TOP
|
特許
|
意匠
|
商標
特許ウォッチ
Twitter
他の特許を見る
10個以上の画像は省略されています。
公開番号
2025152423
公報種別
公開特許公報(A)
公開日
2025-10-09
出願番号
2024054315
出願日
2024-03-28
発明の名称
工場の温度環境診断装置及び温度環境診断方法
出願人
オークマ株式会社
代理人
個人
,
個人
主分類
B23Q
17/00 20060101AFI20251002BHJP(工作機械;他に分類されない金属加工)
要約
【課題】工場における設備の設置環境に温度変化を引き起こす要因の場所を容易に特定できる工場の温度環境診断装置及び温度環境診断方法を提供する。
【解決手段】マシニングセンタの温度情報を取得する複数の温度センサと、工場におけるマシニングセンタの設置位置情報と、設置方向情報とを取得する位置情報取得部10と、温度情報を用いて、温度センサ間での温度差の変化量を算出する温度差変化量算出部11と、温度情報と、算出した温度差の変化量とを用いて、マシニングセンタに対して温度差の変化を引き起こす要因が存在すると推測される方向を示す空間方向ベクトルを算出する空間方向ベクトル算出部12と、算出されたマシニングセンタの空間方向ベクトルと、取得した設置位置情報、及び設置方向情報とから、工場におけるマシニングセンタの空間方向ベクトルを提示する提示部13とを備える。
【選択図】図2
特許請求の範囲
【請求項1】
工場に設置された設備における2以上の位置で、温度情報を取得する温度情報取得部と、
前記工場における前記設備の設置位置情報と、設置方向情報とを取得する位置情報取得部と、
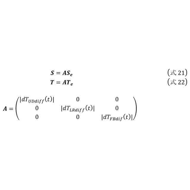
取得された前記温度情報を用いて、前記設備における2以上の位置の間での温度差の変化量を算出する温度差変化量算出部と、
取得された前記温度情報と、算出された前記温度差の変化量とを用いて、前記設備に対して温度変化を引き起こす要因が存在すると推測される方向を示す空間方向ベクトルを算出する空間方向ベクトル算出部と、
算出された前記設備の前記空間方向ベクトルと、取得された前記設置位置情報、及び前記設置方向情報とに基づき、前記工場における前記設備の空間方向ベクトルを提示する提示部とを備えることを特徴とする工場の温度環境診断装置。
続きを表示(約 1,000 文字)
【請求項2】
前記温度情報取得部は、前記設備の上部及び下部、左側面及び右側面、並びに前面及び背面の少なくとも一組の位置に配置され、
前記温度差変化量算出部は、前記設備の上部と下部との温度差の変化量、左側面と右側面との温度差の変化量、及び前面と背面との温度差の変化量の少なくともいずれかを算出することを特徴とする請求項1に記載の工場の温度環境診断装置。
【請求項3】
前記空間方向ベクトルは、温度上昇によって前記設備に対して温度変化を引き起こす要因が存在すると推測される方向を示す温度上昇空間方向ベクトルと、温度低下によって前記設備に対して温度変化を引き起こす要因が存在すると推測される方向を示す温度低下空間方向ベクトルとからなることを特徴とする請求項1に記載の工場の温度環境診断装置。
【請求項4】
前記設備は、工作機械、又は計測装置であることを特徴とする請求項1乃至3の何れかに記載の工場の温度環境診断装置。
【請求項5】
工場に設置された設備における2以上の位置で、温度情報を取得し、
前記工場における前記設備の設置位置情報と、設置方向情報とを取得し、
取得された前記温度情報を用いて、前記設備における2以上の位置での、温度差の変化量を算出し、
取得された前記温度情報と、算出された前記温度差の変化量とを用いて、前記設備に対して温度変化を引き起こす要因が存在すると推測される方向を示す空間方向ベクトルを算出することを特徴とする温度環境診断方法。
【請求項6】
前記設備の上部及び下部、左側面及び右側面、並びに前面及び背面の少なくとも一組の位置における前記温度情報を取得し、
前記設備の上部と下部との温度差の変化量、左側面と右側面との温度差の変化量、及び前面と背面との温度差の変化量の少なくともいずれかを算出することを特徴とする請求項5に記載の温度環境診断方法。
【請求項7】
前記空間方向ベクトルは、温度上昇によって前記設備に対して温度変化を引き起こす要因が存在すると推測される方向を示す温度上昇空間方向ベクトルと、温度低下によって前記設備に対して温度変化を引き起こす要因が存在すると推測される方向を示す温度低下空間方向ベクトルとからなることを特徴とする請求項5に記載の温度環境診断方法。
【請求項8】
前記設備は、工作機械、又は計測装置であることを特徴とする請求項5乃至7の何れかに記載の温度環境診断方法。
発明の詳細な説明
【技術分野】
【0001】
本開示は、工作機械を含む設備が設置された工場において、温度環境を診断する工場の温度環境診断装置及び温度環境診断方法に関するものである。
続きを表示(約 2,500 文字)
【背景技術】
【0002】
工作機械、計測装置といった設備は、種々の要因により発生する温度変化に影響を受ける。例えば、工作機械を用いて加工を行う際、主軸の発熱、送り軸の発熱、設置環境の温度変化といった原因により、工作機械に熱変位が発生する。このような熱変位により、ワークと工具刃先との相対位置が変化するため、加工中に熱変位が発生した場合、ワークの加工精度が低下する。
【0003】
工作機械の熱変位による加工精度の低下を抑制する技術として、熱変位の大きさを推測し、各軸の移動量を変化させる熱変位補正が有効であり、広く知られている。熱変位の大きさは、工作機械に取り付けられた温度センサにより取得した温度情報から推測される。しかし、熱変位補正の精度には限界があり、特に、工作機械の設置環境の温度変化が大きい場合、誤差が発生することがある。
【0004】
そのため、工作機械の設置環境の温度変化が大きい場合の対策が検討されている。例えば、特許文献1では、工作機械に取り付けられた温度センサで計測した温度から、機械の加工精度を診断し、加工精度の低下が推測されることを提示することで、作業者に機械の校正を促す方法が開示されている。
【0005】
また、特許文献2では、機械の上部、中部、及び下部に温度センサを取り付けて、中部に取り付けられた温度センサが取得する温度情報に基づく所定期間での温度変化幅、及び温度変化率、並びに上部に取り付けられた温度センサが取得する温度情報と下部に取り付けられた温度センサが取得する温度情報との差である上下温度差の、所定期間での変動幅に基づいて機械の温度環境を診断する技術が開示されている。さらに、機械の温度環境が所望の加工精度を得るのに好ましくない環境と診断された場合に、機械の温度環境の現状と対策方法とをメッセージとして提示する技術も開示されている。
【先行技術文献】
【特許文献】
【0006】
特開2022-139266号公報
特許第6558818号公報
【発明の概要】
【発明が解決しようとする課題】
【0007】
特許文献1に記載の方法は、工作機械の設置環境の温度変化が大きい場合に、機械の校正タイミングを提示するのみである。そのため、特許文献1に記載の方法では、工作機械が設置された工場における設置環境の温度変化が大きくなった要因を把握できない。従って、設置環境の温度変化が大きくなった要因を把握するためには、作業者が、経験及び勘に基づいて、工作機械の周辺を調査する必要がある。つまり、経験、勘といった作業者の能力に依るところが大きく、設置環境の温度変化が大きくなった要因の特定に時間を要するという課題がある。
【0008】
また、特許文献2では、所望の加工精度を得るのに好ましくない温度環境と診断された場合、機械の環境温度の現状と対策方法とを示したメッセージが提示される。しかし、メッセージには、対策を行うべき場所までは提示されない。そのため、機械周辺のどこに対策を実行すれば良いかの判断はできない。
従って、工作機械といった設備の設置環境の温度変化に影響を及ぼしている要因について、当該設備が設置された工場での具体的な場所を容易に特定する方法が望まれていた。
【0009】
そこで、本開示は、上記問題に鑑みなされたものであって、工作機械といった工場における設備の設置環境に温度変化を引き起こす要因について、当該設備が設置された工場での具体的な要因の場所を容易に特定できる工場の温度環境診断装置及び温度環境診断方法を提供することを目的としたものである。
【課題を解決するための手段】
【0010】
上記目的を達成するために、本開示の第1の構成は、工場に設置された設備における2以上の位置で、温度情報を取得する温度情報取得部と、工場における設備の設置位置情報と、設置方向情報とを取得する位置情報取得部と、取得された温度情報を用いて、設備における2以上の位置での、温度差の変化量を算出する温度差変化量算出部と、取得された温度情報と、算出された温度差の変化量とを用いて、設備に対して温度変化を引き起こす要因が存在すると推測される方向を示す空間方向ベクトルを算出する空間方向ベクトル算出部と、算出された設備の空間方向ベクトルと、取得された設置位置情報、及び設置方向情報とに基づき、工場における設備の空間方向ベクトルを提示する提示部とを備えることを特徴とする。
本開示の第1の構成の別の態様は、上記構成において、設備は、工作機械、又は計測装置であることを特徴とする。
本開示の第1の構成の別の態様は、上記構成において、温度情報取得部は、設備の上部及び下部、左側面及び右側面、並びに前面及び背面の少なくとも一組の位置に配置され、温度差変化量算出部は、設備の上部と下部との温度差の変化量、左側面と右側面との温度差の変化量、及び前面と背面との温度差の変化量の少なくともいずれかを算出することを特徴とする。
本開示の第1の構成のさらに別の態様は、上記構成において、空間方向ベクトルは、温度上昇によって発生した温度変化を引き起こす要因が存在すると推測される方向を示す温度上昇空間方向ベクトルと、温度低下によって発生した温度変化を引き起こす要因が存在すると推測される方向を示す温度低下空間方向ベクトルとからなることを特徴とする。
本開示の第2の構成は、工場に設置された設備における2以上の位置で、温度情報を取得し、工場における設備の設置位置情報と、設置方向情報とを取得し、取得された温度情報を用いて、設備における2以上の位置での、温度差の変化量を算出し、取得された温度情報と、算出された温度差の変化量とを用いて、設備に対して温度変化を引き起こす要因が存在すると推測される方向を示す空間方向ベクトルを算出することを特徴とする。
【発明の効果】
(【0011】以降は省略されています)
この特許をJ-PlatPat(特許庁公式サイト)で参照する
関連特許
オークマ株式会社
主軸旋回装置
1か月前
オークマ株式会社
イナーシャ推定方法およびイナーシャ推定装置
16日前
オークマ株式会社
タッチプローブの補正値検査システム及び補正値検査方法
18日前
個人
フライス盤
2か月前
日東精工株式会社
ねじ締め機
3か月前
株式会社北川鉄工所
回転装置
5か月前
日東精工株式会社
ねじ締め機
5か月前
日東精工株式会社
ねじ締め機
1か月前
日東精工株式会社
ねじ締め機
2か月前
日東精工株式会社
ねじ締め装置
4か月前
株式会社ダイヘン
溶接電源装置
3か月前
ダイニチ工業株式会社
配膳治具
19日前
日東精工株式会社
ねじ締め装置
2か月前
株式会社ダイヘン
溶接電源装置
4か月前
株式会社ダイヘン
溶接電源装置
4か月前
キヤノン電子株式会社
加工装置
16日前
株式会社FUJI
工作機械
1か月前
日東精工株式会社
ねじ整列トレー
11日前
個人
切削油供給装置
3か月前
株式会社FUJI
工作機械
1か月前
株式会社FUJI
工作機械
4か月前
株式会社FUJI
工作機械
5か月前
中国電力株式会社
養生シート
1か月前
睦月電機株式会社
金属表面処理方法
16日前
個人
型枠製造装置のフレーム
1か月前
株式会社富田製作所
支持構造
24日前
株式会社アンド
半田付け方法
2か月前
キヤノン電子株式会社
加工システム
3か月前
株式会社トヨコー
被膜除去方法
6か月前
村田機械株式会社
レーザ加工機
5か月前
大見工業株式会社
ドリル
3か月前
株式会社向洋技研
スタッドの製造方法
18日前
村田機械株式会社
レーザ加工機
5か月前
株式会社ツガミ
工作機械
2か月前
株式会社ダイヘン
溶接装置
4か月前
株式会社ダイヘン
溶接装置
4か月前
続きを見る
他の特許を見る