TOP
|
特許
|
意匠
|
商標
特許ウォッチ
Twitter
他の特許を見る
10個以上の画像は省略されています。
公開番号
2025154249
公報種別
公開特許公報(A)
公開日
2025-10-10
出願番号
2024057149
出願日
2024-03-29
発明の名称
レンズ及び内視鏡用部材
出願人
日東電工株式会社
代理人
弁理士法人青藍国際特許事務所
主分類
G02B
3/00 20060101AFI20251002BHJP(光学)
要約
【課題】例えば内視鏡の画像伝送用の部材への適用が可能な、優れた耐屈曲性を有しつつ、かつ高画質の画像を伝送することができる新規の技術を提供する。
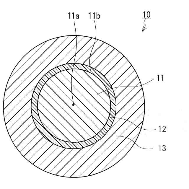
【解決手段】本開示のレンズ10は、画像伝送用のプラスチック製レンズである。レンズ10は、画像伝送方向に線状に延びる形状を有している。レンズ10は、画像伝送部であって、かつ屈折率分布を有するコア11と、コア11の外周に配置され、かつコア11の屈折率よりも低い屈折率を有する低屈折率層12と、を備える。前記屈折率分布は、コア11の中心の屈折率を極大値とする放物線状のプロファイルを有する。
【選択図】図1
特許請求の範囲
【請求項1】
画像伝送用のプラスチック製レンズであって、
前記レンズは、画像伝送方向に線状に延びる形状を有しており、
前記レンズは、
画像伝送部であって、かつ屈折率分布を有するコアと、
前記コアの外周に配置され、かつ前記コアの屈折率よりも低い屈折率を有する低屈折率層と、
を備え、
前記屈折率分布は、前記コアの中心の屈折率を極大値とする放物線状のプロファイルを有する、
レンズ。
続きを表示(約 990 文字)
【請求項2】
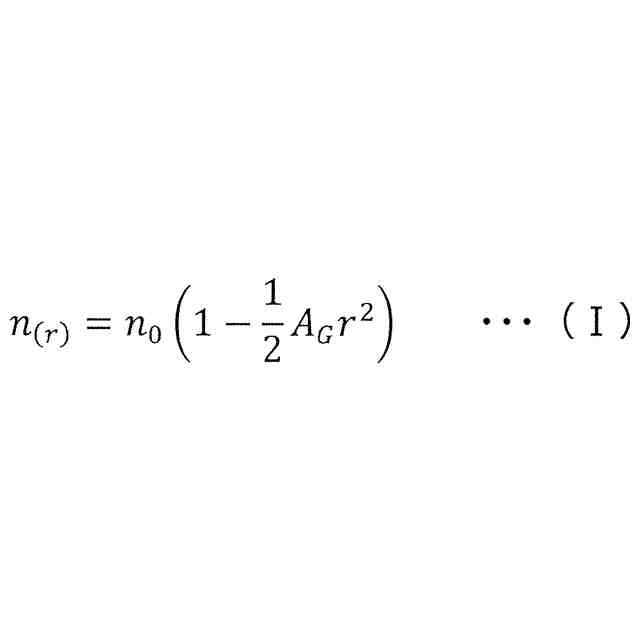
前記屈折率分布において、前記コアの中心から前記コアの半径方向への距離rの位置における屈折率n
(r)
は、下記式(I)を満たす、
請求項1に記載のレンズ。
TIFF
2025154249000025.tif
14
170
ここで、上記式(I)において、n
o
は前記コアの前記中心の屈折率であり、A
G
は集光能力を表す下記式(II)によって求められる定数である。
TIFF
2025154249000026.tif
15
170
ここで、上記式(II)において、aは前記コアの半径であり、n
a
は前記コアの半径位置である前記コアの最外部における屈折率である。
【請求項3】
前記コアの最外部における屈折率と、前記低屈折率層の屈折率との差は、0.005以上である、
請求項1に記載のレンズ。
【請求項4】
前記レンズの長さは、10mm以上かつ100mm以下である、
請求項1に記載のレンズ。
【請求項5】
前記レンズの長さは、10mm以上かつ50mm以下である、
請求項4に記載のレンズ。
【請求項6】
前記コアの直径は、100μm以上かつ250μm以下である、
請求項1に記載のレンズ。
【請求項7】
前記レンズについて、JIS K 7171:2016の規定に準拠して求められる曲げ応力-曲げひずみ曲線において、曲げ破壊ひずみが0.0008以上かつ0.023以下である、
請求項1に記載のレンズ。
ただし、JIS K 7171:2016に規定されている試験片の替わりに、長さ30mmの前記レンズが試験片として用いられる。
【請求項8】
請求項1から7のいずれか一項に記載のレンズを備えた、
内視鏡部材。
【請求項9】
前記レンズを内部に収容する筐体をさらに備えた、
請求項8に記載の内視鏡部材。
【請求項10】
光源をさらに備えた、
請求項8に記載の内視鏡部材。
(【請求項11】以降は省略されています)
発明の詳細な説明
【技術分野】
【0001】
本開示は、レンズ及び内視鏡用部材に関する。
続きを表示(約 1,200 文字)
【背景技術】
【0002】
医療用の内視鏡は、体外から体内に挿入して体腔内又は内臓の内腔を直接観察することができる、画像診断のための器具である。内視鏡は、体内に挿入される挿入部を備えており、この挿入部には、体内の画像を伝送する画像伝送用の部材が搭載されている。
【0003】
内視鏡に搭載される画像伝送用の部材としては、例えば、特許文献1に記載されているような、ガラス製の極細の光ファイバーが複数束ねられたイメージファイバーが挙げられる。
【先行技術文献】
【特許文献】
【0004】
特開2021-18329号公報
【発明の概要】
【発明が解決しようとする課題】
【0005】
しかし、イメージファイバーについては、複数の光ファイバーを伝搬する光によって1つの画像が伝送されるので、良好な画質を得ることが難しいという課題がある。
【0006】
上記のような画質の課題を解決できる画像伝送用の部材として、屈折率分布型(Graded Index、以下、「GI型」と記載する。)のガラス製レンズが挙げられる。このようなGI型レンズは、入射した光線が屈折率分布を有する光伝搬領域内を蛇行して進行し、周期的に収束しながら伝搬するので、画像を伝送することができる。このような光の伝搬によって伝送される画像は、優れた画質を有することができる。
【0007】
また、内視鏡の挿入部に用いられる画像伝送用の部材には、高画質を可能とすることに加えて、曲げによって破損しにくいように耐屈曲性を有することも求められる。しかし、上記のようなGI型のガラス製レンズは、耐屈曲性が十分でないため曲げに弱く、例えば曲げによってクラック等の破損が生じて高画質の画像を伝送することが難しくなる。
【0008】
本開示は、例えば内視鏡の画像伝送用の部材への適用が可能な、優れた耐屈曲性を有しつつ、かつ高画質の画像を伝送することができる新規の技術を提供することを目的とする。
【課題を解決するための手段】
【0009】
本開示の第1態様に係るレンズは、画像伝送用のプラスチック製レンズであって、
前記レンズは、画像伝送方向に線状に延びる形状を有しており、
前記レンズは、
画像伝送部であって、かつ屈折率分布を有するコアと、
前記コアの外周に配置され、かつ前記コアの屈折率よりも低い屈折率を有する低屈折率層と、
を備え、
前記屈折率分布は、前記コアの中心の屈折率を極大値とする放物線状のプロファイルを有する。
【0010】
本開示の第2態様に係る内視鏡部材は、第1態様に係るレンズを備える。
【発明の効果】
(【0011】以降は省略されています)
この特許をJ-PlatPat(特許庁公式サイト)で参照する
関連特許
個人
立体像表示装置
3日前
住友化学株式会社
偏光板
今日
東レ株式会社
積層フィルム
9日前
住友化学株式会社
垂直偏光板
今日
東レ株式会社
貼合体の製造方法
3日前
東レ株式会社
赤外線遮蔽構成体
3日前
スタンレー電気株式会社
照明装置
10日前
日本電気株式会社
光集積回路素子
7日前
三菱電機株式会社
レンズモジュール
今日
個人
眼鏡装着位置変更具および眼鏡
1日前
住友化学株式会社
偏光板
3日前
住友化学株式会社
偏光板
3日前
住友化学株式会社
積層体
7日前
日東電工株式会社
調光フィルム
8日前
住友化学株式会社
偏光積層体
3日前
新光電気工業株式会社
光導波路部品
今日
新光電気工業株式会社
光導波路部品
今日
日本精機株式会社
ヘッドアップディスプレイ装置
8日前
住友化学株式会社
光学積層体
3日前
日本分光株式会社
赤外顕微鏡
14日前
旭化成株式会社
成形体
14日前
旭化成株式会社
成形体
14日前
キヤノン株式会社
レンズ装置および撮像装置
8日前
住友ベークライト株式会社
積層体の製造方法
8日前
Orbray株式会社
MEMS光スイッチの制御方法
8日前
古河電気工業株式会社
光モジュール、光接続構造
8日前
住友化学株式会社
偏光板及び画像表示装置
9日前
住友ベークライト株式会社
光学シート
7日前
キヤノン電子株式会社
光学部材、撮像装置及び宇宙航行体
1日前
キヤノン電子株式会社
光学部材、撮像装置及び宇宙航行体
1日前
TDK株式会社
メタサーフェスレンズ
7日前
株式会社小糸製作所
画像投影装置
今日
京セラ株式会社
走査装置及び制御装置
7日前
日東電工株式会社
積層光学部材及び光学装置
7日前
京セラ株式会社
走査装置及び制御装置
7日前
国立大学法人徳島大学
光共振器、及び光周波数コム発生装置
8日前
続きを見る
他の特許を見る