TOP
|
特許
|
意匠
|
商標
特許ウォッチ
Twitter
他の特許を見る
10個以上の画像は省略されています。
公開番号
2025144059
公報種別
公開特許公報(A)
公開日
2025-10-02
出願番号
2024043641
出願日
2024-03-19
発明の名称
イソシアネート化合物の製造方法
出願人
旭化成株式会社
代理人
個人
,
個人
,
個人
,
個人
主分類
C07C
263/04 20060101AFI20250925BHJP(有機化学)
要約
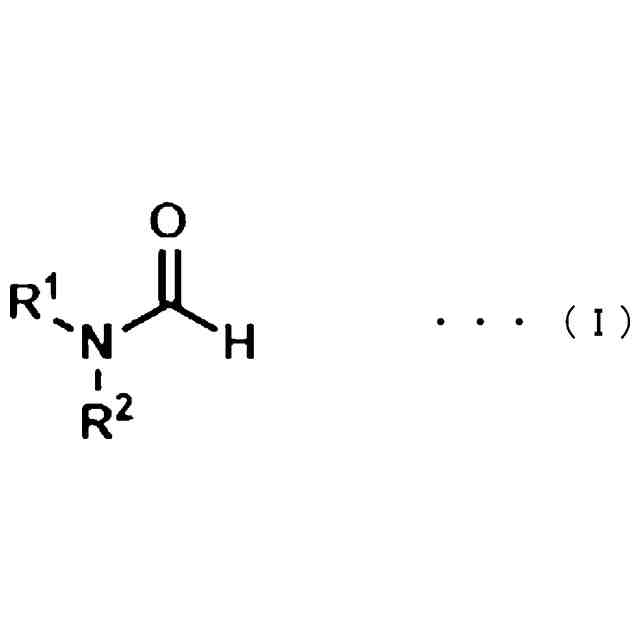
【課題】副生成物の生成量増加を伴うことなく、ブロックイソシアネート化合物の熱分解速度を向上することが可能なイソシアネート化合物の製造方法を提供する。
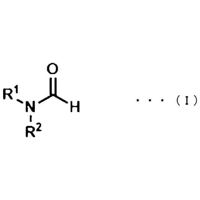
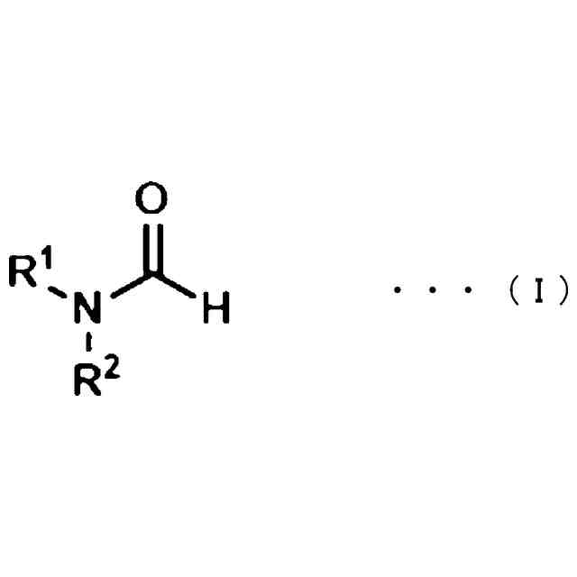
【解決手段】下記一般式(I)で表される構造を有する化合物の存在下で、ブロックイソシアネート化合物を熱処理によって、ブロック剤とイソシアネート化合物とに分解し、イソシアネート化合物を得る反応工程を含む、イソシアネート化合物の製造方法。(一般式(I)中、R
1
及びR
2
はそれぞれ独立に、1価の有機基である。R
1
及びR
2
は互いに独立して、炭素-炭素結合、炭素-酸素-炭素結合又は炭素-窒素-炭素結合により環構造を形成していてもよい。R1及びR2のうち少なくとも1つは芳香族基を有する。)
[化1]
<com:Image com:imageContentCategory="Drawing"> <com:ImageFormatCategory>TIFF</com:ImageFormatCategory> <com:FileName>2025144059000027.tif</com:FileName> <com:HeightMeasure com:measureUnitCode="Mm">30</com:HeightMeasure> <com:WidthMeasure com:measureUnitCode="Mm">170</com:WidthMeasure> </com:Image> 【選択図】なし
特許請求の範囲
【請求項1】
下記一般式(I)で表される構造を有する化合物の存在下で、ブロックイソシアネート化合物を熱処理によって、ブロック剤とイソシアネート化合物とに分解し、イソシアネート化合物を得る反応工程を含む、イソシアネート化合物の製造方法。
TIFF
2025144059000021.tif
30
170
(一般式(I)中、R
1
及びR
2
はそれぞれ独立に、1価の有機基である。R
1
及びR
2
は互いに独立して、炭素-炭素結合、炭素-酸素-炭素結合又は炭素-窒素-炭素結合により環構造を形成していてもよい。R
1
及びR
2
のうち少なくとも1つは芳香族基を有する。)
続きを表示(約 2,200 文字)
【請求項2】
前記一般式(I)のうち、R
1
及びR
2
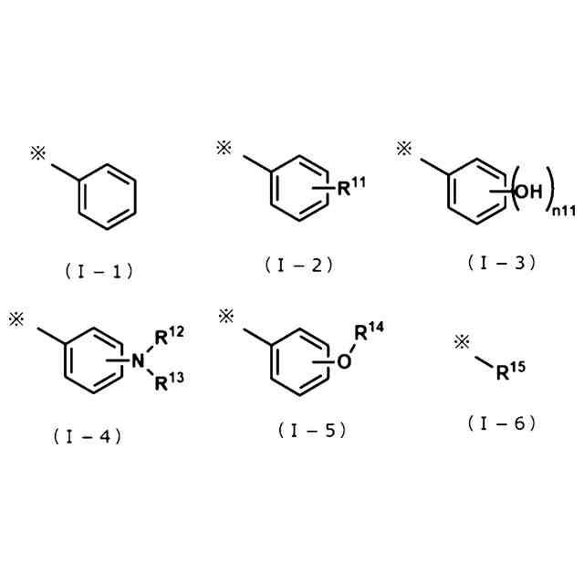
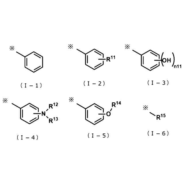
のうち一方が下記一般式(I-1)~(I-5)のいずれかで表される構造を有し、他方が下記一般式(I-1)~(I-6)のいずれかで表される構造を有する、請求項1に記載のイソシアネート化合物の製造方法。
TIFF
2025144059000022.tif
83
170
(式(I-1)~(I-6)中、アスタリスク(※)は窒素原子との結合部分を表す。式(I-2)中、R
11
は炭素数1~6の飽和炭化水素基を表す。式(I-3)中、n11は1~3の整数を表す。式(I-4)中、R
12
及びR
13
はそれぞれ独立に水素原子又は環構造を有していてもよい炭素数1~6の飽和炭化水素基を表す。式(I-5)中、R
14
は炭素数1~6の飽和炭化水素基を表す。式(I-6)中、R
15
は炭素数1~6の飽和炭化水素基を表す。)
【請求項3】
前記ブロック剤が、ヒドロキシ化合物、アミン化合物、およびアンモニアからなる群より選ばれる1種類以上の化合物を含む、請求項1又は2に記載のイソシアネート化合物の製造方法。
【請求項4】
前記イソシアネート化合物が、下記一般式(II)で表されるイソシアネート化合物である、請求項1又は2に記載のイソシアネート化合物の製造方法。
TIFF
2025144059000023.tif
18
170
(一般式(II)中、R
21
は、n21価の有機基である。n21は1以上12以下の整数である。)
【請求項5】
前記ブロック剤が、下記一般式(III)で表される芳香族ヒドロキシ化合物である、請求項1又は2に記載のイソシアネート化合物の製造方法。
TIFF
2025144059000024.tif
30
170
(一般式(III)中、環A
31
は、炭素数6以上20以下の芳香族炭化水素環である。R
31
は水素原子、ハロゲン原子、カルボキシ基、炭素数1以上20以下のアルキル基、炭素数1以上20以下のアルコキシ基、炭素数1以上20以下のアルキルオキシカルボニル基、炭素数1以上20以下のアルキルカルボニルオキシ基、炭素数6以上20以下のアリール基、炭素数6以上20以下のアリールオキシ基、炭素数7以上20以下のアラルキル基、又は炭素数7以上20以下のアラルキルオキシ基である。R
31
は、環A
31
と結合して環構造を形成してもよい。また、n31は1以上10以下の整数である。)
【請求項6】
前記ブロック剤が、下記一般式(IV)で表される脂肪族ヒドロキシ化合物である、請求項1又は2に記載のイソシアネート化合物の製造方法。
TIFF
2025144059000025.tif
10
170
(一般式(IV)中、R
41
は、置換又は無置換の、エーテル基、カルボニル基又はエステル基を有してもよい、炭素数1以上24以下の脂肪族炭化水素基である。)
【請求項7】
前記ブロック剤が、下記一般式(V)で表される第二級アミン化合物である、請求項1又は2に記載のイソシアネート化合物の製造方法。
TIFF
2025144059000026.tif
24
170
(一般式(V)中、R
51
及びR
52
はそれぞれ独立に、1価の有機基である。R
51
及びR
52
は互いに結合して、炭素-炭素結合、炭素-酸素-炭素結合又は炭素-窒素-炭素結合により環構造を形成していてもよい。)
【請求項8】
前記反応工程において、前記一般式(I)で表される構造を有する化合物の存在量が前記ブロックイソシアネート化合物の全量に対して1質量ppm以上である、請求項1又は2に記載のイソシアネート化合物の製造方法。
【請求項9】
前記一般式(I)で表される構造を有する化合物が、N,N-ジフェニルホルムアニリド、N-フェニル-N-トリルホルムアニリド(各異性体)、N-(メトキシフェニル)-N-フェニルホルムアニリド(各異性体)、N-(エトキシフェニル)-N-フェニルホルムアニリド(各異性体)、N-(ブトキシフェニル)-N-フェニルホルムアニリド(各異性体)、N-メチルホルムアニリド、N-エチルホルムアニリド、N-プロピルホルムアニリド、N-ブチルホルムアニリド、N-メチル-N-トリルホルムアミド(各異性体)、N-エチル-N-トリルホルムアミド、N-プロピル-N-トリルホルムアミド、N-ブチル-N-トリルホルムアミド、N-(メトキシフェニル)-N-メチルホルムアミド、又はN-(エトキシフェニル)-N-メチルホルムアミドである、請求項1又は2に記載のイソシアネート化合物の製造方法。
発明の詳細な説明
【技術分野】
【0001】
本発明は、イソシアネート化合物の製造方法に関する。
続きを表示(約 1,600 文字)
【背景技術】
【0002】
イソシアネートは、ポリウレタンフォーム、塗料、接着剤等の製造原料として広く用いられている。イソシアネートの主な工業的製造方法は、アミン化合物とホスゲンとの反応(ホスゲン法)であり、全世界の生産量のほぼ全量がホスゲン法により生産されている。しかしながら、ホスゲン法には、原料のホスゲン及び副生成物の塩化水素に関して、多くの問題がある。
【0003】
このような背景から、ホスゲンを使用しないイソシアネートの製造方法が望まれている。例えば、特許文献1には、特定の触媒の存在下に、1,6-ヘキサメチレンジカルバミン酸エステルを熱分解して、1,6-ヘキサメチレンジイソシアネートを製造する方法が記載されている。また、特許文献2には、アルカリ触媒の存在下、ジアミンとジメチルカーボネートとを反応させてウレタン化合物を合成し、次いでウレタン化合物を触媒存在下で熱分解させて、ジイソシアネート化合物を製造する方法が記載されている。
【0004】
また、イソシアネートは反応性が高く、水等の化合物と容易に反応する。このため安定性を向上させる目的で、ブロックイソシアネートに変換し、使用に際して加熱によりブロック化剤を解離させてイソシアネートを再生させて用いられる場合が有る。ブロックイソシアネートは活性水素化合物との反応性が低く、安定に貯蔵可能で、加えてイソシアネートと比較して毒性も低いことから、一液型塗料、接着剤や成型用コンパウンドとして有用である。
【0005】
また、ブロックイソシアネートは熱分解によってイソシアネートとブロック剤に解離する性質を有する。このため、ブロックイソシアネートを熱分解によりイソシアネートとブロック剤に分解し、得られたイソシアネートとブロック剤を熱分解後、又は熱分解と同時に分離することができる。分離したイソシアネートとブロック剤はイソシアネートを製造する場合の原料としても使用できるため有用である。
【0006】
ブロックイソシアネートの製造方法としては、種々知られている。例えば、イソシアネートとブロック剤を直接反応させてブロックイソシアネートを製造する方法、アミンとホスゲンを反応させて得られるカルバミン酸クロリドとブロック剤を反応させてブロックイソシアネートを製造する方法、カルバミン酸とブロック剤と縮合剤を反応させてブロックイソシアネートを製造する方法、アミンと炭酸誘導体を反応させて炭酸誘導体に由来する化合物を含むブロックイソシアネートを製造する方法、アミンと炭酸誘導体とブロック剤を反応させてブロックイソシアネートを製造する方法が挙げられる。
【0007】
ブロックイソシアネートの熱分解によりイソシアネートを製造する場合、反応促進並びに析出物の抑制の観点から、熱分解温度において安定な高極性の化合物の存在下で行うことが望ましい。高極性の化合物としては例えばジメチルホルムアミドのようなホルムアミドが挙げられるが、ジメチルホルムアミドは高温下で分解するためより安定な化合物が望まれている。
【先行技術文献】
【特許文献】
【0008】
特開平6-239826号公報
特開昭64-85956号公報
【発明の概要】
【発明が解決しようとする課題】
【0009】
本発明は、上記事情に鑑みてなされたものであって、特定の化合物の存在下で、ブロックイソシアネート組成物の熱分解を行うことによって、副生成物の生成量増加を伴うことなく、高収率なイソシアネート化合物の製造方法を提供する。
【課題を解決するための手段】
【0010】
すなわち、本発明は、以下の態様を含む。
(【0011】以降は省略されています)
この特許をJ-PlatPat(特許庁公式サイト)で参照する
関連特許
旭化成株式会社
成形品
1日前
旭化成株式会社
発光素子
24日前
旭化成株式会社
フィルム
1か月前
旭化成株式会社
フィルム
1か月前
旭化成株式会社
熱硬化性組成物
1日前
旭化成株式会社
ポリアミド組成物
23日前
旭化成株式会社
ポリアミド組成物
23日前
旭化成株式会社
電解装置の運転方法
1か月前
旭化成株式会社
ポリカーボネートジオール
16日前
旭化成株式会社
方針作成装置およびプログラム
1日前
旭化成株式会社
プラスチックレンズの製造方法
1か月前
旭化成株式会社
プラスチックレンズの製造方法
1か月前
旭化成株式会社
ポリアミド樹脂組成物及び成形品
14日前
旭化成株式会社
ポリカーボネートポリオール組成物
1か月前
旭化成株式会社
感光性樹脂積層体、及びその製造方法
1か月前
株式会社日立製作所
鉄道車両用空調装置
15日前
旭化成株式会社
炭素数6~8の炭化水素含有留分の製造方法
22日前
旭化成株式会社
非水電池用セパレータ、およびこれを用いた非水電池
1日前
旭化成株式会社
焼結成形体用組成物、グリーン成形体、及び焼結成形体
7日前
旭化成株式会社
樹脂組成物、樹脂フィルム、プリプレグ及び金属張積層板
28日前
旭化成株式会社
箱型成形体
1日前
旭化成株式会社
耐熱性縫製糸、ガラスクロス、及びガラスクロスの製造方法
25日前
旭化成株式会社
ガラスクロス、プリプレグ、プリント配線板、及び表面処理液
23日前
旭化成株式会社
感光性樹脂組成物、硬化レリーフパターンの製造方法及び半導体装置
14日前
旭化成株式会社
環状オレフィンコポリマー樹脂組成物、レンズ、導波路及びプリズム
1か月前
旭化成株式会社
水性コーティング組成物、接着層付き基材、及びハードコート積層体
1か月前
旭化成株式会社
ポリアセタール樹脂の製造方法及びポリアセタール樹脂の安定化方法
1か月前
旭化成株式会社
感光性樹脂組成物、感光性樹脂積層体、及びレジストパターンの形成方法
22日前
旭化成株式会社
セルロース粉末及び成形体
1か月前
旭化成株式会社
電池診断モデルの生成方法、電池診断モデル、電池診断装置、及び電池診断システム
14日前
旭化成株式会社
エタノールの変換方法、及びその他炭化水素の製造方法
1か月前
旭化成株式会社
感光性樹脂組成物、並びにこれを用いた硬化レリーフパターンの製造方法、硬化膜及びポリイミド膜の製造方法
14日前
旭化成株式会社
ネガ型感光性樹脂組成物及びこれを用いた硬化レリーフパターンの製造方法
1か月前
旭化成株式会社
感光性樹脂組成物、並びにこれを用いたポリイミド硬化膜の製造方法及びポリイミド硬化膜
1か月前
クミアイ化学工業株式会社
多形
22日前
東ソー株式会社
タンパク質の発現方法
2か月前
続きを見る
他の特許を見る