TOP
|
特許
|
意匠
|
商標
特許ウォッチ
Twitter
他の特許を見る
10個以上の画像は省略されています。
公開番号
2025148945
公報種別
公開特許公報(A)
公開日
2025-10-08
出願番号
2024049329
出願日
2024-03-26
発明の名称
積層フィルム
出願人
東レ株式会社
代理人
主分類
G02B
5/26 20060101AFI20251001BHJP(光学)
要約
【課題】 反射帯域のシフトを抑え、より光学設計に近い反射特性を実現した積層フィルムの提供。
【解決手段】 異なる樹脂層が規則的に51層以上積層され、連続する層厚み500nm未満の層からなるユニットを含み、少なくとも一つのユニットにおいて、最小繰返し単位をU、Uにおけるn個の構成要素を表層から順にu1~unとしたときに、条件A、Bを満たすu1~unが存在する、積層フィルム。
(条件A)ユニットの中央部70%の領域を領域Xとしたときに、u1~unのうち少なくとも一つの移動平均層厚み分布の極小値が、領域X内かつ移動平均層厚みの下位25%内に存在する。
(条件B)条件Aを満たす構成要素の少なくとも一つにて、移動平均層厚み分布で極小値を示す層の前後20層の範囲内の層の厚みをt
-20
~t
20
として、t
-20
~t
20
とt
0
の差の絶対値を算出したときに、半数以上が0~8nm。
【選択図】なし
特許請求の範囲
【請求項1】
異なる複数の熱可塑性樹脂層が規則的に51層以上積層された積層フィルムであって、
連続する層厚み500nm未満の層からなる光学ユニットを少なくとも一つ含み、
前記光学ユニットのうち少なくとも一つにおいて、前記光学ユニットを構成する最小繰り返し単位をU、前記Uを構成するn個の構成要素を表層から近い順にu1~unとしたときに、前記u1~前記unの少なくとも一つが条件A及びBを満たすことを特徴とする、積層フィルム。
(条件A)
層数換算で前記光学ユニットの中央部70%の領域を領域Xとしたときに、前記構成要素u1~unのうち少なくとも一つの移動平均層厚み分布の極小値が、前記領域X内かつ移動平均層厚みの下位25%の範囲に少なくとも一つ存在する。
(条件B)
前記条件Aを満たす構成要素の少なくとも一つにおいて、移動平均層厚み分布で極小値を示す層の前後20層の範囲に含まれる層の層厚みをt
-20
~t
20
として、t
-20
~t
20
とt
0
との差の絶対値をそれぞれ算出したときに、その半数以上が0nm以上8nm以下となる。
続きを表示(約 1,300 文字)
【請求項2】
前記u1~前記unの少なくとも一つが条件C及びDを満たすことを特徴とする、請求項1に記載の積層フィルム。
(条件C)
前記構成要素u1~unのうち少なくとも一つの移動平均層厚み分布の極大値が、前記領域X内かつ移動平均層厚みの上位25%の範囲に少なくとも一つ存在する。
(条件D)
前記条件Cを満たす構成要素の少なくとも一つにおいて、移動平均層厚み分布で極大値を示す層の前後20層の範囲に含まれる層の層厚みをT
-20
~T
20
として、T
-20
~T
20
とT
0
との差の絶対値をそれぞれ算出したときに、その半数以上が0nm以上8nm以下となる。
【請求項3】
前記光学ユニットの少なくとも1つにおいて、以下の条件E、Fの少なくとも1つを満たす、請求項1または2に記載の積層フィルム。
(条件E)
前記t
-20
~前記t
20
と前記t
0
との差の絶対値をそれぞれ算出したときに、連続してその半数以上で0nm以上6nm以下となる。
(条件F)
前記T
-20
~前記T
20
と前記T
0
との差の絶対値をそれぞれ算出したときに、連続してその半数以上が0nm以上6nm以下となる。
【請求項4】
前記光学ユニットの少なくとも1つにおいて、以下の条件G、Hの少なくとも1つを満たす、請求項1または2に記載の積層フィルム。
(条件G)
前記条件A及びBを満たす構成要素を有する光学ユニットにおいて、前記光学ユニットのいずれの構成要素においても、移動平均層厚みの下位25%に含まれる層の半数以上が領域X内に存在する。
(条件H)
前記条件C及びDを満たす構成要素を有する光学ユニットにおいて、前記光学ユニットのいずれの構成要素においても、移動平均層厚みの上位25%に含まれる層の半数以上が領域X内に存在する。
【請求項5】
前記光学ユニットの少なくとも1つにおいて、前記条件A及びBを満たす構成要素の層数の合計が、前記光学ユニットの層数の30%以上100%以下を占める、請求項1または2に記載の積層フィルム。
【請求項6】
前記条件A及びBを満たす構成要素を1つ以上有する光学ユニットの数が、積層フィルムを構成する光学ユニットの数の50%以上100%以下を占める、請求項1または2に記載の積層フィルム。
【請求項7】
前記条件A~Dを満たす構成要素の少なくとも一つにおいて、前記条件Aの極小値と前記条件Cの極大値が交互に2つ以上4つ以下存在する、請求項2に記載の積層フィルム。
【請求項8】
フィルムの短辺方向の長さが500mm以上であり、かつ短辺方向の中央部および両末端部のいずれにおいても前記u1~前記unの少なくとも一つが前記条件A及びBを満たす、請求項1または2に記載の積層フィルム。
発明の詳細な説明
【技術分野】
【0001】
本発明は、幅方向の光学特性の変化が軽減された積層フィルムに関する。
続きを表示(約 4,100 文字)
【背景技術】
【0002】
溶融製膜法によって異なる複数の熱可塑性樹脂を積層した積層フィルムは、積層する熱可塑性樹脂の屈折率と層厚みを制御することで、干渉反射により様々な波長の光を選択的に反射することができる。
【0003】
しかしながら、このような積層フィルムは異なる熱可塑性樹脂間の屈折率差が小さいため、無機材料の蒸着法によって作製された従来の反射フィルムと同程度の反射特性を実現するには、多くの層を積層する必要がある。さらに、所望の帯域の光を選択的に反射するには、光学設計通りの高い積層精度での多層膜構造の実現が必要である。このような課題に対し、高い積層精度での多層膜の達成方法としてフィードブロックによって多層構造を形成した積層フィルムが提案されている(特許文献1)。
【先行技術文献】
【特許文献】
【0004】
特開2007-176154
【発明の概要】
【発明が解決しようとする課題】
【0005】
しかしながら特許文献1に開示された積層フィルムは、積層精度に改善の余地があり、反射率スペクトルを所望の反射帯域の範囲に制御することが困難であった。そこで本発明は、積層精度に起因した反射帯域のシフトを抑えることで、より光学設計に近い反射特性を実現できる積層フィルムを提供することを課題とする。
【課題を解決するための手段】
【0006】
本発明は、上記の課題を解決するため、下記の構成よりなる。
(1)異なる複数の熱可塑性樹脂層が規則的に51層以上積層された積層フィルムであって、連続する層厚み500nm未満の層からなる光学ユニットを少なくとも一つ含み、前記光学ユニットのうち少なくとも一つにおいて、前記光学ユニットを構成する最小繰り返し単位をU、前記Uを構成するn個の構成要素を表層から近い順にu1~unとしたときに、前記u1~前記unの少なくとも一つが条件A及びBを満たすことを特徴とする、積層フィルム。
(条件A)層数換算で前記光学ユニットの中央部70%の領域を領域Xとしたときに、前記構成要素u1~unのうち少なくとも一つの移動平均層厚み分布の極小値が、前記領域X内かつ移動平均層厚みの下位25%の範囲に少なくとも一つ存在する。
(条件B)前記条件Aを満たす構成要素の少なくとも一つにおいて、移動平均層厚み分布で極小値を示す層の前後20層の範囲に含まれる層の層厚みをt
-20
~t
20
として、t
-20
~t
20
とt
0
との差の絶対値をそれぞれ算出したときに、その半数以上が0nm以上8nm以下となる。
(2) 前記u1~前記unの少なくとも一つが条件C及びDを満たすことを特徴とする、(1)に記載の積層フィルム。
(条件C) 前記構成要素u1~unのうち少なくとも一つの移動平均層厚み分布の極大値が、前記領域X内かつ移動平均層厚みの上位25%の範囲に少なくとも一つ存在する。
(条件D) 前記条件Cを満たす構成要素の少なくとも一つにおいて、移動平均層厚み分布で極大値を示す層の前後20層の範囲に含まれる層の層厚みをT
-20
~T
20
として、T
-20
~T
20
とT
0
との差の絶対値をそれぞれ算出したときに、その半数以上が0nm以上8nm以下となる。
(3) 前記光学ユニットの少なくとも1つにおいて、以下の条件E、Fの少なくとも1つを満たす、(1)または(2)に記載の積層フィルム。
(条件E) 前記t
-20
~前記t
20
と前記t
0
との差の絶対値をそれぞれ算出したときに、連続してその半数以上で0nm以上6nm以下となる。
(条件F) 前記T
-20
~前記T
20
と前記T
0
との差の絶対値をそれぞれ算出したときに、連続してその半数以上が0nm以上6nm以下となる。
(4) 前記光学ユニットの少なくとも1つにおいて、以下の条件G、Hの少なくとも1つを満たす、(1)~(3)のいずれかに記載の積層フィルム。
(条件G) 前記条件A及びBを満たす構成要素を有する光学ユニットにおいて、前記光学ユニットのいずれの構成要素においても、移動平均層厚みの下位25%に含まれる層の半数以上が領域X内に存在する。
(条件H) 前記条件C及びDを満たす構成要素を有する光学ユニットにおいて、前記光学ユニットのいずれの構成要素においても、移動平均層厚みの上位25%に含まれる層の半数以上が領域X内に存在する。
(5) 前記光学ユニットの少なくとも1つにおいて、前記条件A及びBを満たす構成要素の層数の合計が、前記光学ユニットの層数の30%以上100%以下を占める、(1)~(4)のいずれかに記載の積層フィルム。
(6) 前記条件A及びBを満たす構成要素を1つ以上有する光学ユニットの数が、積層フィルムを構成する光学ユニットの数の50%以上100%以下を占める、(1)~(5)のいずれかに記載の積層フィルム。
(7) 前記条件A~Dを満たす構成要素の少なくとも一つにおいて、前記条件Aの極小値と前記条件Cの極大値が交互に2つ以上4つ以下存在する、(2)~(6)のいずれかに記載の積層フィルム。
(8) フィルムの短辺方向の長さが500mm以上であり、かつ短辺方向の中央部および両末端部のいずれにおいても前記u1~前記unの少なくとも一つが前記条件A及びBを満たす、(1)~(7)のいずれかに記載の積層フィルム。
【発明の効果】
【0007】
本発明によれば、積層フィルムの反射帯域を所望の範囲に高度に制御することができ、より光学設計に近い反射特性を実現できる積層フィルムを提供することができる。
【図面の簡単な説明】
【0008】
従来技術により得られる401層の積層フィルムの設計段階における層厚み分布(a)と実際に得られた層厚み分布(b)及び反射率スペクトル(c)である。
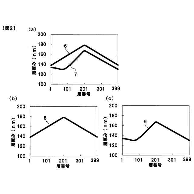
A層とB層を交互に積層した401層の積層フィルムの光学ユニットの層厚み分布(a)におけるB層の層厚み分布(b)及びA層の層厚み分布(c)である。
本発明により得られる401層の積層フィルムの設計段階における層厚み分布(a)と実際に得られた層厚み分布(b)及び反射率スペクトル(c)である。
実施例1の積層フィルムの層厚み設計である。
実施例2の積層フィルムの層厚み設計である。
実施例3の積層フィルムの層厚み設計である。
実施例4の積層フィルムの層厚み設計である。
実施例5の積層フィルムの層厚み設計である。
実施例6の積層フィルムの層厚み設計である。
実施例7の積層フィルムの層厚み設計である。
実施例8の積層フィルムの層厚み設計である。
実施例9の積層フィルムの層厚み設計である。
実施例10の積層フィルムの層厚み設計である。
実施例11の積層フィルムの層厚み設計である。
実施例12~14の積層フィルムの層厚み設計である。
実施例15の積層フィルムの層厚み設計である。
実施例16の積層フィルムの層厚み設計である。
実施例17の積層フィルムの層厚み設計である。
比較例1の積層フィルムの層厚み設計である。
比較例2の積層フィルムの層厚み設計である。
比較例3の積層フィルムの層厚み設計である。
比較例4の積層フィルムの層厚み設計である。
【発明を実施するための形態】
【0009】
本発明の積層フィルムは、異なる複数の熱可塑性樹脂層が規則的に51層以上積層された積層フィルムであって、連続する層厚み500nm未満の層からなる光学ユニットを少なくとも一つ含み、前記光学ユニットのうち少なくとも一つにおいて、前記光学ユニットを構成する最小繰り返し単位をU、前記Uを構成するn個の構成要素を表層から近い順にu1~unとしたときに、前記u1~前記unの少なくとも一つが条件A及びBを満たすことを特徴とする、積層フィルムである。
(条件A)
層数換算で前記光学ユニットの中央部70%の領域を領域Xとしたときに、前記構成要素u1~unのうち少なくとも一つの移動平均層厚み分布の極小値が、前記領域X内かつ移動平均層厚みの下位25%の範囲に少なくとも一つ存在する。
(条件B)
前記条件Aを満たす構成要素の少なくとも一つにおいて、移動平均層厚み分布で極小値を示す層の前後20層の範囲に含まれる層の層厚みをt
-20
~t
20
として、t
-20
~t
20
とt
0
との差の絶対値をそれぞれ算出したときに、その半数以上が0nm以上8nm以下となる。
【0010】
以下に本発明の実施の形態について述べるが、本発明は以下の実施例を含む実施の形態に限定して解釈されるものではなく、発明の目的を達成できて、かつ、発明の要旨を逸脱しない範囲内においての種々の変更は当然あり得る。また、説明を簡略化する目的で一部の説明は、本発明の好ましい態様の一つである、異なる2種の熱可塑性樹脂層が交互に積層された構成を有する積層フィルムを例にとり説明するが、異なる3種以上の熱可塑性樹脂層を用いた場合においても、同様に理解されるべきものである。
(【0011】以降は省略されています)
この特許をJ-PlatPat(特許庁公式サイト)で参照する
関連特許
東レ株式会社
電池
3日前
東レ株式会社
化粧料
24日前
東レ株式会社
積層フィルム
1か月前
東レ株式会社
光透過性表皮材
1か月前
東レ株式会社
無配向フィルム
1か月前
東レ株式会社
不織布の製造装置
1か月前
東レ株式会社
赤外線遮蔽構成体
1か月前
東レ株式会社
飛翔体用ブレード
1か月前
東レ株式会社
貼合体の製造方法
1か月前
東レ株式会社
車両用衝撃吸収部材
1か月前
東レ株式会社
テーパ付き円筒部材
1か月前
東レ株式会社
フィルムの製造装置
1か月前
東レ株式会社
太陽電池モジュール
1か月前
東レ株式会社
遠心ポッティング方法
16日前
東レ株式会社
ポリエステルフィルム
29日前
東レ株式会社
複合成形体の製造方法
1か月前
東レ株式会社
二軸配向ポリオレフィンフィルム
1か月前
東レ株式会社
ポリオレフィン系樹脂発泡シート
8日前
東レ株式会社
ポリアミド樹脂組成物および成形品
17日前
東レ株式会社
フィルムの製造装置、及び、吸引装置
1か月前
東レ株式会社
顆粒状ポリエステルアミドの製造方法
24日前
東レ株式会社
電子部品の製造方法および樹脂組成物
10日前
TMTマシナリー株式会社
糸巻取装置
1か月前
TMTマシナリー株式会社
糸巻取装置
1か月前
東レ株式会社
混紡糸およびそれを含む布帛、繊維製品
1か月前
TMTマシナリー株式会社
糸巻取装置
1か月前
東レ株式会社
耐炎化繊維束および炭素繊維束の製造方法
1か月前
東レ株式会社
湿式不織布、および固体電解質用補強シート
10日前
東レ株式会社
液体電解用多孔質輸送層およびその製造方法
8日前
東レ株式会社
人工皮革およびその製造方法ならびに衣料、家具
1か月前
東レ株式会社
3Dプリンター用フィラメント及びその製造方法
1か月前
東レ株式会社
人工皮革およびその製造方法、衣料、ならびに鞄
1か月前
東レ株式会社
ゴム資材補強用合成繊維コードおよびその製造方法
1か月前
東レ株式会社
ガス拡散電極と触媒層付き電解質膜の接着力測定方法
22日前
東レ株式会社
芳香族化合物の製造方法、およびテレフタル酸の製造方法
8日前
東レ株式会社
プリプレグ、繊維強化樹脂成形体、及びそれらの製造方法
1か月前
続きを見る
他の特許を見る