TOP
|
特許
|
意匠
|
商標
特許ウォッチ
Twitter
他の特許を見る
10個以上の画像は省略されています。
公開番号
2025160401
公報種別
公開特許公報(A)
公開日
2025-10-22
出願番号
2025127839,2021564695
出願日
2025-07-31,2020-05-01
発明の名称
腎臓及び/又は尿路の異常を有する対象における腎臓疾患の治療
出願人
プロキドニー
代理人
弁理士法人三枝国際特許事務所
主分類
A61K
35/22 20150101AFI20251015BHJP(医学または獣医学;衛生学)
要約
【課題】腎臓疾患を有する対象を治療する方法を提供する。
【解決手段】慢性腎臓疾患を患う対象における腎臓疾患を治療する方法であって、(i)生物活性腎細胞集団、(ii)前記腎細胞集団によって分泌された小胞、及び/又は、(iii)前記腎細胞集団及び少なくとも1つの非腎細胞集団を含むスフェロイド、を含む組成物の有効量を前記対象に投与することを含み、ここで、前記対象は腎臓及び/又は尿路の異常を有する、方法である。
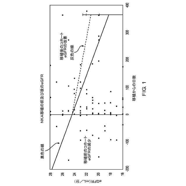
【選択図】図1
特許請求の範囲
【請求項1】
慢性腎臓疾患(CKD)を患う対象における腎臓疾患を治療する方法であって、
(i)生物活性腎細胞集団、
(ii)前記腎細胞集団によって分泌された小胞、及び/又は、
(iii)前記腎細胞集団及び少なくとも1つの非腎細胞集団を含むスフェロイド、
を含む組成物の有効量を前記対象に投与することを含み、
ここで、前記対象は腎臓及び/又は尿路の異常を有する、
方法。
続きを表示(約 630 文字)
【請求項2】
前記対象は、先天性腎尿路異常(CAKUT)からのCKDを患っている、請求項1に記載の方法。
【請求項3】
前記対象は、腎臓発達における異常を有する、請求項1又は2に記載の方法。
【請求項4】
前記対象は、感染及び/又は炎症を伴って又は伴わずに、原発性膀胱尿管逆流症又は二次性膀胱尿管逆流症、逆流性腎症、腎瘢痕、又は腎低異形成を患っている又は患ったことがある、請求項1~3のいずれか一項に記載の方法。
【請求項5】
前記対象は、尿路感染症に罹患しやすい、請求項1~4のいずれか一項に記載の方法。
【請求項6】
前記対象は、高血圧又はタンパク尿を患っている、請求項1~5のいずれか一項に記載の方法。
【請求項7】
前記対象は、逆流防止後手術を受けたことがある、請求項1~6のいずれか一項に記載の方法。
【請求項8】
前記対象は、90mL/分/1.73m
2
未満の糸球体濾過速度(GFR)、微量アルブミン尿、又は顕性アルブミン尿を伴う、請求項1~7のいずれか一項に記載の方法。
【請求項9】
前記対象は、18歳未満である、請求項1~8のいずれか一項に記載の方法。
【請求項10】
前記対象は、腎実質の奇形を有する、請求項1~9のいずれか一項に記載の方法。
(【請求項11】以降は省略されています)
発明の詳細な説明
【技術分野】
【0001】
本発明は、とりわけ、腎臓疾患を有する対象を治療する方法、組成物、及び細胞集団に関する。
続きを表示(約 1,900 文字)
【背景技術】
【0002】
先天性腎尿路異常(CAKUT)及び/又は後天性異常等の腎臓の異常は、慢性腎臓疾患及び末期腎臓疾患を含む腎障害につながる場合がある。CAKUTは、出生前期において確認された全ての異常のおよそ20%~30%を構成する。Queisser-Luft et al. (2002) Malformations in newborn: results based on 30,940 infants and fetuses from the Mainz congenital birth defect monitoring system (1990-1998). 2002;266(3):163
を参照(その全内容は、引用することにより本明細書の一部をなす)。
【発明の概要】
【0003】
本明細書において、とりわけ、腎臓及び/又は尿路の先天性異常を有する対象における腎臓疾患を治療する方法、細胞集団、及び組成物が提供される。
【0004】
一態様では、本明細書において、慢性腎臓疾患(CKD)を患う対象における腎臓疾患を治療する方法であって、(i)生物活性腎細胞集団、(ii)腎細胞集団によって分泌された小胞、及び/又は、(iii)腎細胞集団及び少なくとも1つの非腎細胞集団を含むスフェロイドを対象に有効量、投与することを含み、ここで、対象は腎臓及び/又は尿路の異常を有する、方法が提供される。
【0005】
実施の形態において、対象は腎臓の異常を有する。実施の形態において、対象は尿路の異常を有する。実施の形態において、対象は腎臓及び尿路の異常を有する。実施の形態において、異常は出生前に獲得される。実施の形態において、異常は出生後に獲得される。実施の形態において、異常は先天性異常である。実施の形態において、対象は腎臓の先天性異常を有する。実施の形態において、対象は尿路の先天性異常を有する。実施の形態において、対象は先天性腎尿路異常を有する。本明細書で使用される場合に、「先天性」異常は、出生時又は出生前に存在する異常である。実施の形態において、先天性異常は、出生後に悪化する又は追加の異常を引き起こす。
【0006】
一態様では、本明細書において、腎臓及び/又は尿路の異常を有する対象における腎臓疾患を治療する方法であって、(i)生物活性腎細胞集団、(ii)該腎細胞集団によって分泌される1つ以上の産物、及び/又は(iii)該腎細胞集団及び少なくとも1つの他の細胞集団を含むスフェロイドを対象に有効量、投与することを含む、本質的に投与することからなる、又は投与することからなる、方法が提供される。
【0007】
一態様では、本明細書において、腎臓及び/又は尿路の異常を有する対象における腎臓疾患を治療する方法であって、(i)生物活性腎細胞集団、(ii)該腎細胞集団によって分泌される1つ以上の産物(例えば小胞)、及び/又は(iii)該腎細胞集団及び非腎細胞集団等の少なくとも1つの他の細胞集団を含むスフェロイドを対象に有効量、投与することを含む、方法が提供される。
【0008】
一態様では、本明細書において、腎臓及び/又は尿路の異常を有する対象における腎臓疾患を治療する方法であって、(i)生物活性腎細胞集団、(ii)該腎細胞集団によって分泌される小胞、又は(iii)該腎細胞集団及び少なくとも1つの非腎細胞集団を含むスフェロイドを対象に有効量、投与することを含む、方法が提供される。
【0009】
一態様では、本明細書において、腎臓及び/又は尿路の異常を有する対象における腎臓疾患を治療する方法であって、(i)生物活性腎細胞集団、(ii)該腎細胞集団によって分泌される小胞、並びに(iii)該腎細胞集団及び少なくとも1つの非腎細胞集団を含むスフェロイドを対象に有効量、投与することを含む、方法が提供される。
【0010】
一態様では、本明細書において、腎臓及び/又は尿路の異常を有する対象における腎臓疾患を治療する方法であって、生物活性腎細胞集団を含む組成物を対象に有効量、投与することを含む、方法が提供される。実施の形態において、組成物は、腎細胞集団によって分泌される小胞を更に含む。実施の形態において、組成物は、腎細胞集団及び少なくとも1つの非腎細胞集団を含むスフェロイドを更に含む。
(【0011】以降は省略されています)
この特許をJ-PlatPat(特許庁公式サイト)で参照する
関連特許
プロキドニー
腎臓病治療のための免疫特権を有する生物活性腎細胞
1か月前
プロキドニー
腎臓及び/又は尿路の異常を有する対象における腎臓疾患の治療
10日前
個人
貼付剤
5日前
個人
健康器具
8か月前
個人
鼾防止用具
8か月前
個人
歯茎みが品
9か月前
個人
短下肢装具
3か月前
個人
前腕誘導装置
3か月前
個人
嚥下鍛錬装置
3か月前
個人
脈波測定方法
8か月前
個人
洗井間専家。
7か月前
個人
マッサージ機
8か月前
個人
白内障治療法
7か月前
個人
脈波測定方法
8か月前
個人
導電香
9か月前
個人
排尿補助器具
18日前
個人
歯の修復用材料
4か月前
個人
片足歩行支援具
9か月前
個人
胸骨圧迫補助具
1か月前
個人
矯正椅子
5か月前
個人
バッグ式オムツ
4か月前
個人
ウォート指圧法
16日前
個人
アイマスク装置
2か月前
個人
クリップ
9か月前
個人
腰ベルト
8日前
個人
ホバーアイロン
6か月前
個人
汚れ防止シート
1か月前
個人
歯の保護用シール
5か月前
個人
陣痛緩和具
3か月前
個人
車椅子持ち上げ器
7か月前
個人
湿布連続貼り機。
2か月前
三生医薬株式会社
錠剤
7か月前
個人
口内洗浄具
8か月前
個人
シャンプー
6か月前
個人
哺乳瓶冷まし容器
3か月前
個人
性行為補助具
3か月前
続きを見る
他の特許を見る