TOP
|
特許
|
意匠
|
商標
特許ウォッチ
Twitter
他の特許を見る
公開番号
2025149685
公報種別
公開特許公報(A)
公開日
2025-10-08
出願番号
2024050483
出願日
2024-03-26
発明の名称
α-アミノボロン酸誘導体及びその中間体の製造方法
出願人
UBE株式会社
代理人
個人
,
個人
,
個人
,
個人
,
個人
,
個人
,
個人
,
個人
主分類
C07F
5/02 20060101AFI20251001BHJP(有機化学)
要約
【課題】安定でかつ温和な条件で容易に脱保護が可能な中間体を経由し、より安価で高い生産性で、α-アミノボロン酸誘導体を工業的に製造できる方法を提供する。
【解決手段】一般式(4)で表されるα-アミノスルホン誘導体と、ビス(ピナコラート)ジボロンとを、銅源、ホスフィン配位子、無機塩基及び添加剤の存在下、溶媒中で反応させることにより、一般式(5)で表されるα-アミノボロン酸誘導体を得るホウ素化工程を含む製造方法で、α-アミノボロン酸誘導体を製造する。
<com:Image com:imageContentCategory="Drawing"> <com:ImageFormatCategory>TIFF</com:ImageFormatCategory> <com:FileName>2025149685000077.tif</com:FileName> <com:HeightMeasure com:measureUnitCode="Mm">29</com:HeightMeasure> <com:WidthMeasure com:measureUnitCode="Mm">91</com:WidthMeasure> </com:Image>
(式中の各記号は、明細書に記載の通りである。)
【選択図】なし
特許請求の範囲
【請求項1】
一般式(4)
TIFF
2025149685000067.tif
22
42
(式中、R
1
は炭素数1~18の炭化水素基又は-CH
2
CO
2
R’(式中、R’は炭素数1~18の炭化水素基を表す。)を表し、R
2
は水素原子又はメチル基を表し、R
3
はアミノ基の保護基(R
3a
)又は下記式
TIFF
2025149685000068.tif
24
28
(式中、R
3a
はアミノ基の保護基を表し、R
4
は炭素数1~18の炭化水素基を表す。)で表されるアミノ基の保護基(R
3a
)を有する置換基を表す。)
で表されるα-アミノスルホン誘導体と、ビス(ピナコラート)ジボロンとを、銅源、ホスフィン配位子、無機塩基及び添加剤の存在下、溶媒中で反応させることにより、一般式(5)
TIFF
2025149685000069.tif
29
47
(式中、各記号は上記で定義した通りである。)
で表されるα-アミノボロン酸誘導体を得るホウ素化工程であって、該添加剤の使用量が一般式(4)で表されるα-アミノスルホン誘導体1molに対して0.001mol~0.5molである工程;
を含む、α-アミノボロン酸誘導体の製造方法。
続きを表示(約 1,500 文字)
【請求項2】
ホウ素化工程の前に、一般式(1)
TIFF
2025149685000070.tif
20
34
(式中、各記号は請求項1で定義した通りである。)
で表されるアルデヒドと、一般式(2)
R
3
-NH
2
(2)
(式中、R
3
は請求項1で定義した通りである。)
で表されるアミン、及び一般式(3)
Ph-SO
2
-M (3)
(式中、Mは金属原子を表す。)
で表されるスルホニル基導入剤とを、酸存在下、溶媒中で反応させることにより、一般式(4)
TIFF
2025149685000071.tif
22
42
(式中、各記号は上記で定義した通りである。)
で表されるα-アミノスルホン誘導体を得るα-アミノスルホニル化工程;
をさらに含む、請求項1に記載の製造方法。
【請求項3】
R
3
がtert-ブトキシカルボニル基である、請求項1に記載の製造方法。
【請求項4】
無機塩基が炭酸セシウムである、請求項1に記載の製造方法。
【請求項5】
添加剤が有機塩基である、請求項1~4に記載の製造方法。
【請求項6】
一般式(4a)
JPEG
2025149685000072.jpg
26
45
(式中、R
1
は炭素数1~18の炭化水素基又は-CH
2
CO
2
R’(式中、R’は炭素数1~18の炭化水素基を表す。)を表し、R
2
は水素原子又はメチル基を表し、Bocはtert-ブトキシカルボニル基を表す。)
で表されるα-アミノスルホン誘導体と、ビス(ピナコラート)ジボロンとを、銅源、ホスフィン配位子、無機塩基及び添加剤の存在下、溶媒中で反応させることにより、一般式(5a)
JPEG
2025149685000073.jpg
36
52
(式中、各記号は上記で定義した通りである。)
で表されるα-アミノボロン酸誘導体を得るホウ素化工程;及び
一般式(5a)で表されるα-アミノボロン酸誘導体を、酸存在下、溶媒中で反応させることにより、一般式(6)
TIFF
2025149685000074.tif
24
47
で表されるα-アミノボロン酸誘導体又はその塩を得る工程;
含む、一般式(6)で表されるα-アミノボロン酸誘導体又はその塩の製造方法。
【請求項7】
酸が(+)-10-カンファースルホン酸であり、かつ一般式(6)で表されるα-アミノボロン酸誘導体又はその塩が、一般式(6S)
JPEG
2025149685000075.jpg
36
58
で表されるα-アミノボロン酸誘導体又はその(+)-10-カンファースルホン酸塩である、請求項6に記載の製造方法。
【請求項8】
下記式で表されるα-アミノボロン酸誘導体(6-4S)又は(6-5S)と(+)-10-カンファースルホン酸との塩。
TIFF
2025149685000076.tif
24
120
発明の詳細な説明
【技術分野】
【0001】
本発明は、医薬品の合成中間体として有用なα-アミノボロン酸誘導体及びその中間体の製造方法に関する。
続きを表示(約 1,100 文字)
【背景技術】
【0002】
α-アミノボロン酸誘導体及びその中間体は医薬品の合成中間体として有用である。
従来、α-アミノボロン酸誘導体の製造方法としては、例えば、α-アミノボロン酸骨格を有する原薬ボルテゾミブの製造方法が知られている。具体的には、出発原料であるイソブチルボロン酸を(+)-ピナンジオールで保護してボロン酸エステル体を得、次いで、Matteson反応により不斉炭素を導入した化合物を得、さらに、リチウムヘキサメチルジシラジドを用いたSN2反応により窒素源を導入した化合物を得た後、酸によって脱保護したアミン体と、ピラジン体との縮合反応を経て、最後にピナンジオールを除去(脱保護)することによりボルテゾミブを得る製造方法が知られている(非特許文献1)。
【0003】
JPEG
2025149685000001.jpg
57
153
【0004】
しかしながら、非特許文献1の製造方法は、合成工程が多く製造コストが高いため、より安価で生産性の高い工業的な製造方法が望まれている。
【0005】
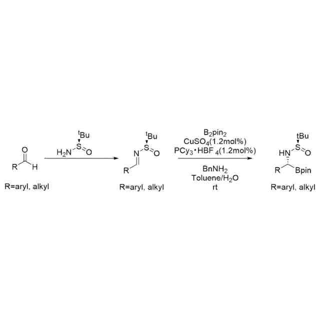
一方、アルデヒドから不斉補助基を有するイミンを経由してキラルなα-アミノボロン酸誘導体を製造する方法が知られている。例えば、出発原料であるアルデヒドとキラルtert-ブチルスルフィンアミドとを反応させて得られる不斉補助基を有するイミンと、ビス(ピナコラート)ジボロンとを、硫酸銅(II)、トリシクロヘキシルホスホニウムテトラフルオロボラート(PCy
3
・HBF
4
)及びベンジルアミンの存在下で反応させることにより、キラルなα-アミノボロン酸誘導体を製造する方法が知られている(非特許文献2)。
【0006】
JPEG
2025149685000002.jpg
31
152
【0007】
しかしながら、非特許文献2の製造方法では、高価なキラルtert-ブチルスルフィンアミドが、出発原料であるアルデヒドに対して当量必要となり、製造コストが高いため、より安価で生産性の高い工業的な製造方法が望まれている。
【0008】
また、アルジミンから不斉配位子を用いてキラルなα-アミノボロン酸誘導体を製造する方法が知られている(非特許文献3)。
【0009】
JPEG
2025149685000003.jpg
63
153
【0010】
さらに、アルジミンから不斉ホスフィン配位子を用いてキラルなα-アミノボロン酸誘導体を製造する方法が知られている(非特許文献4)。
(【0011】以降は省略されています)
この特許をJ-PlatPat(特許庁公式サイト)で参照する
関連特許
UBE株式会社
衝撃吸収材
13日前
UBE株式会社
金属異物の除去方法および装置
2日前
UBE株式会社
ポリアミド樹脂強化用セルロース系繊維
5日前
UBE株式会社
α-アミノボロン酸誘導体及びその中間体の製造方法
4日前
UBE株式会社
水性ポリウレタン樹脂分散体及びそれを含むコーティング用組成物
4日前
UBE株式会社
銀粒子、銀粒子組成物、金属接合用組成物、半導体素子、および銀粒子の製造方法
2日前
UBE株式会社
銀粒子、銀粒子組成物、金属接合用組成物、半導体素子、および銀粒子の製造方法
2日前
東ソー株式会社
タンパク質の発現方法
23日前
株式会社トクヤマ
四塩化炭素の製造方法
3か月前
東ソー株式会社
炭素-窒素結合形成方法
3か月前
株式会社トクヤマ
シロキサン類の回収方法
3か月前
株式会社トクヤマ
ビオチン誘導体の製造方法
2か月前
株式会社半導体エネルギー研究所
有機化合物
2か月前
栗田工業株式会社
ギ酸の回収方法
5日前
東ソー株式会社
イソシアネート化合物の製造方法
1か月前
株式会社コスモス
液状炭化水素の増産方法
2か月前
株式会社トクヤマ
ホルムアミド化合物の製造方法
1か月前
株式会社コスモス
液状炭化水素の増産方法
2か月前
株式会社トクヤマ
ベンザゼピン化合物の製造方法
2か月前
株式会社トクヤマ
チオラクトン誘導体の製造方法
13日前
信越化学工業株式会社
新規化合物
3か月前
artience株式会社
四塩基酸無水物の製造方法
3か月前
日産化学株式会社
ピラゾール化合物及び有害生物防除剤
2か月前
本田技研工業株式会社
CO2変換方法
9日前
三菱ケミカル株式会社
アルコールの製造方法
1か月前
国立大学法人東京農工大学
深共晶溶媒
1か月前
株式会社トクヤマ
サフィナミド若しくはその塩の製造方法
3か月前
大阪瓦斯株式会社
メタン製造システム
9日前
キヤノン株式会社
有機化合物及び有機発光素子
13日前
株式会社トクヤマ
アシル化ベンゼン誘導体の酸塩の製造方法
1か月前
JNC株式会社
有機ケイ素化合物およびこれを用いた重合体
1か月前
東ソー株式会社
免疫グロブリン結合性タンパク質の保存溶液
3か月前
東ソー株式会社
免疫グロブリン結合性タンパク質の製造方法
23日前
JNC株式会社
有機ケイ素化合物およびこれを用いた重合体
2か月前
キヤノン株式会社
有機金属錯体及び有機発光素子
9日前
個人
IL-17産生誘導能を有する化合物及びその用途
10日前
続きを見る
他の特許を見る