TOP
|
特許
|
意匠
|
商標
特許ウォッチ
Twitter
他の特許を見る
公開番号
2025159924
公報種別
公開特許公報(A)
公開日
2025-10-22
出願番号
2024062795
出願日
2024-04-09
発明の名称
空気搬送システム及び空気搬送方法
出願人
パナソニックホームズ株式会社
代理人
個人
,
個人
,
個人
,
個人
主分類
F24F
11/39 20180101AFI20251015BHJP(加熱;レンジ;換気)
要約
【課題】 フィルターに堆積した粉塵層上でのカビの繁殖を効果的に抑制することが可能な空気搬送システムを提供する。
【解決手段】 空気搬送システム1は、空気流を生成するためのファン11と、空気流Afが通る搬送経路12と、ファン11の圧損を直接的又は間接的に検出するための圧損検出部と、搬送経路12中に配され、かつ、粉塵を捕集するためのフィルター13と、空気流Afの温度及び湿度を測定するためのセンサ14と、センサ14からのデータに基づいて、空気流Afのカビ指数を計算するカビ指数計算部と、ファン11の圧損が第1閾値以上であり、かつ、カビ指数又はその履歴値が第2閾値以上である場合に、フィルター13のメンテナンス時期が到来したことを通知するための信号を出力するメンテナンス通知部とを含む。
【選択図】図1
特許請求の範囲
【請求項1】
空気搬送システムであって、
空気流を生成するためのファンと、
前記空気流が通る搬送経路と、
前記ファンの圧損を直接的又は間接的に検出するための圧損検出部と、
前記搬送経路中に配され、かつ、粉塵を捕集するためのフィルターと、
前記空気流の温度及び湿度を測定するためのセンサと、
前記センサからのデータに基づいて、前記空気流のカビ指数を計算するカビ指数計算部と、
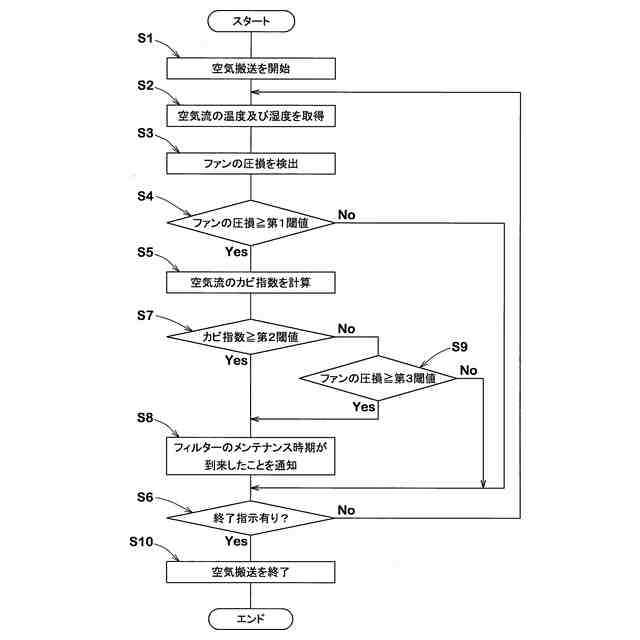
前記ファンの圧損が予め定められた第1閾値以上であり、かつ、前記カビ指数又はその履歴値が予め定められた第2閾値以上である場合に、前記フィルターのメンテナンス時期が到来したことを通知するための信号を出力するメンテナンス通知部と、を含む、
空気搬送システム。
続きを表示(約 850 文字)
【請求項2】
前記メンテナンス通知部は、前記ファンの圧損が前記第1閾値よりも大きい第3閾値以上であり、かつ、前記カビ指数又はその履歴値が前記第2閾値未満である場合に、前記信号を出力する、請求項1に記載の空気搬送システム。
【請求項3】
前記搬送経路中に配され、かつ、前記空気流を空調する空気調和機をさらに含み、
前記センサは、前記空気調和機に設けられた温度センサ及び湿度センサを含む、請求項1に記載の空気搬送システム。
【請求項4】
前記ファンは、前記空気流の風量が一定となるように回転数が制御される定風量ファンを含み、
前記圧損検出部は、前記回転数に基づいて、前記ファンの圧損を計算する、請求項1に記載の空気搬送システム。
【請求項5】
前記フィルターの表面の少なくとも一部に、防カビ層が形成されている、請求項1に記載の空気搬送システム。
【請求項6】
請求項1ないし5のいずれか1項に記載の空気搬送システムを具えた建物。
【請求項7】
空気流を生成するためのファンと、前記空気流に含まれる粉塵を捕集するためのフィルターとを用いて、空気を搬送するための方法であって、
前記ファンの圧損を直接的又は間接的に検出する工程と、
前記空気流の温度及び湿度に基づいて、前記空気流のカビ指数を計算する工程と、
前記ファンの圧損が予め定められた第1閾値以上であり、かつ、前記カビ指数又はその履歴値が予め定められた第2閾値以上である場合に、前記フィルターのメンテナンス時期が到来したことを通知する工程と、を含む、
空気搬送方法。
【請求項8】
前記ファンの圧損が前記第1閾値よりも大きい第3閾値以上であり、かつ、前記カビ指数又はその履歴値が前記第2閾値未満である場合に、前記メンテナンス時期が到達したことを通知する工程をさらに含む、請求項7に記載の空気搬送方法。
発明の詳細な説明
【技術分野】
【0001】
本発明は、空気搬送システム及び空気搬送方法に関する。
続きを表示(約 1,500 文字)
【背景技術】
【0002】
下記特許文献1には、換気空調ユニットが記載されている。この換気空調ユニットは、チャンバーボックスと、チャンバーボックス内に配されたフィルター部材とを含んで構成されている。
【先行技術文献】
【特許文献】
【0003】
特開2017-198395号公報
【発明の概要】
【発明が解決しようとする課題】
【0004】
一般に、フィルターの表面には、花粉やPM2.5といった粉塵が堆積し、その堆積した層の上にカビ菌が付着ないし繁殖することがある。この場合、たとえ、フィルターの表面側に防カビ層が付与されていたとしても、防カビ層から離れた位置では、カビ菌が繁殖するため、防カビ層の機能が十分に発揮されないおそれがある。したがって、フィルター上でのカビの繁殖を防止するためには、フィルターに堆積した粉塵層上でのカビの繁殖をも考慮した適切なタイミングで、フィルターのメンテナンスを行うことが重要である。
【0005】
本発明は、以上のような実状に鑑み案出されたもので、フィルターに堆積した粉塵層上でのカビの繁殖を効果的に抑制することが可能な空気搬送システムを提供することを主たる目的としている。
【課題を解決するための手段】
【0006】
本発明は、空気搬送システムであって、空気流を生成するためのファンと、前記空気流が通る搬送経路と、前記ファンの圧損を直接的又は間接的に検出するための圧損検出部と、前記搬送経路中に配され、かつ、粉塵を捕集するためのフィルターと、前記空気流の温度及び湿度を測定するためのセンサと、前記センサからのデータに基づいて、前記空気流のカビ指数を計算するカビ指数計算部と、前記ファンの圧損が予め定められた第1閾値以上であり、かつ、前記カビ指数又はその履歴値が予め定められた第2閾値以上である場合に、前記フィルターのメンテナンス時期が到来したことを通知するための信号を出力するメンテナンス通知部と、を含む、空気搬送システムである。
【発明の効果】
【0007】
本発明の建物の空調システムは、上記の構成を採用することにより、フィルターに堆積した粉塵層上でのカビの繁殖を効果的に抑制することが可能となる。
【図面の簡単な説明】
【0008】
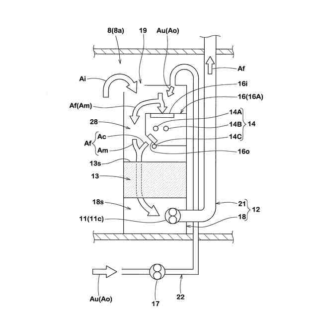
空気搬送システムが具えられた建物の一例を示す概念図である。
図1の部分拡大図である。
フィルターの一例を示す部分断面図である。
制御装置の構成の一例を示す概念図である。
空気搬送方法の処理手順の一例を示すフローチャートである。
カビ指数と経過週数との一例を示す図である。
【発明を実施するための形態】
【0009】
以下、本発明の実施形態が図面に基づき説明される。図面は、発明の内容の理解を助けるために、誇張表現や、実際の構造の寸法比とは異なる表現が含まれることが理解されなければならない。また、各実施形態を通して、同一又は共通する要素については同一の符号が付されており、重複する説明が省略される。さらに、実施形態及び図面に表された具体的な構成は、本発明の内容理解のためのものであって、本発明は、図示されている具体的な構成に限定されるものではない。
【0010】
[建物]
本実施形態の空気搬送システムは、建物に具えられているが、特に限定されるわけではない。図1は、空気搬送システム1が具えられた建物2の一例を示す概念図である。図2は、図1の部分拡大図である。
(【0011】以降は省略されています)
この特許をJ-PlatPat(特許庁公式サイト)で参照する
関連特許
株式会社トヨトミ
五徳
6日前
株式会社コロナ
空調装置
1か月前
株式会社コロナ
加湿装置
1か月前
株式会社コロナ
空調装置
2か月前
株式会社コロナ
空調装置
1か月前
株式会社コロナ
空調装置
21日前
株式会社コロナ
空調装置
4か月前
株式会社コロナ
空調装置
6日前
株式会社コロナ
空調装置
6日前
株式会社コロナ
給湯装置
3か月前
個人
住宅換気空調システム
2か月前
株式会社コロナ
空気調和機
2か月前
個人
太陽光パネル傾斜装置
16日前
株式会社コロナ
風呂給湯機
1か月前
株式会社コロナ
空気調和機
3か月前
株式会社コロナ
貯湯式給湯機
27日前
株式会社コロナ
直圧式給湯機
3か月前
ホーコス株式会社
排気フード
2か月前
株式会社コロナ
直圧式給湯機
2か月前
株式会社コロナ
暖房システム
1か月前
個人
シンプルクーラー
14日前
株式会社コロナ
貯湯式給湯機
1か月前
株式会社コロナ
温水暖房装置
6日前
株式会社パロマ
給湯器
3か月前
株式会社コロナ
輻射式冷房装置
2か月前
三菱電機株式会社
換気扇
15日前
三菱電機株式会社
換気扇
15日前
三菱電機株式会社
換気扇
15日前
ホーコス株式会社
換気扇取付枠
1か月前
株式会社コロナ
貯湯式給湯装置
3か月前
株式会社ノーリツ
温水装置
3か月前
株式会社ノーリツ
温水装置
3か月前
株式会社パロマ
給湯暖房機
3か月前
株式会社ノーリツ
温水装置
13日前
株式会社ノーリツ
給湯装置
20日前
株式会社パロマ
給湯暖房機
3か月前
続きを見る
他の特許を見る