TOP
|
特許
|
意匠
|
商標
特許ウォッチ
Twitter
他の特許を見る
10個以上の画像は省略されています。
公開番号
2025162522
公報種別
公開特許公報(A)
公開日
2025-10-27
出願番号
2025048864
出願日
2025-03-24
発明の名称
外用剤及びキット
出願人
ウシオ電機株式会社
代理人
弁理士法人ユニアス国際特許事務所
主分類
A61K
8/64 20060101AFI20251020BHJP(医学または獣医学;衛生学)
要約
【課題】保存状態での抗酸化剤の失活を抑制しつつ、対象部位への適用の際には抗酸化剤による抗酸化性を発揮可能な外用剤及びキットを提供する。
【解決手段】 光解離性保護基で保護されたチオール基又はヒドロキシ基を有する抗酸化剤を含有する外用剤。外用剤と、前記外用剤を収容する遮光容器とを備えるキット。
【選択図】 図3
特許請求の範囲
【請求項1】
光解離性保護基で保護されたチオール基又はヒドロキシ基を有する抗酸化剤を含有する外用剤。
続きを表示(約 760 文字)
【請求項2】
前記光解離性保護基は、波長320nm以上400nm以下の紫外線の照射により解離する基である、請求項1に記載の外用剤。
【請求項3】
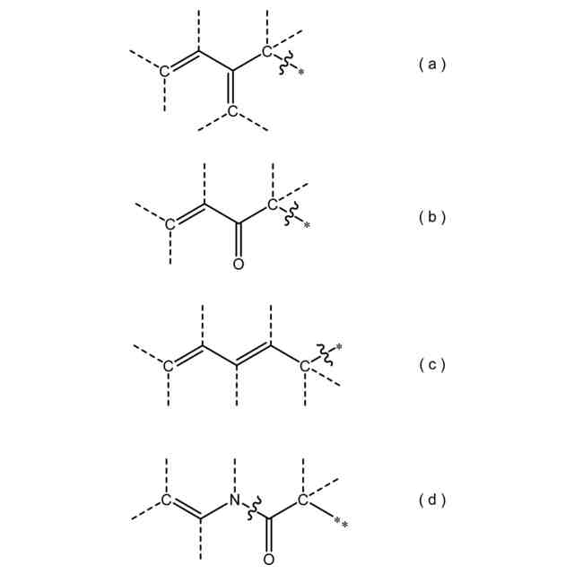
前記光解離性保護基は、下記式(a)~(d)のいずれかで表される部分構造を有する、請求項1に記載の外用剤。
JPEG
2025162522000018.jpg
215
129
(前記式中、*は前記チオール基の硫黄原子又はヒドロキシ基の酸素原子との結合手である。破線は前記光解離性保護基における他の構造との結合手である。)
【請求項4】
前記光解離性保護基は芳香環を含む、請求項1に記載の外用剤。
【請求項5】
前記光解離性保護基は、ニトロ基、ヒドロキシ基、アルコキシ基、アシル基及び置換又は非置換のアミノ基からなる群より選択される少なくとも1種の基を有する、請求項1に記載の外用剤。
【請求項6】
前記光解離性保護基は、クマリニルメチル基、クマリニルカルボニルメチル基、ニトロベンジル基、ヒドロキシフェナシル基又はこれらの基が有する水素原子の一部若しくは全部を置換基で置換した基である、請求項1に記載の外用剤。
【請求項7】
前記抗酸化剤が水溶性又は油溶性である、請求項1に記載の外用剤。
【請求項8】
前記抗酸化剤がチオール基を含む抗酸化剤である、請求項1に記載の外用剤。
【請求項9】
前記抗酸化剤が、グルタチオン、アスコルビン酸、ジヒドロリポ酸又はこれらの誘導体である、請求項1に記載の外用剤。
【請求項10】
化粧料用である、請求項1に記載の外用剤。
(【請求項11】以降は省略されています)
発明の詳細な説明
【技術分野】
【0001】
本発明は、外用剤及びキットに関する。
続きを表示(約 1,200 文字)
【背景技術】
【0002】
肌や毛髪は紫外線に曝露されることが多く、酸化ストレスを受けやすい。紫外線への曝露により生じた活性酸素により細胞は損傷を受け、例えば、肌ではシミやシワ等、毛髪ではパサつき、枝毛、脱色等の一因となると考えられている。
【0003】
活性酸素による損傷の予防を目的として、活性酸素による酸化損傷の反応を触媒し得る遊離した鉄や銅の捕捉剤について、捕捉剤自体の副作用は酸化損傷が生じる紫外線曝露まで抑制しつつ、かつ紫外線に曝露されると補足能を発揮するように、キレート剤を光開裂性の置換基によりブロックする技術が提案されている(例えば特許文献1参照)。
【先行技術文献】
【特許文献】
【0004】
特開平8-92081号公報
【発明の概要】
【発明が解決しようとする課題】
【0005】
一方、抗酸化剤による酸化損傷の予防又は修復を期待して抗酸化剤を配合した外用剤の検討が進められている。しかしながら、外用剤の対象部位への適用の前の保存段階において、抗酸化剤が溶存酸素と反応してしまい、抗酸化性を失うことがある。従って、外用剤には、保存状態での抗酸化剤の失活を抑制しつつ、対象部位への適用の際には抗酸化剤による抗酸化性を発揮することが求められるものの、このような技術は見出されていなかった。
【0006】
本発明は、上記の課題に鑑み、保存状態での抗酸化剤の失活を抑制しつつ、対象部位への適用の際には抗酸化剤による抗酸化性を発揮可能な外用剤及びキットを提供することを目的とする。
【課題を解決するための手段】
【0007】
本発明は、一実施形態において、光解離性保護基で保護されたチオール基又はヒドロキシ基を有する抗酸化剤を含有する外用剤に関する。
【0008】
一実施形態において、前記光解離性保護基は、波長320nm以上400nm以下の紫外線の照射により解離する基であってもよい。
【0009】
一実施形態において、前記光解離性保護基は、下記式(a)~(d)のいずれかで表される部分構造を有していてもよい。
JPEG
2025162522000002.jpg
219
135
(前記式中、*は前記チオール基の硫黄原子又はヒドロキシ基の酸素原子との結合手である。破線は前記光解離性保護基における他の構造との結合手である。)
【0010】
一実施形態において、前記光解離性保護基は、ニトロ基、ヒドロキシ基、アルコキシ基、アシル基及び置換又は非置換のアミノ基からなる群より選択される少なくとも1種の基を有していてもよい。
(【0011】以降は省略されています)
この特許をJ-PlatPat(特許庁公式サイト)で参照する
関連特許
ウシオ電機株式会社
放電ランプ
28日前
ウシオ電機株式会社
細胞培養デバイス
22日前
ウシオ電機株式会社
外用剤及びキット
1か月前
ウシオ電機株式会社
半導体レーザ素子
1か月前
ウシオ電機株式会社
光源装置及び回転体
1か月前
ウシオ電機株式会社
マイクロ流体デバイス
1か月前
ウシオ電機株式会社
導波路型光デバイスの製造方法
22日前
ウシオ電機株式会社
半導体レーザ素子および発光装置
1か月前
ウシオ電機株式会社
空気清浄装置および空気清浄システム
20日前
ウシオ電機株式会社
マイクロ流体デバイス及びその製造方法
1か月前
国立大学法人 東京大学
ガス処理方法
1か月前
ウシオ電機株式会社
細胞培養デバイス、細胞培養デバイスの使用方法
1か月前
ウシオ電機株式会社
ガス分解方法、ガス分解装置及びガス分解システム
8日前
個人
貼付剤
1か月前
個人
簡易担架
13日前
個人
短下肢装具
4か月前
個人
腋臭防止剤
13日前
個人
足踏み器具
20日前
個人
排尿補助器具
1か月前
個人
前腕誘導装置
4か月前
個人
嚥下鍛錬装置
4か月前
個人
胸骨圧迫補助具
2か月前
個人
矯正椅子
6か月前
個人
汚れ防止シート
1か月前
個人
歯の修復用材料
5か月前
個人
腰ベルト
1か月前
個人
ウォート指圧法
1か月前
個人
アイマスク装置
3か月前
個人
バッグ式オムツ
5か月前
個人
歯の保護用シール
6か月前
個人
湿布連続貼り機。
3か月前
個人
排尿排便補助器具
15日前
個人
シャンプー
7か月前
個人
美容セット
22日前
個人
陣痛緩和具
4か月前
個人
哺乳瓶冷まし容器
4か月前
続きを見る
他の特許を見る