TOP
|
特許
|
意匠
|
商標
特許ウォッチ
Twitter
他の特許を見る
公開番号
2025152122
公報種別
公開特許公報(A)
公開日
2025-10-09
出願番号
2024053868
出願日
2024-03-28
発明の名称
窒化物半導体積層体の製造方法及び窒化物半導体積層体
出願人
旭化成株式会社
,
国立大学法人東海国立大学機構
代理人
個人
,
個人
主分類
C30B
29/38 20060101AFI20251002BHJP(結晶成長)
要約
【課題】電気特性の高い窒化物半導体積層体の製造方法および窒化物半導体積層体を提供する。
【解決手段】窒化物半導体積層体の製造方法では、Alを含む窒化物半導体基板上に、有機金属気相成長法を用いてシリコンガスを原料ガスとして供給しながらAl
x
Ga
(1-x)
N(0.5≦x≦1)で形成された下地層を形成する工程と、下地層上に、温度が600℃以上900℃以下かつ圧力が20mbar以上200mbar以下の環境下で、有機金属気相成長法を用いてトリメチルガリウムガスを原料ガスとして供給しながら成長レート0.5μm/hr以上2.0μm/hr以下でGaN層を形成する工程と、を備えている。これにより、窒化物半導体基板上には、Siを1×10
19
cm
-3
以上1×10
20
cm
-3
以下含むAl
x
Ga
(1-x)
N(0.5≦x≦1)で形成された下地層が形成され、電気特性が改善される。
【選択図】 図1
特許請求の範囲
【請求項1】
Alを含む窒化物半導体基板上に、有機金属気相成長法を用いてシリコンガスを原料ガスとして供給しながらAl
x
Ga
(1-x)
N(0.5≦x≦1)で形成された下地層を形成する工程と、
前記下地層上に、温度が600℃以上900℃以下かつ圧力が20mbar以上200mbar以下の環境下で、有機金属気相成長法を用いてトリメチルガリウムガスを原料ガスとして供給しながら成長レート0.5μm/hr以上2.0μm/hr以下でGaN層を形成する工程と、
を備える窒化物半導体積層体の製造方法。
続きを表示(約 1,000 文字)
【請求項2】
前記下地層を、温度が600℃以上1000℃以下かつ圧力が50mbar以上500mbar以下の環境下で形成する
請求項1に記載の窒化物半導体積層体の製造方法。
【請求項3】
前記窒化物半導体基板として、窒化アルミニウム単結晶基板を用いる
請求項1または2に記載の窒化物半導体積層体の製造方法。
【請求項4】
前記窒化物半導体基板として、ミスカット角度が0.1度以上0.4度以下である前記窒化物半導体基板を用いる
請求項1または2に記載の窒化物半導体積層体の製造方法。
【請求項5】
前記窒化物半導体基板として、ミスカット方向が<10-10>方向である前記窒化物半導体基板を用いる
請求項1または2に記載の窒化物半導体積層体の製造方法。
【請求項6】
Alを含む窒化物半導体基板と、
前記窒化物半導体基板上に配置され、Siを1×10
19
cm
-3
以上1×10
20
cm
-3
以下含むAl
x
Ga
(1-x)
N(0.5≦x≦1)で形成された下地層と、
前記下地層上に配置されたGaN層と、
を備える
窒化物半導体積層体。
【請求項7】
前記下地層は、前記Siを3×10
19
cm
-3
以上6×10
19
cm
-3
以下含む前記Al
x
Ga
(1-x)
N(0.5≦x≦1)で形成されている
請求項6に記載の窒化物半導体積層体。
【請求項8】
前記下地層の膜厚が、50nm以上200nm以下である
請求項6または7に記載の窒化物半導体積層体。
【請求項9】
前記下地層と前記GaN層との界面に、前記下地層のAlが前記GaN層に対して拡散し、前記GaN層のGaが前記下地層に対して拡散されることで形成されたAlとGaとを含む拡散層が形成されていない
請求項6または7に記載の窒化物半導体積層体。
【請求項10】
前記窒化物半導体基板が、窒化アルミニウム単結晶基板である
請求項6または7に記載の窒化物半導体積層体。
(【請求項11】以降は省略されています)
発明の詳細な説明
【技術分野】
【0001】
本開示は、窒化物半導体積層体の製造方法及び窒化物半導体積層体に関する。
続きを表示(約 2,400 文字)
【背景技術】
【0002】
一般的な窒化物半導体積層体によるパワーデバイスは、GaN基板上にAlGaNバリア層を設けている(例えば、特許文献1)。また、パワーデバイスの耐圧を高めるために、よりバンドギャップの広いAlN基板上に窒化物半導体積層体を成長させてパワーデバイスを作成する手法が開示されている(例えば、非特許文献1)。
【先行技術文献】
【特許文献】
【0003】
特開2009-49121号公報
【非特許文献】
【0004】
住友電工 テクニカルレビュー 第180号 83ページ (2012)
【発明の概要】
【発明が解決しようとする課題】
【0005】
窒化物半導体積層体では、基板のミスカット角が0.1度以上と大きい場合、基板の上層に形成される半導体積層部の各層が緩和しやすくなり、窒化物半導体積層体に新規の貫通転位が導入される場合があった。一方、基板のミスカット角が0.1未満と小さい場合でも、基板の上層に形成される層の緩和が生じにくくなるものの、やはり窒化物半導体積層体の電気特性が必要とされる電気特性を下回るという課題が生じる。
本開示の目的は、電気特性の高い窒化物半導体積層体の製造方法および窒化物半導体積層体を提供することにある。
【課題を解決するための手段】
【0006】
上述した課題を解決するために、本開示の一態様に係る窒化物半導体積層体の製造方法では、Alを含む窒化物半導体基板上に、有機金属気相成長法を用いてシリコンガスを原料ガスとして供給しながらAl
x
Ga
(1-x)
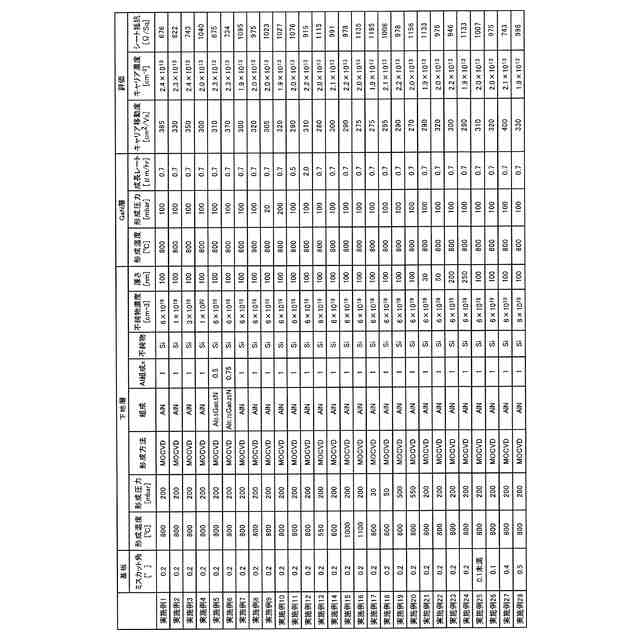
N(0.5≦x≦1)で形成された下地層を形成する工程と、下地層上に、温度が600℃以上900℃以下かつ圧力が20mbar以上200mbar以下の環境下で、有機金属気相成長法を用いてトリメチルガリウムガスを原料ガスとして供給しながら成長レート0.5μm/hr以上2.0μm/hr以下でGaN層を形成する工程と、を備えている。
【0007】
また、本開示の他の態様に係る窒化物半導体積層体は、Alを含む窒化物半導体基板と、
窒化物半導体基板上に配置され、Siを1×10
19
cm
-3
以上1×10
20
cm
-3
以下含むAl
x
Ga
(1-x)
N(0.5≦x≦1)で形成された下地層と、下地層上に配置されたGaN層と、を備えている。
なお、上述した発明の概要は、本開示に係る発明の特徴の全てを列挙したものではない。
【発明の効果】
【0008】
本開示によれば、電気特性の高い窒化物半導体積層体の製造方法及び窒化物半導体積層体を提供することができる。
【図面の簡単な説明】
【0009】
本実施形態に係る窒化物半導体積層体の断面を模式的に示す断面図である。
従来の窒化物半導体積層体の縦断面のTEM画像である。
本実施形態に係る窒化物半導体積層体の縦断面のTEM画像である。
本実施形態に係る窒化物半導体積層体の下地層表面に形成されるステップテラス構造を模式的に説明する斜視図である。
本実施形態に係る窒化物半導体積層体の下地層表面に形成されるステップテラス構造を模式的に説明する上面図である。
本実施形態に係る窒化物半導体積層体の下地層表面に形成されるステップテラス構造を模式的に説明する断面図である。
本実施形態に係る窒化物半導体積層体の下地層表面におけるステップテラス構造の一例を示すAFM画像である。
本実施形態に係る窒化物半導体積層体の下地層表面におけるステップテラス構造の他の例を示すAFM画像である。
本実施形態に係る窒化物半導体積層体の表面(GaN層層表面)における構造を示すAFM画像である。
本実施形態の変形例に係る窒化物半導体積層体の断面を模式的に示す断面図である。
本実施形態の変形例に係る窒化物半導体積層体の表面(電子バリア層の表面)におけるステップテラス構造を示すAFM画像である。
従来の窒化物半導体積層体における伝導帯及び価電子帯のエネルギーバンド図である。
本実施形態に係る窒化物半導体積層体における伝導帯及び価電子帯のエネルギーバンド図である。
本実施形態の変形例に係る窒化物半導体積層体の断面を模式的に示す断面図である。
本実施形態の変形例に係る窒化物半導体積層体の断面を模式的に示す断面図である。
本実施形態の変形例に係る窒化物半導体積層体の断面を模式的に示す断面図で
本実施形態に係る窒化物半導体積層体を用いたパワーデバイスの一例である高電子移動度トランジスタ(HEMT)の一構成例を示す断面図である。
【発明を実施するための形態】
【0010】
以下、実施形態を通じて本開示に係る窒化物半導体積層体を説明するが、以下の実施形態は特許請求の範囲に係る発明を限定するものではない。また、実施形態の中で説明されている特徴の組み合わせの全てが発明の解決手段に必須であるとは限らない。
また、以下の説明では、「上」及び「下」は、必ずしも地面に対する鉛直方向を意味しない。つまり、「上」及び「下」の方向は、重力方向に限定されない。「上」及び「下」は、面、膜及び基板等における相対的な位置関係を特定する便宜的な表現に過ぎず、本開示の技術的思想を限定するものではない。例えば、紙面を180度回転すれば「上」が「下」に、「下」が「上」になることは勿論である。
(【0011】以降は省略されています)
この特許をJ-PlatPat(特許庁公式サイト)で参照する
関連特許
旭化成株式会社
成形体
8日前
旭化成株式会社
成形体
8日前
旭化成株式会社
検査装置
9日前
旭化成株式会社
研磨パッド
1か月前
旭化成株式会社
ゴム組成物
1か月前
旭化成株式会社
顆粒及び錠剤
4日前
旭化成株式会社
青果物輸送方法
1か月前
旭化成株式会社
紫外線照射装置
16日前
旭化成株式会社
燃料電池用成形品
1日前
旭化成株式会社
レーザダイオード
1か月前
旭化成株式会社
積層体の製造方法
1か月前
旭化成株式会社
積層体及び光学部材
12日前
旭化成株式会社
ポリアミドの製造方法
1か月前
旭化成株式会社
光照射成形体の製造方法
8日前
旭化成株式会社
酸性植物ミルク含有飲料
2日前
旭化成株式会社
再生ABS系樹脂組成物
1か月前
旭化成株式会社
組成物及びカプセル製剤
1日前
旭化成株式会社
水添共役ジエン系重合体
2日前
旭化成株式会社
粉末ポリアミドの製造方法
2日前
旭化成株式会社
ポリアセタール樹脂組成物
1か月前
旭化成株式会社
樹脂製偏光ビームスプリッタ
1か月前
旭化成株式会社
検査装置および検査システム
22日前
旭化成株式会社
ポリオレフィン系多層フィルム
4日前
旭化成株式会社
生体電極用導電布及びその用途
2日前
旭化成株式会社
硬化性組成物、及びその硬化物
1か月前
旭化成株式会社
ポリエチレン樹脂及びフィルム
8日前
旭化成株式会社
イソシアネート化合物の製造方法
9日前
旭化成株式会社
イソシアネート化合物の製造方法
9日前
旭化成株式会社
ホルムアルデヒドガスの製造方法
1か月前
旭化成株式会社
車両用シートとその振動低減方法
1か月前
旭化成株式会社
水素製造システム及び水素製造方法
12日前
旭化成株式会社
セルロース複合体及びその製造方法
4日前
旭化成株式会社
生体電極体及び生体情報計測デバイス
8日前
旭化成株式会社
偽造防止ラベル及び管理状態判定方法
4日前
旭化成株式会社
解析装置、システムおよびプログラム
15日前
旭化成株式会社
設計支援プログラムおよび設計支援装置
1か月前
続きを見る
他の特許を見る