TOP
|
特許
|
意匠
|
商標
特許ウォッチ
Twitter
他の特許を見る
10個以上の画像は省略されています。
公開番号
2025139838
公報種別
公開特許公報(A)
公開日
2025-09-29
出願番号
2024038890
出願日
2024-03-13
発明の名称
情報処理装置
出願人
パイオニア株式会社
代理人
個人
,
個人
,
個人
主分類
G08G
1/16 20060101AFI20250919BHJP(信号)
要約
【課題】運転手に安全運転を促す。
【解決手段】カーブに進入するときの移動体の速度が当該移動体の走行履歴に基づいた第1の速度閾値よりも速い場合に、当該カーブに関する注意を喚起するための注意情報を出力する。
【選択図】図5
特許請求の範囲
【請求項1】
カーブに進入するときの移動体の速度が当該移動体の走行履歴に基づいた第1の速度閾値よりも速い場合に、当該カーブに関する注意を喚起するための注意情報を出力する注意情報出力処理部を有する、情報処理装置。
続きを表示(約 1,300 文字)
【請求項2】
カーブごとに、前記移動体の走行履歴に基づいて、前記第1の速度閾値を決定する第1の速度閾値決定部をさらに有する、請求項1に記載の情報処理装置。
【請求項3】
前記第1の速度閾値決定部は、
前記移動体の走行履歴に基づいて、カーブの曲率半径と、カーブへの進入速度と、の間の関係式である第1の曲率半径速度関係式を算出する第1の関係式算出部と、
カーブの各々に対し、前記第1の速度閾値を、当該カーブの曲率半径と前記第1の曲率半径速度関係式を含む第1の情報に基づいて決定する決定部と、を有する、請求項2に記載の情報処理装置。
【請求項4】
前記移動体の走行履歴は、カーブへの進入速度のデータを含み、
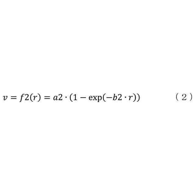
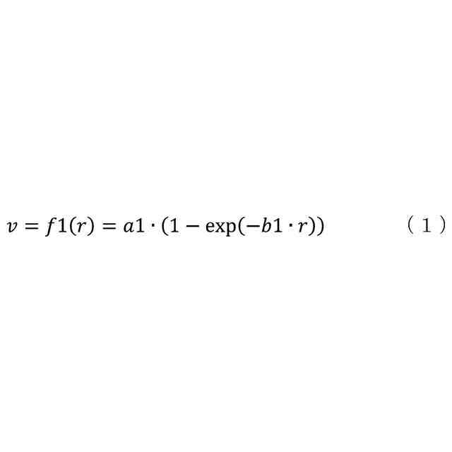
前記第1の関係式算出部は、前記カーブへの進入速度とカーブの曲率半径のデータを指数関数によりフィッティングすることで、前記第1の曲率半径速度関係式を算出する、請求項3に記載の情報処理装置。
【請求項5】
カーブごとに、前記第1の曲率半径速度関係式に基づいて、第2の速度閾値を算出する第2の速度閾値算出部をさらに有し、
前記第1の曲率半径速度関係式の算出に用いられる前記カーブへの進入速度のデータは、カーブの各々において、当該カーブへの進入速度が当該カーブに対する第2の速度閾値より小さいデータは含まない、請求項4に記載の情報処理装置。
【請求項6】
前記カーブの進入速度のデータのうちの、前記第1の曲率半径速度関係式の曲線より上側のデータに基づいて、カーブの曲率半径と、カーブへの進入速度と、の間の関係式である第2の曲率半径速度関係式を算出する第2の関係式算出部をさらに有し、
前記前記決定部は、カーブの各々に対し、前記第1の速度閾値を、当該カーブの曲率半径と前記第2の曲率半径速度関係式に基づいて決定する、請求項3に記載の情報処理装置。
【請求項7】
前記カーブの進入速度のデータのうちの上限付近のデータを用いて、カーブの曲率半径と、カーブへの進入速度と、の間の関係式である第3の曲率半径速度関係式を算出する第3の関係式算出部をさらに有し、
前記前記決定部は、カーブの各々に対し、前記第1の速度閾値を、当該カーブの曲率半径と前記第3の曲率半径速度関係式に基づいて決定する、請求項3に記載の情報処理装置。
【請求項8】
前記第1の関係式算出部は、第2の情報ごとに、前記第1の曲率半径速度関係式を算出し、
前記第2の情報は、カーブの向き、カーブの制限速度、運転手、時間、および天候のうちの少なくとも1つに関する情報を含み、
前記第1の情報は、前記第2の情報を含む、請求項3に記載の情報処理装置。
【請求項9】
カーブの曲率半径の値を形状点に基づいて算出する曲率半径算出部をさらに有する、請求項1から8のいずれか一項に記載の情報処理装置。
【請求項10】
形状点に基づいて、カーブを検出するカーブ検出部をさらに有する、請求項9に記載の情報処理装置。
(【請求項11】以降は省略されています)
発明の詳細な説明
【技術分野】
【0001】
本発明は、情報処理装置に関する。
続きを表示(約 1,500 文字)
【背景技術】
【0002】
注意喚起を行うことで、運転手に安全運転を促す技術が開発されている(例えば、特許文献1)。自動二輪車の運転では、カーブにおいて車体が傾けられるため、カーブにおいて転倒の危険がある。このため、自動二輪車でカーブを走行する際には、注意を要する。そこで、安全運転を運転手に促すために、すべてのカーブにおいて、運転手に注意喚起を行う方法も考えられる。
【先行技術文献】
【特許文献】
【0003】
特開2020-47165号公報
【発明の概要】
【発明が解決しようとする課題】
【0004】
しかしながら、カーブにおいて毎回注意喚起した場合、運転手が煩わしいと感じる可能性がある。
【0005】
本発明が解決しようとする課題としては、運転手に安全運転を促すことが一例として挙げられる。
【課題を解決するための手段】
【0006】
上記課題を解決するために、請求項1に記載の発明は、カーブに進入するときの移動体の速度が当該移動体の走行履歴に基づいた第1の速度閾値よりも速い場合に、当該カーブに関する注意を喚起するための注意情報を出力する注意情報出力処理部を有する。
【0007】
請求項11に記載の発明は、コンピュータにより実行される情報処理方法であって、カーブに進入するときの移動体の速度が当該移動体の走行履歴に基づいた第1の速度閾値よりも速い場合に、当該カーブに関する注意を喚起するための注意情報を出力する出力処理工程を有する。
【0008】
請求項12に記載の発明は、請求項11に記載の情報処理方法を、コンピュータに実行させる情報処理プログラムである。
【0009】
請求項13に記載の発明は、請求項12に記載の情報処理プログラムを記憶しているコンピュータ読み取り可能な記憶媒体である。
【図面の簡単な説明】
【0010】
本発明の一実施例に係る情報処理装置100を示す図である。
車載器200の一例を示す図である。
サーバ装置300の一例を示す図である。
出発地点、目的地点に関する情報が入力された際に情報処理装置100において実行される処理動作の一例を示す図である。
移動体Mの走行開始後に情報処理装置100において実行される処理動作の一例を示す図である。
カーブへの進入速度とカーブの曲率半径のデータの一例を説明する図である。
第1の速度閾値決定部150の一例を示す図である。
第2の曲率半径速度関係式を説明する図である。
第3の曲率半径速度関係式を説明する図である。
第4の曲率半径速度関係式を説明する図である。
移動体Mのカーブへの進入速度のデータが取得された際に情報処理装置100において実行される処理動作の一例を示す図である。
カーブ情報取得処理部160の一例を示す図である。
形状点における曲がり角度θcを説明する図である。
形状点に基づいたカーブの検出を説明する図である。
曲がる方向が異なる2つのカーブが連なっているケースを説明する図である。
1つの形状点のみで大きく折れ曲がっている経路を説明する図である。
3つの形状点に基づいた曲率半径の算出を説明する図である。
図14に示したカーブを形成する形状点ごとの曲率半径の値を示す図である。
カーブ情報取得処理部160における処理動作の一例を示す図である。
【発明を実施するための形態】
(【0011】以降は省略されています)
この特許をJ-PlatPat(特許庁公式サイト)で参照する
関連特許
日本精機株式会社
警報システム
2か月前
個人
安全支援装置
14日前
株式会社SUBARU
車両
1か月前
個人
自動電動車椅子
2か月前
エムケー精工株式会社
車両誘導装置
2か月前
スズキ株式会社
運転支援装置
2か月前
ニッタン株式会社
検知器
1か月前
株式会社国際電気
防災システム
2か月前
日本無線株式会社
船舶システム
15日前
ニッタン株式会社
検知器
2か月前
ニッタン株式会社
検知器
2か月前
ニッタン株式会社
検知器
2か月前
個人
磁気路上での車両の路線離脱防御
1か月前
トヨタ自動車株式会社
サーバ
1か月前
大阪瓦斯株式会社
音声出力システム
1か月前
トヨタ自動車株式会社
サーバ
23日前
ダイハツ工業株式会社
移動支援装置
1か月前
株式会社SUBARU
運転支援装置
1か月前
株式会社小糸製作所
移動体検出装置
2か月前
日本信号株式会社
異常走行検出装置
1か月前
株式会社小糸製作所
車両検出システム
2か月前
日本精機株式会社
報知装置及び報知システム
2か月前
株式会社デンソー
運航管理装置
1か月前
株式会社CCT
通信装置及び表示方法
1か月前
三菱自動車工業株式会社
制御システム
1か月前
株式会社SUBARU
事故情報収集装置
1か月前
能美防災株式会社
火災感知器
2か月前
株式会社 ミックウェア
車内環境制御システム
1か月前
ヨシモトポール株式会社
接近報知システム
2か月前
本田技研工業株式会社
物体検出装置
3か月前
ホーチキ株式会社
火災検出システム
1か月前
株式会社SUBARU
車室内異常検知装置
1か月前
能美防災株式会社
非常伝達装置
2か月前
能美防災株式会社
火災感知器及び火災報知システム
1か月前
シャープ株式会社
駐車制御装置
1か月前
株式会社豊田中央研究所
注意喚起装置
2か月前
続きを見る
他の特許を見る