TOP
|
特許
|
意匠
|
商標
特許ウォッチ
Twitter
他の特許を見る
公開番号
2025147942
公報種別
公開特許公報(A)
公開日
2025-10-07
出願番号
2024048467
出願日
2024-03-25
発明の名称
電力システム
出願人
株式会社ダイヘン
代理人
個人
,
個人
主分類
H02J
3/46 20060101AFI20250930BHJP(電力の発電,変換,配電)
要約
【課題】誘導指令値を用いた電力制御において、デマンド値を考慮した制御を行うことができる電力システムを提供する。
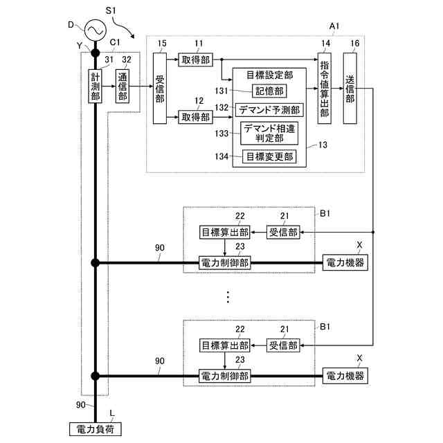
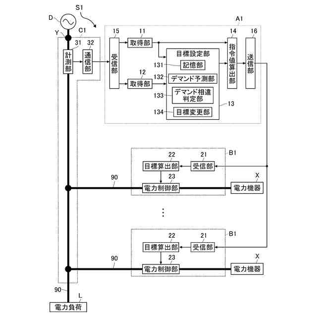
【解決手段】電力システムS1は、システム目標値を設定する目標設定部13および誘導指令値を算出する指令値算出部14を含む処理装置A1と、処理装置A1が算出した共通の誘導指令値に基づいて電力機器Xの出力電力を制御する複数の電力制御装置B1とを備える。目標設定部13は、設定目標値が記憶された記憶部131と予測デマンドを推算するデマンド予測部132と、予測デマンドと目標デマンドとにデマンド差があるデマンド相違予測であるか否かを判定するデマンド相違判定部133とデマンド相違予測である場合にシステム目標値をデマンド差が小さくなる方向に変更する目標変更部134とを含む。指令値算出部14は、デマンド相違予測時において、目標変更部134によって変更された変更目標値を用いて誘導指令値を算出する。
【選択図】図2
特許請求の範囲
【請求項1】
電力系統との接続点における接続点電力の値をシステム目標値に制御する電力システムであって、
前記システム目標値を設定する目標設定部、および、前記接続点電力の値を前記システム目標値にするための誘導指令値を算出する指令値算出部を含む処理装置と、
各々に電力機器が接続され、前記処理装置が算出した共通の前記誘導指令値に基づいて前記対応する電力機器の出力電力を制御する複数の電力制御装置と、
を備え、
前記目標設定部は、
システム目標値である設定目標値が予め記憶された記憶部と、
現在のデマンド時限の終了時における電力デマンドの予測値である予測デマンドを推算するデマンド予測部と、
前記予測デマンドと目標デマンドとにデマンド差があるデマンド相違予測であるか否かを判定するデマンド相違判定部と、
前記デマンド相違予測である場合、前記システム目標値を、前記デマンド差が小さくなる方向に変更する目標変更部と、を含み、
前記指令値算出部は、前記デマンド相違予測時において、前記目標変更部によって変更されたシステム目標値である変更目標値を用いて、前記誘導指令値を算出する、電力システム。
続きを表示(約 710 文字)
【請求項2】
前記デマンド予測部は、前記予測デマンドを、現在のデマンド時限において前記電力系統から既に受電した電力量と、現時点での前記接続点電力の値と、を用いて推算する、請求項1に記載の電力システム。
【請求項3】
前記目標変更部は、前記システム目標値を、前記設定目標値から前記変更目標値に変更する際、現在のデマンド時限における残り時間を考慮する、請求項1または請求項2に記載の電力システム。
【請求項4】
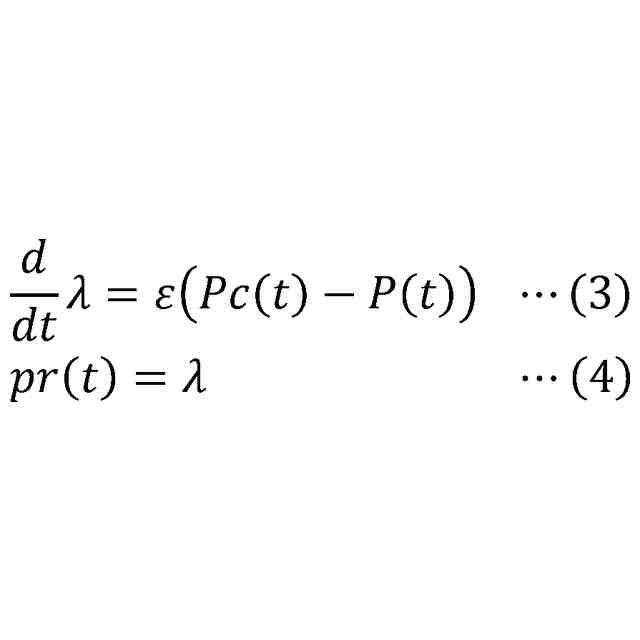
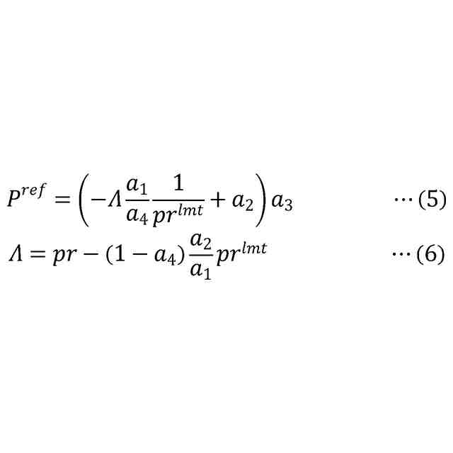
前記目標変更部は、下記(1)式の演算により、前記変更目標値を算出する、請求項3に記載の電力システム。
変更目標値=設定目標値-(予測デマンド-目標デマンド)×デマンド時限の設定時間×係数/残り時間・・・(1)
【請求項5】
前記デマンド相違判定部は、前記予測デマンドが前記目標デマンドを超過するデマンド超過によって前記デマンド差が生じている場合に、前記デマンド相違予測として、デマンド超過予測であると判定し、
前記目標変更部は、前記デマンド超過予測である場合に、前記デマンド超過が解消する方向に前記システム目標値を変更する、請求項1に記載の電力システム。
【請求項6】
前記デマンド相違判定部は、前記予測デマンドが前記目標デマンドを下回るデマンド余剰によって前記デマンド差が生じている場合に、前記デマンド相違予測として、デマンド余剰予測であると判定し、
前記目標変更部は、前記デマンド余剰予測である場合に、前記デマンド余剰が解消する方向に前記システム目標値を変更する、請求項1または請求項5に記載の電力システム。
発明の詳細な説明
【技術分野】
【0001】
本開示は、電力系統との接続点における接続点電力の値をシステム目標値に制御する電力システムに関する。
続きを表示(約 2,000 文字)
【背景技術】
【0002】
電力系統に接続された複数の電力機器を管理して、電力系統からの送受電を制御する電力システムが普及しつつある。例えば、特許文献1,2には、従来の電力システムが開示されている。特許文献1に記載の電力システムでは、処理装置は、電力系統との接続点における電力(接続点電力)を目標電力に制御するための誘導指令値を算出する。各電力制御装置は、処理装置が算出した誘導指令値を用いて、分散的に出力電力を制御している。このとき、各電力制御装置は、誘導指令値を用いた最適化問題に基づいて、出力電力の目標値を算出する。そして、出力電力が当該目標値となるように、出力電力を制御する。このようにして、電力システムのエネルギー管理を行っている。
【先行技術文献】
【特許文献】
【0003】
特開2020-150690号公報
特開2018-170901号公報
【発明の概要】
【発明が解決しようとする課題】
【0004】
電力システムの管理者は、電力系統から電力を受電した際、電力会社に電気料金を支払う必要がある。この電気料金には基本料金と従量制料金とが含まれている。基本料金は、上記接続点に設けられた電力メーターによって、例えば30分ごとの電力使用量(デマンド値)が記録され、その最大値(ピーク値)で決まる。具体的には、電力使用量のピークが高い場合に基本料金は高くなり、電力使用量のピーク値が低い場合に基本料金は安くなる。
【0005】
電力使用量のピーク値が一度でも高くなると、1年間の基本料金は、高く設定されてしまう。このため、電力料金を必要最低限にとどめたい場合には、電力使用量(デマンド値)のピーク値を低い値に抑え続ける必要がある。一方で、電力料金の基本料金は、電力使用量のピーク値によって決まるため、デマンド値が当該ピーク値に満たないデマンド時限においては、ピーク値を超えない範囲で、電力系統から受電しても、電力料金の基本料金が高くならない。特許文献1,2に記載の電力システムは、上記目標電力に対して瞬時的な電力制御を行うものであるが、デマンド値を考慮した電力制御を行うものではない。そのため、デマンド時限の途中での電力機器の変化に対応しきれず、ピーク値を超過してしまう場合、あるいは、ピーク値まで電力を有効に活用できない場合がある。
【0006】
本開示は、上記事情に鑑みて考え出されたものであり、その目的は、誘導指令値を用いた電力制御において、デマンド値を考慮した制御を行うことが可能な電力システムを提供することにある。
【課題を解決するための手段】
【0007】
本開示によって提供される電力システムは、電力系統との接続点における接続点電力の値をシステム目標値に制御する電力システムであって、前記システム目標値を設定する目標設定部、および、前記接続点電力の値を前記システム目標値にするための誘導指令値を算出する指令値算出部を含む処理装置と、各々に電力機器が接続され、前記処理装置が算出した共通の前記誘導指令値に基づいて前記対応する電力機器の出力電力を制御する複数の電力制御装置と、を備え、前記目標設定部は、システム目標値である設定目標値が予め記憶された記憶部と、現在のデマンド時限の終了時における電力デマンドの予測値である予測デマンドを推算するデマンド予測部と、前記予測デマンドと目標デマンドとにデマンド差があるデマンド相違予測であるか否かを判定するデマンド相違判定部と、前記デマンド相違予測である場合、前記システム目標値を、前記デマンド差が小さくなる方向に変更する目標変更部と、を含み、前記指令値算出部は、前記デマンド相違予測時において、前記目標変更部によって変更されたシステム目標値である変更目標値を用いて、前記誘導指令値を算出する。
【0008】
前記電力システムの好ましい実施の形態において、前記デマンド予測部は、前記予測デマンドを、現在のデマンド時限において前記電力系統から既に受電した電力量と、現時点での前記接続点電力の値と、を用いて推算する。
【0009】
前記電力システムの好ましい実施の形態において、前記目標変更部は、前記システム目標値を、前記設定目標値から前記変更目標値に変更する際、現在のデマンド時限における残り時間を考慮する。
【0010】
前記電力システムの好ましい実施の形態において、前記目標変更部は、下記(1)式の演算により、前記変更目標値を算出する。
変更目標値=設定目標値-(予測デマンド-目標デマンド)×デマンド時限の設定時間×係数/残り時間・・・(1)
(【0011】以降は省略されています)
この特許をJ-PlatPat(特許庁公式サイト)で参照する
関連特許
株式会社ダイヘン
溶接トーチ
18日前
株式会社ダイヘン
電極交換装置
18日前
株式会社ダイヘン
研削システム
18日前
株式会社ダイヘン
レーザ接合装置
18日前
株式会社ダイヘン
積層造形システム
23日前
株式会社ダイヘン
熱加工用電源装置
1か月前
株式会社ダイヘン
熱加工用電源装置
24日前
株式会社ダイヘン
積層造形システム
23日前
株式会社ダイヘン
積層造形システム
23日前
株式会社ダイヘン
溶接ワイヤ送給装置
18日前
株式会社ダイヘン
溶接ワイヤ送給機構
18日前
株式会社ダイヘン
溶接ワイヤ送給機構
18日前
株式会社ダイヘン
パルスアーク溶接制御方法
2日前
株式会社ダイヘン
パルスアーク溶接制御方法
10日前
株式会社ダイヘン
パルスアーク溶接制御方法
10日前
株式会社ダイヘン
充電装置、および、電力システム
1か月前
株式会社ダイヘン
溶接ワイヤ送給機構およびインレットガイド
18日前
株式会社ダイヘン
ティーチングチップおよびこれを装着した溶接ロボット
23日前
株式会社ダイヘン
タップ切換台
23日前
株式会社ダイヘン
搬送ロボットの教示システム、および搬送ロボットの教示方法
26日前
個人
単極モータ
1か月前
個人
電気を重力で発電装置
16日前
個人
高圧電気機器の開閉器
3日前
キヤノン電子株式会社
モータ
23日前
キヤノン電子株式会社
モータ
15日前
株式会社アイシン
ロータ
1か月前
株式会社アイシン
ロータ
1か月前
コーセル株式会社
電源装置
24日前
日星電気株式会社
ケーブル組立体
1か月前
株式会社アイドゥス企画
減反モータ
3日前
トヨタ自動車株式会社
モータ
15日前
株式会社デンソー
回転機
1か月前
個人
二次電池繰返パルス放電器用印刷基板
29日前
株式会社kaisei
発電システム
1か月前
株式会社ミツバ
回転電機
1か月前
株式会社デンソー
電力変換装置
1か月前
続きを見る
他の特許を見る