TOP
|
特許
|
意匠
|
商標
特許ウォッチ
Twitter
他の特許を見る
公開番号
2025152536
公報種別
公開特許公報(A)
公開日
2025-10-10
出願番号
2024054466
出願日
2024-03-28
発明の名称
球状アルミナ粉末
出願人
株式会社レゾナック
代理人
個人
,
個人
,
個人
,
個人
,
個人
主分類
C01F
7/021 20220101AFI20251002BHJP(無機化学)
要約
【課題】D50が0.1~40μmの球状アルミナ粉末においても熱伝導率の高い樹脂組成物を与えることができる球状アルミナ粉末を提供する。
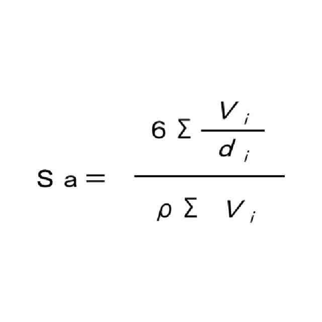
【解決手段】D50が0.1~40μm、円形度が0.90以上1.00以下、α化率が60%以上100%以下であり、以下の式(1)で示される粒子表面粗度が1.14以上1.35以下である球状アルミナ粉末。
式(1);粒子表面粗度
=BET比表面積A/粒度分布から算出した球換算比表面積Sa
【選択図】なし
特許請求の範囲
【請求項1】
D50が0.1~40μm、
円形度が0.90以上1.00以下、
α化率が60%以上100%以下であり、
以下の式(1)で示される粒子表面粗度が1.14以上1.35以下である球状アルミナ粉末。
式(1);粒子表面粗度
=BET比表面積A/粒度分布から算出した球換算比表面積Sa
続きを表示(約 500 文字)
【請求項2】
比重が3.80g/cm
3
以上である請求項1に記載の球状アルミナ粉末。
【請求項3】
BET比表面積Aが0.1以上2.0以下である請求項1又は2に記載の球状アルミナ粉末。
【請求項4】
吸油率が30%以上50%以下である請求項1又は2に記載の球状アルミナ粉末。
【請求項5】
請求項1又は2に記載の球状アルミナ粉末と樹脂とを含む樹脂組成物。
【請求項6】
請求項5に記載の樹脂組成物が基材に含浸された、プリプレグ。
【請求項7】
請求項6に記載のプリプレグ又はその積層体の硬化物。
【請求項8】
請求項7に記載の硬化物と、
前記硬化物の少なくとも一方の主面に配置された金属箔と、を含む、金属張積層板。
【請求項9】
電子部品装置の封止材として用いるための、請求項5に記載の樹脂組成物。
【請求項10】
素子と、前記素子を封止する請求項5に記載の樹脂組成物の硬化物とを備える電子部品装置。
(【請求項11】以降は省略されています)
発明の詳細な説明
【技術分野】
【0001】
本開示の内容は、球状アルミナ粉末及びその製造方法に関する。
続きを表示(約 2,500 文字)
【背景技術】
【0002】
近年、スマートフォンを例とするモバイル機器、及び車両に搭載される電子機器の小型軽量化及び薄型化が顕著である。この結果、電子機器内部のプリント配線基板に搭載されたICチップ、メモリ等の電子部品の高密度化が進行しており、電子機器内部の発熱密度はますます大きくなる傾向にある。電子機器内部の発熱密度が大きくなると、電子機器内部の発熱に伴う温度上昇が著しくなり、電子部品の動作性能の低下及び信頼性の低下につながる。したがって、電子部品から発生した熱を速やかに外部に伝えて放熱することが求められる。そこで、電子機器のパッケージ材料及び基板材料の熱伝導率を向上させる必要性が更に高まっている。
【0003】
上記問題を解決する手段としては、電子機器のパッケージ材料及び基板材料を構成する絶縁性の樹脂材料に高熱伝導性の無機材料粉末をフィラーとして高い充填率で充填する方法が主流である。高熱伝導性の無機材料粉末としてはアルミナ、マグネシア、窒化ホウ素、窒化アルミニウム等が知られているが、耐薬品性、吸湿安定性などの観点から、一般的にアルミナ粉末が多く利用されている。
【0004】
無機材料粉末の形状は、高充填率での樹脂との混練が容易な、球状の形状であることが好ましい。球状のアルミナ粉末は、一般に、原料となるバイヤー法アルミナを火炎中に噴霧し、溶融しながら急冷することにより球状化する、いわゆる溶射法で製造されることが知られている。溶射法については、特許文献1に記載がある。
【0005】
しかし、従来の溶射法では、粒径が50μm程度と大きい場合、α-アルミナの含有率(以下、α化率とも表す)が高い球状アルミナが得られるが、粒径が小さくなるに従いδ-アルミナなどの低温相の含有率が増加し、球状アルミナの熱伝導率が小さくなるといった問題があった。そこで、球状アルミナに熱処理を施すことでα化率を高くすることが検討された(特許文献2)。
【先行技術文献】
【特許文献】
【0006】
特開平11-147711号公報
特開2014-9140号公報
【発明の概要】
【発明が解決しようとする課題】
【0007】
球状アルミナに熱処理を施すことでα化率を高くした場合、その熱処理により球状アルミナの表面の粗度が上がり樹脂への混練性が低下する。そのため、球状アルミナを充填した樹脂材料の熱伝導率が高くならないという問題があった。一方で、従来の球状アルミナは、充填性と流動性に優れるが故に、混練し充填した樹脂組成物中で沈降し易く、より熱伝導率が低い樹脂層と球状アルミナ粉末が敷詰まった層に偏析を生じる場合がある。これにより、より一層の熱伝導率低下及び性能のばらつき発生が誘発されるという問題があった。
【0008】
本開示は、D50が0.1~40μmの球状アルミナ粉末においても熱伝導率の高い樹脂組成物を与えることができる球状アルミナ粉末を提供する。本開示はさらに、球状アルミナ粉末を含む樹脂組成物、及びプリプレグを提供する。
【課題を解決するための手段】
【0009】
本開示の内容は、以下の事項に関する。
[1]
D50が0.1~40μm、
円形度が0.90以上1.00以下、
α化率が60%以上100%以下であり、
以下の式(1)で示される粒子表面粗度が1.14以上1.35以下である球状アルミナ粉末。
式(1);粒子表面粗度
=BET比表面積A/粒度分布から算出した球換算比表面積Sa
[2]
比重が3.80g/cm
3
以上である[1]に記載の球状アルミナ粉末。
[3]
BET比表面積Aが0.1以上2.0以下である[1]又は[2]に記載の球状アルミナ粉末。
[4]
吸油率が30%以上50%以下である[1]~[3]のいずれかに記載の球状アルミナ粉末。
[5]
[1]~[4]のいずれかに記載の球状アルミナ粉末と樹脂とを含む樹脂組成物。
[6]
[5]に記載の樹脂組成物が基材に含浸された、プリプレグ。
[7]
[6]に記載のプリプレグ又はその積層体の硬化物。
[8]
[7]に記載の硬化物と、
前記硬化物の少なくとも一方の主面に配置された金属箔と、を含む、金属張積層板。
[9]
電子部品装置の封止材として用いるための、[5]に記載の樹脂組成物。
[10]
素子と、前記素子を封止する[5]に記載の樹脂組成物の硬化物とを備える電子部品装置。
[11]
火炎を形成するバーナーによって炉の内側に高温領域を形成する高温化工程と、
前記炉内に原料アルミナ粉末を投入し加熱溶融することで熱処理前球状アルミナ粉末を生成する球状化工程と、
前記熱処理前球状アルミナ粉末を水槽中の冷却洗浄水に投入して前記熱処理前球状アルミナ粉末の冷却及び洗浄を行う冷却洗浄工程と、
前記熱処理前球状アルミナ粉末と前記冷却洗浄水とを分離し、前記熱処理前球状アルミナ粉末を回収する回収工程と、
回収した前記熱処理前球状アルミナ粉末を、大気雰囲気下1100~1300℃で熱処理して球状アルミナ粉末を得る熱処理工程と、
を含む、球状アルミナ粉末の製造方法。
【発明の効果】
【0010】
本開示によれば、D50が0.1~40μmの球状アルミナ粉末においても熱伝導率の高い樹脂組成物を与えることができる球状アルミナ粉末を提供することができる。さらに、本開示によれば、球状アルミナ粉末を含む樹脂組成物、及びプリプレグを提供することができる。
【図面の簡単な説明】
(【0011】以降は省略されています)
この特許をJ-PlatPat(特許庁公式サイト)で参照する
関連特許
株式会社レゾナック
熱交換器、及び熱交換器の製造方法
7日前
株式会社レゾナック
エポキシ樹脂組成物及び半導体装置
9日前
株式会社レゾナック
プライマー、プライマー層付き基板、プライマー層付き基板の製造方法、半導体装置及び半導体装置の製造方法
7日前
個人
一酸化炭素の製造方法
21日前
株式会社タクマ
固体炭素化設備
1か月前
東洋アルミニウム株式会社
水素発生材料
7日前
東洋アルミニウム株式会社
水素発生材料
7日前
三菱重工業株式会社
加熱装置
1か月前
株式会社トクヤマ
酸性次亜塩素酸水の製造方法
29日前
日揮触媒化成株式会社
珪酸液およびその製造方法
1か月前
デンカ株式会社
窒化ケイ素粉末
1か月前
デンカ株式会社
窒化ケイ素粉末
1か月前
住友化学株式会社
無機アルミニウム化合物粉末
28日前
三菱ケミカル株式会社
槽の洗浄方法及びシリカ粒子の製造方法
1か月前
デンカ株式会社
窒化ケイ素粉末の製造方法
1か月前
大阪瓦斯株式会社
酸化物複合体
1か月前
浅田化学工業株式会社
アルミナ水分散液の製造方法
20日前
デンカ株式会社
セラミックス粉末の製造方法
1か月前
デンカ株式会社
アルミナ粉末、無機粉末および樹脂組成物
15日前
デンカ株式会社
アルミナ粉末、無機粉末および樹脂組成物
15日前
デンカ株式会社
アルミナ粉末、無機粉末および樹脂組成物
15日前
JFEエンジニアリング株式会社
ドライアイス製造システム
29日前
トヨタ自動車株式会社
光触媒を用いた水素ガス製造装置
1か月前
トヨタ自動車株式会社
光触媒を用いた水素ガス製造装置
1か月前
デンカ株式会社
窒化ホウ素粉末の製造方法
1か月前
トヨタ自動車株式会社
光触媒を用いた水素ガス製造装置
1か月前
トヨタ自動車株式会社
光触媒を用いた水素ガス製造装置
1か月前
アサヒプリテック株式会社
濃縮方法
1か月前
アサヒプリテック株式会社
濃縮方法
1か月前
大阪瓦斯株式会社
水素製造装置及びその運転方法
1か月前
株式会社レゾナック
球状アルミナ粉末
1か月前
日揮触媒化成株式会社
粉体及びその製造方法、並びに樹脂組成物
1か月前
日本電気株式会社
繊維状カーボンナノホーン集合体の接着分離方法
1か月前
マイクロ波化学株式会社
水素の製造方法
13日前
デンカ株式会社
窒化ホウ素粉末、及び樹脂成形体
1か月前
エヌ・イーケムキャット株式会社
ゼオライトの製造方法
1か月前
続きを見る
他の特許を見る