TOP
|
特許
|
意匠
|
商標
特許ウォッチ
Twitter
他の特許を見る
10個以上の画像は省略されています。
公開番号
2025151725
公報種別
公開特許公報(A)
公開日
2025-10-09
出願番号
2024053285
出願日
2024-03-28
発明の名称
水添共役ジエン系重合体
出願人
旭化成株式会社
代理人
個人
,
個人
,
個人
,
個人
主分類
C08C
19/02 20060101AFI20251002BHJP(有機高分子化合物;その製造または化学的加工;それに基づく組成物)
要約
【課題】本発明は、例えば、ゴム組成物とした場合に、良好な加工性、省燃費性能及び引張特性のバランスを発揮しつつ、優れた耐オゾン性を達成できる水添共役ジエン系重合体を提供することを目的とする。
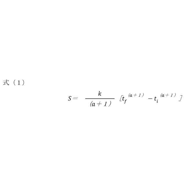
【解決手段】以下の条件(1)~(4)を満たす、水添共役ジエン系重合体;<条件(1)>:分子量分布が1.0以上5.0以下であること、<条件(2)>:重量平均分子量が100,000以上3,000,000以下であること、<条件(3)>:水添率が20%以上99%以下であること、<条件(4)>:以下の式(1)で表されるムーニー応力緩和面積が500MU/s以上であること。
【数1】
<com:Image com:imageContentCategory="Drawing"> <com:ImageFormatCategory>JPEG</com:ImageFormatCategory> <com:FileName>2025151725000017.jpg</com:FileName> <com:HeightMeasure com:measureUnitCode="Mm">29</com:HeightMeasure> <com:WidthMeasure com:measureUnitCode="Mm">170</com:WidthMeasure> </com:Image> 【選択図】なし
特許請求の範囲
【請求項1】
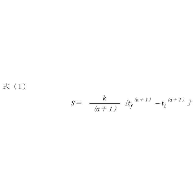
以下の条件(1)~(4)を満たす、水添共役ジエン系重合体。
<条件(1)>
分子量分布が1.0以上5.0以下であること。
<条件(2)>
重量平均分子量が100,000以上3,000,000以下であること。
<条件(3)>
水添率が20%以上99%以下であること。
<条件(4)>
以下の式(1)で表されるムーニー応力緩和面積が、500MU/s以上であること。
JPEG
2025151725000016.jpg
29
170
前記式(1)中のS、k、a、t
i
、t
f
は下記である。
S:ムーニー応力緩和面積(単位MU/s)
k:ムーニー粘度計のロータの作動を止めて1秒後のムーニー粘度
a:ムーニー応力緩和率の絶対値
t
i
:ムーニー応力緩和開始時点の時間(秒)
t
f
:ムーニー応力緩和完了時点の時間(秒)
続きを表示(約 470 文字)
【請求項2】
前記式(1)で表されるムーニー応力緩和面積が、1500MU/s以上4000MU/s以下である、請求項1に記載の水添共役ジエン系重合体。
【請求項3】
水添率が60%以上95%以下である、請求項1に記載の水添共役ジエン系重合体。
【請求項4】
芳香族ビニル単量体単位を1質量%以上含有する、請求項1に記載の水添共役ジエン系重合体。
【請求項5】
ブチレン結合量が10モル%以上65モル%以下である、請求項1に記載の水添共役ジエン系重合体。
【請求項6】
ムーニー応力緩和率が0.1以上3.0以下である、請求項1に記載の水添共役ジエン系重合体。
【請求項7】
窒素含有量が20ppm以上である、請求項1に記載の水添共役ジエン系重合体。
【請求項8】
ケイ素原子含有量が50ppm以上である、請求項1に記載の水添共役ジエン系重合体。
【請求項9】
変性率が20%以上である、請求項1に記載の水添共役ジエン系重合体。
発明の詳細な説明
【技術分野】
【0001】
本発明は、水添共役ジエン系重合体に関する。
続きを表示(約 2,000 文字)
【背景技術】
【0002】
近年、自動車に対する環境負荷低減の要求に伴い、タイヤ用ゴム材料として、加工性と低転がり抵抗性能、引張特性のバランスに優れると共に、耐オゾン性に優れる共役ジエン系重合体が求められている。
【0003】
従来から、加工性と低転がり抵抗性能のバランスを改善するためには、変性した共役ジエン系重合体を用いることが一般的となりつつある。しかしながら、変性共役ジエン系重合体を用いて、引張特性を改善するためには、高分子量化することが求められるが、高分子量化すると溶液粘度及び溶融粘度の上昇、乾燥時の粉体生成による生産性の悪化や、組成物調製時の加工性が悪化しやすい。こういった問題を解決すべく、これまでに重合体の分岐度を制御することで高分子量化と配合物調製時の加工性のバランスを改善してきている。
【0004】
例えば、特許文献1では、分岐度の異なる変性した共役ジエン系重合体を組み合わせることで、加工性と低転がり抵抗性能、引張特性のバランス改善が提案されている。
【先行技術文献】
【特許文献】
【0005】
特表2022-521399号公報
【発明の概要】
【発明が解決しようとする課題】
【0006】
しかしながら、近年の自動車に対する環境負荷低減の要求の高度化に伴い、特許文献1に記載の共役ジエン系重合体は、依然として、加工性と省燃費性能、引張特性のバランスは不十分であり、更に耐オゾン性といったタイヤの耐久性に関する性能の改善も求められているといった課題がある。
【0007】
そこで本発明においては、上述した従来技術の課題に鑑み、例えば、ゴム組成物とした場合に、良好な加工性、省燃費性能及び引張特性のバランスを発揮しつつ、優れた耐オゾン性を達成できる水添共役ジエン系重合体を提供することを目的とする。
【課題を解決するための手段】
【0008】
本発明者は、上述した従来技術の課題を解決するため鋭意検討した結果、特定の条件を満たす水添共役ジエン系重合体が、例えば、ゴム組成物とした場合に、加工性、省燃費性能、引張特性及び耐オゾン性のバランスを大きく改善できることを見出し、本発明を完成するに至った。
【0009】
すなわち、本発明は、以下のとおりである。
【0010】
[1]
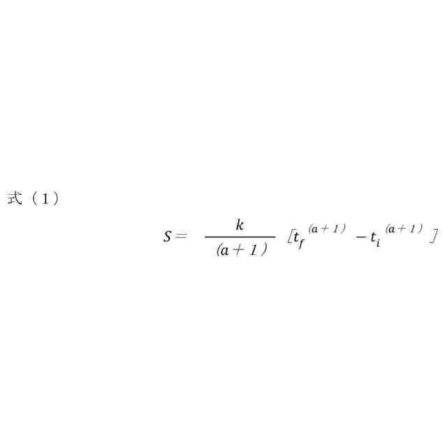
以下の条件(1)~(4)を満たす、水添共役ジエン系重合体。
<条件(1)>
分子量分布が1.0以上5.0以下であること。
<条件(2)>
重量平均分子量が100,000以上3,000,000以下であること。
<条件(3)>
水添率が20%以上99%以下であること。
<条件(4)>
以下の式(1)で表されるムーニー応力緩和面積が、500MU/s以上であること。
JPEG
2025151725000001.jpg
29
170
前記式(1)中のS、k、a、t
i
、t
f
は下記である。
S:ムーニー応力緩和面積(単位MU/s)
k:ムーニー粘度計のロータの作動を止めて1秒後のムーニー粘度
a:ムーニー応力緩和率の絶対値
t
i
:ムーニー応力緩和開始時点の時間(秒)
t
f
:ムーニー応力緩和完了時点の時間(秒)
[2]
前記式(1)で表されるムーニー応力緩和面積が、1500MU/s以上4000MU/s以下である、[1]に記載の水添共役ジエン系重合体。
[3]
水添率が60%以上95%以下である、[1]又は[2]に記載の水添共役ジエン系重合体。
[4]
芳香族ビニル単量体単位を1質量%以上含有する、[1]~[3]のいずれかに記載の水添共役ジエン系重合体。
[5]
ブチレン結合量が10モル%以上65モル%以下である、[1]~[4]のいずれかに記載の水添共役ジエン系重合体。
[6]
ムーニー応力緩和率が0.1以上3.0以下である、[1]~[5]のいずれかに記載の水添共役ジエン系重合体。
[7]
窒素含有量が20ppm以上である、[1]~[6]のいずれかに記載の水添共役ジエン系重合体。
[8]
ケイ素原子含有量が50ppm以上である、[1]~[7]のいずれかに記載の水添共役ジエン系重合体。
[9]
変性率が20%以上である、[1]~[8]のいずれかに記載の水添共役ジエン系重合体。
【発明の効果】
(【0011】以降は省略されています)
この特許をJ-PlatPat(特許庁公式サイト)で参照する
関連特許
旭化成株式会社
成形品
10日前
旭化成株式会社
フィルム
1か月前
旭化成株式会社
フィルム
1か月前
旭化成株式会社
発光素子
1か月前
旭化成株式会社
熱硬化性組成物
10日前
旭化成株式会社
非水系二次電池
2日前
旭化成株式会社
ポリアミド組成物
1か月前
旭化成株式会社
ポリアミド組成物
1か月前
旭化成株式会社
燃料電池用成形品
1か月前
旭化成株式会社
表面保護フィルム
1か月前
旭化成株式会社
電解装置の運転方法
1か月前
旭化成株式会社
分析方法及び分析装置
1か月前
旭化成株式会社
漂白方法及び漂白装置
3日前
旭化成株式会社
分析方法及び分析装置
1か月前
旭化成株式会社
酸性植物ミルク含有飲料
1か月前
旭化成株式会社
水添共役ジエン系重合体
1か月前
旭化成株式会社
組成物及びカプセル製剤
1か月前
旭化成株式会社
ポリカーボネートジオール
25日前
旭化成株式会社
粉末ポリアミドの製造方法
1か月前
旭化成株式会社
プラスチックレンズの製造方法
1か月前
旭化成株式会社
プラスチックレンズの製造方法
1か月前
旭化成株式会社
方針作成装置およびプログラム
10日前
旭化成株式会社
生体電極用導電布及びその用途
1か月前
旭化成株式会社
ポリアミド樹脂組成物及び成形品
23日前
旭化成株式会社
ポリカーボネートポリオール組成物
1か月前
旭化成株式会社
感光性樹脂積層体、及びその製造方法
1か月前
旭化成株式会社
フィルム用収容箱及びフィルム収容体
2日前
旭化成株式会社
フィルム用収容箱及びフィルム収容体
2日前
旭化成株式会社
感光性樹脂積層体、及びその製造方法
1か月前
株式会社日立製作所
鉄道車両用空調装置
24日前
旭化成株式会社
電解システムの制御方法及び電解システム
1か月前
旭化成株式会社
樹脂、マルチマテリアル部品および複合材料
1か月前
旭化成株式会社
炭素数6~8の炭化水素含有留分の製造方法
1か月前
旭化成株式会社
接着剤組成物、セパレータ及び非水系二次電池
1か月前
旭化成株式会社
入力生成装置、要約生成システムおよびプログラム
1か月前
旭化成株式会社
非水電池用セパレータ、およびこれを用いた非水電池
10日前
続きを見る
他の特許を見る