剤とを含む転がり軸受の電食抑制が可能か否かを判定可能な第1数式を準備する工程と、
前記転がり軸受の使用条件を基に、前記内輪、前記外輪、前記複数の転動体の態様を決定する工程とを備え、
前記第1数式は、前記内輪、前記外輪、前記複数の転動体の機械的パラメータをα、前記潤滑剤のパラメータをβ、その他のパラメータの定数をγ、使用条件から得られるパラメータをδとすれば、
F=f(α,β,γ,δ)…(1)
であり、
前記決定する工程は、前記使用条件に応じて、以下の第2数式
F≦10…(2)
を満たすか否かを判断する工程を含み、
前記決定する工程は、前記潤滑剤のパラメータβを求める第1パラメータ算出工程を含み、
前記第1パラメータ算出工程では、前記内輪および前記外輪の少なくともいずれかの転走面である第1転走面と前記転動体の転走面である第2転走面とが接近して楕円を形成する領域における、前記第1転走面と前記第2転走面との間にある前記潤滑剤の第1領域と、前記第1領域以外である前記潤滑剤の第2領域とに前記潤滑剤が分割され、前記転がり軸受に対応する仮想の電気回路において前記第1領域および前記第2領域に対して見立てられる仮想の素子の特性値が求められる、転がり軸受の設計方法。
続きを表示(約 2,300 文字)
【請求項2】
前記仮想の電気回路において前記第1領域および前記第2領域は並列接続され、
前記第1領域および前記第2領域のそれぞれにおいては、前記仮想の素子としての、抵抗成分と、容量成分とが並列接続され、
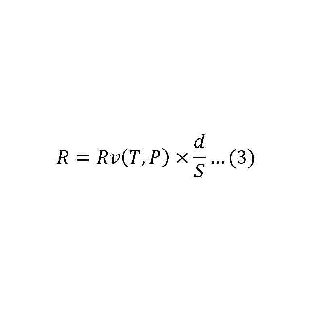
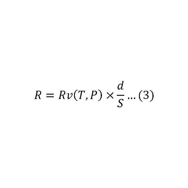
前記抵抗成分の特性値は、温度Tと圧力Pとの関数により決定される前記潤滑剤の体積抵抗率Rvと、前記第1領域および前記第2領域のいずれかの前記潤滑剤の油膜の厚さdと、前記潤滑剤の油膜の面積Sとから、
TIFF
2025164012000014.tif
13
53
として推定される、請求項1に記載の転がり軸受の設計方法。
【請求項3】
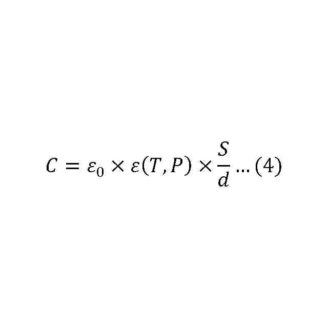
前記容量成分の特性値は、真空の誘電率ε
0
と、温度Tと圧力Pとの関数により決定される潤滑剤の比誘電率εと、前記第1領域および前記第2領域のいずれかに対して見立てられた容量を構成する1対の電極が対向する面積としての前記油膜の面積Sと、前記第1領域および前記第2領域のいずれかの前記潤滑剤としての前記油膜の厚さdとから、
TIFF
2025164012000015.tif
13
59
として推定される、請求項2に記載の転がり軸受の設計方法。
【請求項4】
前記第1領域および前記第2領域のそれぞれは、前記抵抗成分および前記容量成分に並列接続されるスイッチを含み、
前記スイッチは、前記潤滑剤に印加される電圧が絶縁破壊電圧を超えるとオンになり、
前記スイッチの前記絶縁破壊電圧は、圧力P、温度T、潤滑剤の比誘電率ε、前記抵抗成分の各値によって決定される電圧Vと、前記潤滑剤の前記油膜の厚さdとから、
TIFF
2025164012000016.tif
13
65
として推定される、請求項2に記載の転がり軸受の設計方法。
【請求項5】
前記第1パラメータ算出工程では、前記潤滑剤を含む前記転がり軸受の使用温度に応じて前記潤滑剤の体積抵抗率、粘度、誘電率、絶縁破壊強度が変化することを考慮したうえで前記潤滑剤のパラメータβが計算される、請求項1に記載の転がり軸受の設計方法。
【請求項6】
前記決定する工程は、前記機械的パラメータαおよび前記その他のパラメータの定数γを求める第2パラメータ算出工程と、
前記使用条件から得られるパラメータδを求める第3パラメータ算出工程と、
前記第1パラメータ算出工程および前記第2パラメータ算出工程で求められた前記機械的パラメータα、前記潤滑剤のパラメータβおよび前記その他のパラメータの定数γと、前記使用条件から得られるパラメータδとから、前記第1数式
F=f(α,β,γ,δ)…(1)
により得られるFの値を算出する工程とをさらに含み、
前記第3パラメータ算出工程では、前記転がり軸受を構成する前記内輪、前記外輪、前記転動体および前記潤滑剤からなる部分を素子に見立てて組まれた前記仮想の電気回路に前記使用条件を入力して計算することにより得られた出力値に基づき、前記使用条件から得られるパラメータδが求められ、
前記Fの値を算出する工程では、前記機械的パラメータαと、前記潤滑剤のパラメータβと、前記その他のパラメータの定数γと、前記使用条件から得られるパラメータδとが前記第1数式に代入される、請求項1に記載の転がり軸受の設計方法。
【請求項7】
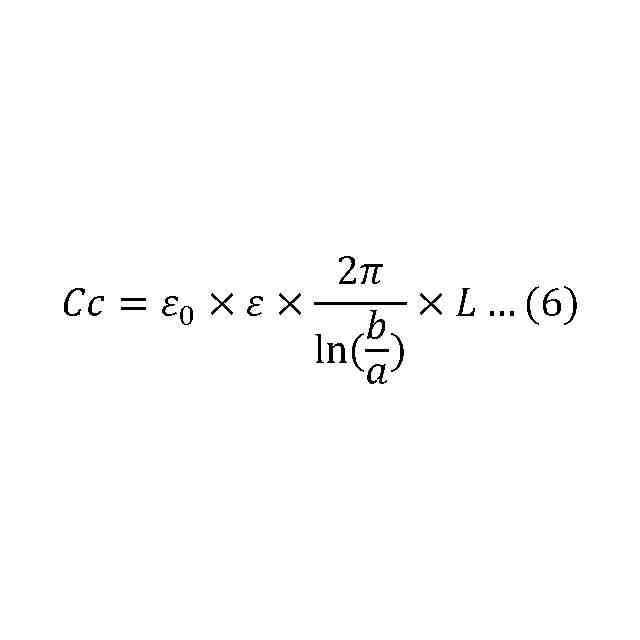
前記第2パラメータ算出工程では、前記仮想の電気回路において前記内輪および前記外輪の少なくともいずれかに形成される絶縁被膜に対して見立てられる仮想の被膜容量成分の特性値が求められ、
前記仮想の被膜容量成分の特性値は、真空の誘電率ε
0
と、前記絶縁被膜の比誘電率εと、前記絶縁被膜の内半径aと、前記絶縁被膜の外半径bと、前記転がり軸受の幅Lとから、
TIFF
2025164012000017.tif
19
68
として推定される、請求項6に記載の転がり軸受の設計方法。
【請求項8】
前記第2パラメータ算出工程では、前記内輪と前記外輪とを繋ぐアース機構のインピーダンス値が測定され、
前記アース機構のインピーダンス値から、前記アース機構が容量成分を有するか、誘導成分を有するかが判別される、請求項6または7に記載の転がり軸受の設計方法。
【請求項9】
前記アース機構が、前記容量成分および前記誘導成分の少なくともいずれかであるリアクタンス成分と、抵抗成分との直列回路を有するか並列回路を有するかが判断され、
前記判断においては、前記リアクタンス成分と前記抵抗成分とが直列接続されると想定した上での前記アース機構の第1インピーダンス値と、前記リアクタンス成分と前記抵抗成分とが並列接続されると想定した上での前記アース機構の第2インピーダンス値とが測定され、前記第1インピーダンス値と前記第2インピーダンス値とが比較される、請求項8に記載の転がり軸受の設計方法。
【請求項10】
前記決定する工程は、前記判断する工程により前記第2数式
F≦10…(2)
が満たされるまで繰り返される、請求項1または2に記載の転がり軸受の設計方法。
発明の詳細な説明
【技術分野】
【0001】
本発明は、転がり軸受の設計方法に関する。
続きを表示(約 1,700 文字)
【背景技術】
【0002】
近年、産業機械用モータで使用されているファンモータ、三相モータ、サーボモータ等は、ほとんどがインバータ装置により制御されている。これを以降ではインバータ制御と呼ぶ。インバータ制御は、高効率化を図るためになされる。インバータ制御されるモータの回転軸は、転がり軸受によって支持されている。
【0003】
インバータ制御は、モータの回転速度を調整する観点から、モータに入力される交流電圧および交流周波数を制御する。インバータ装置の出力するスイッチング周波数が高くなることに伴い、モータに高い軸電圧が発生する頻度が高まる。軸電圧とは、モータなどの回転体の軸と他の部材との間に発生する電位差を意味する。軸電圧により、モータに組み込まれた転がり軸受において、外輪および内輪と転動体との間に電位差が生じることがある。かかる電位差が大きくなれば、外輪および内輪(軌道輪)と転動体との間における潤滑剤の油膜の絶縁破壊電圧を超える。すると外輪および内輪(軌道輪)と転動体との間で放電が起こり、軸受の内部に電食と呼ばれる損傷が起こる。
【0004】
電食が進行すれば、転動体または外輪、内輪の転走面にはリッジマークと呼ばれる縞状の凹凸部が形成される。リッジマークは軸受の騒音および振動を招く恐れがある。このため、転走面へのリッジマークの発生を抑制するよう工夫した軸受の開発が進められている。
【0005】
たとえば特許第4599769号(特許文献1)および特許第4177057号(特許文献2)には、導電性グリースおよび導電性シールを使用し、軸受に導電性を付与する発明が開示されている。
【先行技術文献】
【特許文献】
【0006】
特許第4599769号
特許第4177057号
【発明の概要】
【発明が解決しようとする課題】
【0007】
特許文献1および特許文献2に開示される導電性グリースおよび導電性シールは、一般的に体積抵抗率が10
4
Ωcm以上10
8
Ωcm以下と高い。このため、インバータ装置に起因するモータの軸電圧の発生を抑えることは困難である。このためモータに組み込まれた転がり軸受において、潤滑剤による油膜の絶縁破壊が発生することがある。
【0008】
本発明は上記の課題に鑑みなされたものである。本発明の目的は、電食によるリッジマークを抑制可能な転がり軸受の設計方法を提供することである。
【課題を解決するための手段】
【0009】
本開示に従った転がり軸受の設計方法は、内輪と、内輪の外周側に配置される外輪と、内輪および外輪の間に転動自在に配置された複数の転動体と、潤滑剤とを含む転がり軸受の電食抑制が可能か否かを判定可能な第1数式が準備される。転がり軸受の使用条件を基に、内輪、外輪、複数の転動体の態様が決定される。第1数式は、内輪、外輪、複数の転動体の機械的パラメータをα、潤滑剤のパラメータをβ、その他のパラメータの定数をγ、使用条件から得られるパラメータをδとすれば
F=f(α,β,γ,δ)…(1)
である。決定する工程は、使用条件に応じて、以下の第2数式
F≦10…(2)
を満たすか否かを判断する工程を含む。決定する工程は、潤滑剤のパラメータβを求める第1パラメータ算出工程を含む。第1パラメータ算出工程では、内輪および外輪の少なくともいずれかの転走面である第1転走面と転動体の転走面である第2転走面とが接近して楕円を形成する領域における、第1転走面と第2転走面との間にある潤滑剤の第1領域と、第1領域以外である潤滑剤の第2領域とに潤滑剤が分割される。転がり軸受に対応する仮想の電気回路において第1領域および第2領域に対して見立てられる仮想の素子の特性値が求められる。
【発明の効果】
【0010】
本開示によれば、電食によるリッジマークを抑制可能な転がり軸受および電動機を提供できる。
【図面の簡単な説明】
(【0011】以降は省略されています)
特許ウォッチbot のツイートを見る
この特許をJ-PlatPat(特許庁公式サイト)で参照する
関連特許
NTN株式会社
ハンド
2か月前
NTN株式会社
玉軸受
1か月前
NTN株式会社
把持装置
2か月前
NTN株式会社
焼成軸受
1か月前
NTN株式会社
焼成軸受
1か月前
NTN株式会社
軸受装置
1か月前
NTN株式会社
軸受装置
1か月前
NTN株式会社
焼結軸受
1か月前
NTN株式会社
作業装置
1か月前
NTN株式会社
密封装置
1か月前
NTN株式会社
軸受装置
1か月前
NTN株式会社
軸受装置
1か月前
NTN株式会社
把持装置
2か月前
NTN株式会社
転がり軸受
2か月前
NTN株式会社
転がり軸受
1か月前
NTN株式会社
ボールねじ
27日前
NTN株式会社
焼入れ方法
26日前
NTN株式会社
荷積込装置
1か月前
NTN株式会社
転がり軸受
1か月前
NTN株式会社
回転伝達装置
1か月前
NTN株式会社
シール付軸受
1か月前
NTN株式会社
回転伝達装置
1か月前
NTN株式会社
状態監視装置
2か月前
NTN株式会社
回転伝達装置
1か月前
NTN株式会社
車輪用軸受装置
1か月前
NTN株式会社
リンク作動装置
1か月前
NTN株式会社
ボールねじ装置
27日前
NTN株式会社
ボールねじ装置
27日前
NTN株式会社
円すいころ軸受
27日前
NTN株式会社
車輪用軸受装置
1か月前
NTN株式会社
電動オイルポンプ
2か月前
NTN株式会社
状態監視システム
2か月前
NTN株式会社
軸受装置及び間座
1か月前
NTN株式会社
密封装置付き軸受
24日前
NTN株式会社
電食防止転がり軸受
2か月前
NTN株式会社
転動部材及び転動部品
3日前
続きを見る
他の特許を見る