TOP
|
特許
|
意匠
|
商標
特許ウォッチ
Twitter
他の特許を見る
10個以上の画像は省略されています。
公開番号
2025144602
公報種別
公開特許公報(A)
公開日
2025-10-03
出願番号
2024044328
出願日
2024-03-21
発明の名称
積層体及びその製造方法
出願人
三菱ケミカル株式会社
代理人
個人
,
個人
,
個人
主分類
B32B
27/36 20060101AFI20250926BHJP(積層体)
要約
【課題】表面硬度、耐擦傷性に加え、基材とハードコート層との密着性、及び耐候性に優
れた積層体を得ることを目的とする。
【解決手段】所定の構造を有するジヒドロキシ化合物に由来する構造単位を有するポリカ
ーボネート樹脂を含有する層(A層)、及び所定の構造を有するモノ又はポリペンタエリ
スリトールポリ(メタ)アクリレートとイソシアヌル環を有する3官能以上の(メタ)ア
クリレート化合物、有機官能基で被覆処理された無機微粒子とを含有する活性エネルギー
線硬化性樹脂組成物を硬化してなる層(B層)を有する積層体を用いる。
【選択図】なし
特許請求の範囲
【請求項1】
ポリカーボネート樹脂を含有するA層と、活性エネルギー線硬化性樹脂組成物の硬化物
からなるB層を有し、少なくとも一方の最表層が前記B層である積層体であって、
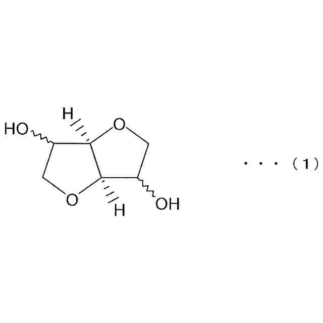
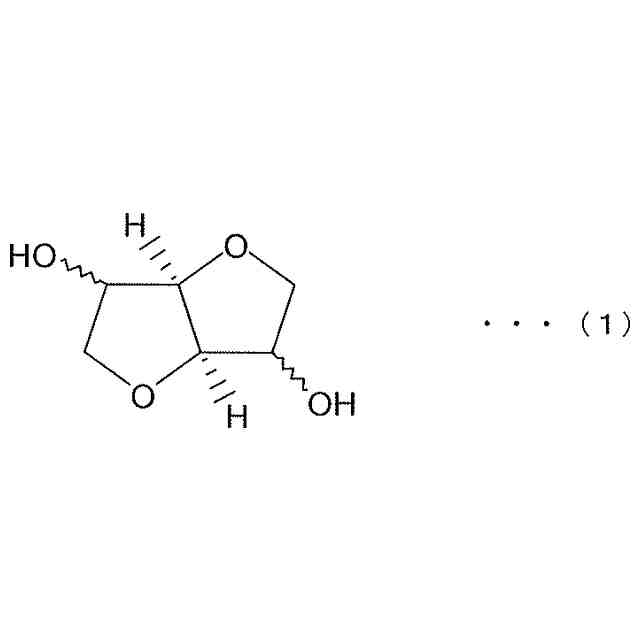
前記ポリカーボネート樹脂は、下記一般式(1)で表される構造を有するジヒドロキシ
化合物に由来する構造単位(a1)を有し、
前記活性エネルギー線硬化性樹脂組成物は、下記一般式(2)で表される化合物(b1
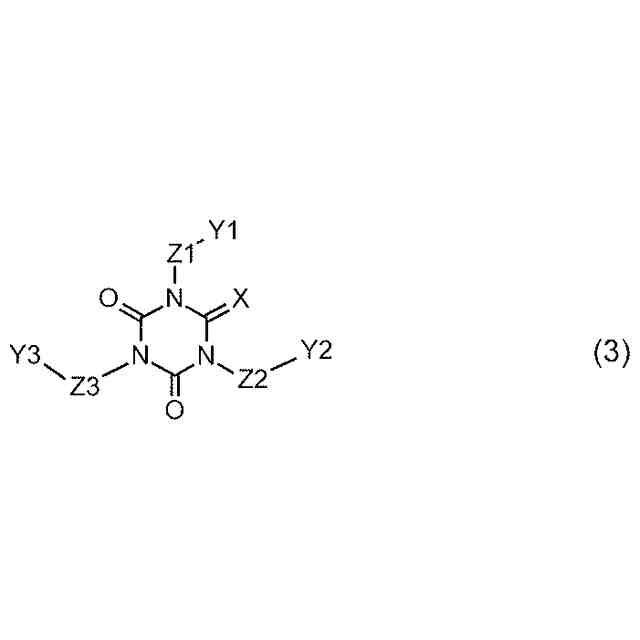
)と下記一般式(3)で示される3官能以上の(メタ)アクリレート化合物(b2)、表
面を有機官能基で被覆処理された無機微粒子(b3)とを含む積層体。
TIFF
2025144602000011.tif
39
100
TIFF
2025144602000012.tif
50
152
[式(2)中、「4+2n」個のXは、それぞれ独立に、(メタ)アクリロイルオキシ基
(すなわちCH
2
=CR-COO-で表される基であり、Rは水素原子又はメチル基を示
す。)、カプロラクトンにより変性された(メタ)アクリロイルオキシ基(すなわちCH
2
=CR-CO(O(CH
2
)
5
C=O)
y
-O-で表される基であり、Rは水素原子又
はメチル基を示し、yは1~5の整数を示す。)、及びヒドロキシ基から選ばれる基であ
る。また、nは0~4の整数である。]
TIFF
2025144602000013.tif
38
94
[式(3)中、Y1、Y2及びY3は、それぞれ独立に少なくとも2つ以上の(メタ)ア
クリロイル基を有し、Z1、Z2及びZ3は炭素数1~4のオキシアルキレン基または炭
素数2~10のアルキレン基を示す。]
続きを表示(約 1,100 文字)
【請求項2】
前記活性エネルギー線硬化性樹脂組成物が(メタ)アクリロイル基、エポキシ基および
ビニル基からなる群から選ばれる少なくとも1種の官能基を有し、重量平均分子量が20
0~3,000であるシロキサンオリゴマー(b4)を含有する、請求項1に記載の積層
体。
【請求項3】
前記(メタ)アクリレート化合物(b2)が、ヌレート骨格を有するウレタン(メタ)
アクリレート化合物である、請求項1又は請求項2に記載の積層体。
【請求項4】
前記式(2)中のXの少なくとも1つが、カプロラクトンにより変性された(メタ)ア
クリロイルオキシ基である、請求項1又は請求項2に記載の積層体。
【請求項5】
前記無機微粒子(b3)が、(メタ)アクリロイル基、エポキシ基及およびビニル基か
らなる群から選ばれる少なくとも1種の官能基で被覆処理された無機微粒子である、請求
項1又は請求項2に記載の積層体。
【請求項6】
前記活性エネルギー線硬化性樹脂組成物において、活性エネルギー線硬化性樹脂組成物
全固形分に対して、前記一般式(2)で表される(b1)が10~90質量%、前記一般
式(3)で示される3官能以上の(メタ)アクリレート化合物(b2)が10~90質量
%、表面を有機官能基で被覆処理された無機微粒子(b3)が5~50質量%、(メタ)
アクリロイル基、エポキシ基およびビニル基からなる群から選ばれる少なくとも1種の官
能基を有し、重量平均分子量が200~3,000であるシロキサンオリゴマー(b4)
が1~10質量%含有する請求項1又は請求項2に記載の積層体。
【請求項7】
前記活性エネルギー線硬化性樹脂組成物が紫外線吸収剤(c1)及びヒンダードアミン
系光安定剤(c2)の少なくとも一方を含有する、請求項1又は請求項2に記載の積層体
。
【請求項8】
前記A層の少なくとも一方の面に活性エネルギー線硬化性樹脂組成物を塗布した後、活
性エネルギー線を照射してB層を形成する工程を有する請求項1又は請求項2に記載の積
層体の製造方法。
【請求項9】
前記積層体が、樹脂ガラス、樹脂グリル、ヘッドライトカバー、テールランプカバーを
含む自動車部品、あるいはメガネフレーム、サングラスを含むメガネ部品からなる群のい
ずれかから少なくとも一つ以上の用途として用いられる、請求項1に記載の積層体。
発明の詳細な説明
【技術分野】
【0001】
本発明は、ポリカーボネート樹脂からなるフィルム、シート、成形品等の基材の上に、
活性エネルギー線硬化性樹脂組成物を硬化して得られる層を有してなる積層体、及びその
製造方法に関する。
続きを表示(約 1,500 文字)
【背景技術】
【0002】
ポリカーボネート樹脂は、透明性、耐熱性、機械的強度に優れるため、自動車用部品、
医療用部品、フィルム、シート、ボトル等の容器、建材、携帯電話等の各種ハウジング材
、光デイスク基板、プラスチックレンズの分野で広く用いられている。
しかしながら、ポリカーボネート樹脂の場合、ガラスに比べて表面硬度が低いために傷
つきやすく、樹脂が持つ本来の透明性あるいは外観が著しく損なわれるという欠点があり
、耐傷付き性を必要とする分野でのプラスチック基材の使用を困難なものとしている。こ
のため、これらポリカーボネート樹脂表面の耐摩耗性を解決するために、イソソルビドを
使用し、炭酸ジフェニルとのエステル交換反応により、表面硬度の高いポリカーボネート
樹脂を得ることが提案されている(特許文献1)。またイソソルビドと脂環式ジヒドロキ
シ化合物を共重合することによってポリカーボネート樹脂を得る方法が提案されている(
特許文献2)。
しかし、これらのポリカーボネート樹脂は光学特性、加工性、機械物性、耐光性に優れ
る特徴を有するものの、耐擦傷性に関しては満足のゆくものではなかった。これらのポリ
カーボネート樹脂への耐擦傷性向上としてハードコート層を積層した積層体が提案されて
いる(特許文献3~4)。
【先行技術文献】
【特許文献】
【0003】
特許第6349866号公報
【0004】
特開2008-24919号公報
【0005】
特開2009-102537号公報
【0006】
特開2016-68438号公報
【発明の概要】
【発明が解決しようとする課題】
【0007】
しかしながら、特許文献3~4に記載の積層体は、ハードコート層を積層することによ
り表面硬度、耐擦傷性は向上するものの、耐候性試験後の密着性は十分でなかった。
本発明は、表面硬度、耐擦傷性に加え、基材とハードコート層との密着性、及び耐候性
に優れた積層体、及びその製造方法を提供することを目的とする。
【課題を解決するための手段】
【0008】
本発明者らは、前記課題を解決すべく鋭意検討を行った結果、本発明の構成の積層体が
前記課題を解決できることを見出した。すなわち、本発明は以下に示すとおりである。
[1]ポリカーボネート樹脂を含有するA層と、活性エネルギー線硬化性樹脂組成物の硬
化物からなるB層を有し、少なくとも一方の最表層が前記B層である積層体であって、
前記ポリカーボネート樹脂は、下記一般式(1)で表される構造を有するジヒドロキシ
化合物に由来する構造単位(a1)を有し、
前記活性エネルギー線硬化性樹脂組成物は、下記一般式(2)で表される(b1)と下
記一般式(3)で示される3官能以上の(メタ)アクリレート化合物(b2)、表面を有
機官能基で被覆処理された無機微粒子(b3)とを含む積層体。
【0009】
TIFF
2025144602000001.tif
39
97
【0010】
TIFF
2025144602000002.tif
51
150
(【0011】以降は省略されています)
この特許をJ-PlatPat(特許庁公式サイト)で参照する
関連特許
三菱ケミカル株式会社
樹脂ペレット群
14日前
三菱ケミカル株式会社
成形品の製造方法
18日前
三菱ケミカル株式会社
精製ガスの製造方法
18日前
三菱ケミカル株式会社
加工食品用粉体静菌剤
14日前
三菱ケミカル株式会社
コロイド結晶層を含む積層体
14日前
三菱ケミカル株式会社
構造発色用水系分散液組成物
14日前
三菱ケミカル株式会社
熱可塑性樹脂組成物及び成形品
14日前
三菱ケミカル株式会社
重合体および重合体の製造方法
4日前
三菱ケミカル株式会社
ポリアミド系樹脂フィルム、包装体
14日前
三菱ケミカル株式会社
有機電界発光素子、表示装置、照明装置
18日前
三菱ケミカル株式会社
樹脂組成物、ペレット、および、成形品
18日前
三菱ケミカル株式会社
共振シート部材、およびこれを備えた構造体
14日前
三菱ケミカル株式会社
建材用金属酸化物層被覆体、及びその製造方法
18日前
三菱ケミカル株式会社
離型フィルム、離型フィルムロール及び粘着体
18日前
三菱ケミカル株式会社
離型フィルム、離型フィルムロール及び粘着体
18日前
三菱ケミカル株式会社
重合体、樹脂用添加剤、樹脂組成物およびその成形体
14日前
三菱ケミカル株式会社
フィルム、深絞り包装用フィルム、及びリサイクルフィルム
18日前
三菱ケミカル株式会社
共重合体、共重合体の製造方法、及び低分子量化合物含浸粒子
11日前
三菱ケミカル株式会社
電子写真感光体、電子写真感光体カートリッジ及び画像形成装置
18日前
三菱ケミカル株式会社
熱可塑性樹脂成形体の製造方法、および、熱可塑性樹脂フィルム
18日前
三菱ケミカル株式会社
ポリエチレンナフタレート樹脂組成物及びポリエステルフィルム
14日前
三菱ケミカル株式会社
電子写真感光体、電子写真感光体カートリッジ及び画像形成装置
18日前
三菱ケミカル株式会社
有機電界発光素子、並びに、これを備える表示装置及び照明装置
18日前
三菱ケミカル株式会社
プレススルーパッケージ蓋材フィルム及びプレススルーパッケージ
14日前
三菱ケミカル株式会社
感光性樹脂組成物、硬化物、隔壁、有機電界発光素子及び画像表示装置
18日前
三菱ケミカル株式会社
感光性樹脂組成物、硬化物、隔壁、有機電界発光素子及び画像表示装置
18日前
三菱ケミカル株式会社
コーティング組成物、コーティング層を有する構造体、及びその製造方法
1日前
三菱ケミカル株式会社
樹脂、感光性樹脂組成物、硬化物、隔壁、有機電界発光素子及び画像表示装置
18日前
三菱ケミカル株式会社
不飽和カルボン酸合成用触媒の製造方法、および、不飽和カルボン酸合成用触媒
18日前
三菱ケミカル株式会社
不飽和カルボン酸合成用触媒の製造方法、および、不飽和カルボン酸合成用触媒
18日前
三菱ケミカル株式会社
不飽和カルボン酸合成用触媒の製造方法、および、不飽和カルボン酸合成用触媒
18日前
三菱ケミカル株式会社
有機電界発光素子用の組成物、有機電界発光素子とその製造方法、及び表示装置
18日前
三菱ケミカル株式会社
軽質炭化水素の部分酸化触媒、合成ガスの製造方法、及び部分酸化触媒の製造方法
12日前
三菱ケミカル株式会社
樹脂組成物(W)の製造方法、成形品の製造方法、樹脂組成物(W)、および、成形品
18日前
三菱ケミカル株式会社
ポリカーボネート樹脂の解重合方法、反応槽処理方法、反応槽後処理方法、および、ポリカーボネート樹脂の製造方法
18日前
三菱ケミカル株式会社
粘着シート、離型フィルム付き粘着シート、画像表示装置用積層体、画像表示装置、及び画像表示装置構成部材用粘着シート
18日前
続きを見る
他の特許を見る