TOP
|
特許
|
意匠
|
商標
特許ウォッチ
Twitter
他の特許を見る
10個以上の画像は省略されています。
公開番号
2025138143
公報種別
公開特許公報(A)
公開日
2025-09-25
出願番号
2024037048
出願日
2024-03-11
発明の名称
化学計算モデル分子の作成方法
出願人
横浜ゴム株式会社
代理人
個人
,
個人
,
個人
主分類
G16C
20/50 20190101AFI20250917BHJP(特定の用途分野に特に適合した情報通信技術)
要約
【課題】所定の複素融合環を有する分子の化学反応エネルギーについて、非経験的分子軌道法により、精度を高く維持しつつより短時間で計算することが可能な、その化学計算モデル分子等を提供する。
【解決手段】六員環と、環骨格にヘテロ原子を1以上および二重結合を1以上含む環状構造と、が融合して構成された複素融合環を有する分子の化学計算モデル分子を作成する方法であって、上記複素融合環から上記六員環が除かれ且つ上記環状構造は環骨格の構成原子が保たれたユニットである複素単環ユニットを作成する工程と、上記複素単環ユニットを含み且つ上記分子を構成する全原子数よりも少ない原子数で構成された上記化学計算モデル分子を作成する工程と、を含む化学計算モデル分子の作成方法等により、上記課題を解決する。
【選択図】図1
特許請求の範囲
【請求項1】
六員環と、環骨格にヘテロ原子を1以上および二重結合を1以上含む環状構造と、が融合して構成された複素融合環を有する分子の化学計算モデル分子を作成する方法であって、
前記分子が有する前記複素融合環から前記六員環が除かれ且つ前記環状構造は環骨格の構成原子が保たれたユニットである複素単環ユニットを作成する工程と、
前記複素単環ユニットを含み且つ前記分子を構成する全原子数よりも少ない原子数で構成された前記化学計算モデル分子を作成する工程と、を含む、
化学計算モデル分子の作成方法。
続きを表示(約 1,300 文字)
【請求項2】
前記複素単環ユニットを作成する工程が、前記複素融合環を構成する全原子数の50~70%の原子数で構成された前記複素単環ユニットを作成する工程であり、
前記化学計算モデル分子を作成する工程が、前記分子を構成する全原子数の50~70%の原子数で構成された前記化学計算モデル分子を作成する工程である、
請求項1に記載の化学計算モデル分子の作成方法。
【請求項3】
前記複素単環ユニットは、前記複素融合環から前記六員環が除かれ且つ前記環状構造は環骨格の構成原子および化学結合がいずれも保たれたユニットである、請求項1または2に記載の化学計算モデル分子の作成方法。
【請求項4】
前記化学計算モデル分子を作成する工程が、前記化学計算モデル分子の前記複素単環ユニットに付加される構造について、前記分子の前記複素融合環に付加された構造を構成する全原子数よりも少ない原子数で構成されるように作成する工程である、請求項1または2に記載の化学計算モデル分子の作成方法。
【請求項5】
前記ヘテロ原子が硫黄原子および/または窒素原子である、請求項1または2に記載の化学計算モデル分子の作成方法。
【請求項6】
前記分子が有する前記複素融合環を構成する前記環状構造および前記複素単環ユニットが、環骨格にヘテロ原子を1以上および二重結合を1以上含む五員環である、請求項1または2に記載の化学計算モデル分子の作成方法。
【請求項7】
前記分子が有する前記複素融合環を構成する前記六員環がベンゼン環である、請求項1または2に記載の化学計算モデル分子の作成方法。
【請求項8】
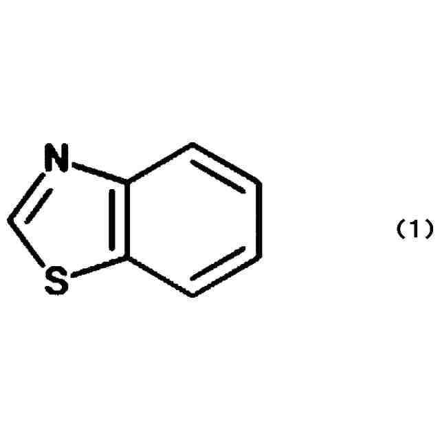
前記分子が有する前記複素融合環がベンゾチアゾール環である、請求項1または2に記載の化学計算モデル分子の作成方法。
【請求項9】
六員環と、環骨格にヘテロ原子を1以上および二重結合を1以上含む環状構造と、が融合して構成された複素融合環を有する分子における1以上の部位の化学反応エネルギーを計算する方法であって、
請求項1または2に記載の化学計算モデル分子の作成方法により作成された化学計算モデル分子を用いて、非経験的分子軌道法により前記化学反応エネルギーを計算する工程を含む、
分子の化学反応エネルギー計算方法。
【請求項10】
六員環と、環骨格にヘテロ原子を1以上および二重結合を1以上含む環状構造と、が融合して構成された複素融合環を有する分子の化学反応エネルギー計算をコンピュータに実行させるプログラムであって、
前記コンピュータに、請求項1または2に記載の化学計算モデル分子の作成方法により前記分子の化学計算モデル分子を作成する作成処理と、
前記化学計算モデル分子を用いて、非経験的分子軌道法により前記分子における1以上の部位の化学反応エネルギーを計算する計算処理と、を含む演算処理を実行させる、
分子の化学反応エネルギー計算実行プログラム。
(【請求項11】以降は省略されています)
発明の詳細な説明
【技術分野】
【0001】
本発明は、化学計算モデル分子の作成方法、ならびに、その方法により作成された化学計算モデル分子を用いた分子の化学反応エネルギー計算方法、ジエン系ゴム成分の加硫促進剤選抜方法等に関する。
続きを表示(約 3,600 文字)
【背景技術】
【0002】
ゴム製品の多くは、二重結合を有するジエン系ゴム成分などのゴム成分に硫黄を添加し、架橋を形成する加硫反応を経て製造される。そして、硫黄単独添加での加硫反応は非常に遅く且つ架橋密度も低いため、実用的には、加硫促進剤や酸化亜鉛などが併用して用いられる。この加硫促進剤としては、六員環(例えばベンゼン環など)と、環骨格にヘテロ原子を1以上および二重結合を1以上含む環状構造(例えば五員環など)と、が融合して構成された複素融合環(例えばベンゾチアゾール環など)を有する分子が代表的なものの1つとして知られている。
【0003】
例えば、特許文献1には、生物濃縮性が低く、発がん性ニトロソアミンを発生しない、かつ、化審法第1種監視化学物質に指定されているDCBSと同等の性能を有する加硫促進剤であるN-エチル-N-t-ブチル-1,3-ベンゾチアゾール-2-スルフェンアミドが開示されている。
【先行技術文献】
【特許文献】
【0004】
特開2010-275230号公報
【発明の概要】
【発明が解決しようとする課題】
【0005】
ここで、上記のような複素融合環を有する分子の群(新たに設計した分子も含む)から新たな加硫促進剤を選抜しようとする場合、1つずつ入手または合成し、それを1つずつ実験によって確認する方法では極めて多大な労力および時間を必要とする。そこで、実験値を使用しない非経験的分子軌道法によってその反応性(化学反応エネルギー)を計算し、この結果を利用して新たな加硫促進剤を選抜する方法が考えられるが、加硫促進剤を併用したゴム成分の加硫反応は現在でも詳細な反応メカニズムが解明されておらず、また、非経験的分子軌道法により量子化学計算で分子の化学反応エネルギー計算をする場合、通常、計算時間はその分子全体の原子数の3~5乗倍となることから、この方法でも多大な時間等を要する可能性が高い。一方で、上記分子を簡略化して上記計算を行う場合、通常は、計算時間の短縮は可能であるがその精度(元の分子のデータとの一致性、正確性)が大きく低下してしまうことが多い。
【0006】
そこで本発明は、所定の複素融合環を有する分子の化学反応エネルギーについて、非経験的分子軌道法により、精度を高く維持しつつより短時間で計算することが可能な、その化学計算モデル分子等を提供することを目的とする。
【課題を解決するための手段】
【0007】
上記課題を解決するために本発明者は鋭意検討し、六員環と、環骨格にヘテロ原子を1以上および二重結合を1以上含む環状構造と、が融合して構成された複素融合環を有する分子の化学計算モデル分子を作成する方法であって、上記複素融合環から上記六員環が除かれ且つ上記環状構造は環骨格の構成原子が保たれたユニットである複素単環ユニットを作成する工程と、上記複素単環ユニットを含み且つ上記分子を構成する全原子数よりも少ない原子数で構成された上記化学計算モデル分子を作成する工程と、を含む化学計算モデル分子の作成方法によって、上記複素融合環を有する分子の化学反応エネルギーについて、非経験的分子軌道法により、精度を高く維持しつつより短時間で計算することが可能な、その化学計算モデル分子を提供できることを見出し、さらに検討を重ねて、本発明を完成させた。
【0008】
すなわち、本発明は次の<1>~<11>の実施形態を含む。
<1>六員環と、環骨格にヘテロ原子を1以上および二重結合を1以上含む環状構造と、が融合して構成された複素融合環を有する分子の化学計算モデル分子を作成する方法であって、
前記分子が有する前記複素融合環から前記六員環が除かれ且つ前記環状構造は環骨格の構成原子が保たれたユニットである複素単環ユニットを作成する工程と、
前記複素単環ユニットを含み且つ前記分子を構成する全原子数よりも少ない原子数で構成された前記化学計算モデル分子を作成する工程と、を含む、
化学計算モデル分子の作成方法。
<2>前記複素単環ユニットを作成する工程が、前記複素融合環を構成する全原子数の50~70%の原子数で構成された前記複素単環ユニットを作成する工程であり、
前記化学計算モデル分子を作成する工程が、前記分子を構成する全原子数の50~70%の原子数で構成された前記化学計算モデル分子を作成する工程である、
<1>に記載の化学計算モデル分子の作成方法。
<3>前記複素単環ユニットは、前記複素融合環から前記六員環が除かれ且つ前記環状構造は環骨格の構成原子および化学結合がいずれも保たれたユニットである、<1>または<2>に記載の化学計算モデル分子の作成方法。
<4>前記化学計算モデル分子を作成する工程が、前記化学計算モデル分子の前記複素単環ユニットに付加される構造について、前記分子の前記複素融合環に付加された構造を構成する全原子数よりも少ない原子数で構成されるように作成する工程である、<1>~<3>のいずれか1つに記載の化学計算モデル分子の作成方法。
<5>前記ヘテロ原子が硫黄原子および/または窒素原子である、<1>~<4>のいずれか1つに記載の化学計算モデル分子の作成方法。
<6>前記分子が有する前記複素融合環を構成する前記環状構造および前記複素単環ユニットが、環骨格にヘテロ原子を1以上および二重結合を1以上含む五員環である、<1>~<5>のいずれか1つに記載の化学計算モデル分子の作成方法。
<7>前記分子が有する前記複素融合環を構成する前記六員環がベンゼン環である、<1>~<6>のいずれか1つに記載の化学計算モデル分子の作成方法。
<8>前記分子が有する前記複素融合環がベンゾチアゾール環である、<1>~<7>のいずれか1つに記載の化学計算モデル分子の作成方法。
<9>六員環と、環骨格にヘテロ原子を1以上および二重結合を1以上含む環状構造と、が融合して構成された複素融合環を有する分子における1以上の部位の化学反応エネルギーを計算する方法であって、
<1>~<8>のいずれか1つに記載の化学計算モデル分子の作成方法により作成された化学計算モデル分子を用いて、非経験的分子軌道法により前記化学反応エネルギーを計算する工程を含む、
分子の化学反応エネルギー計算方法。
<10> 六員環と、環骨格にヘテロ原子を1以上および二重結合を1以上含む環状構造と、が融合して構成された複素融合環を有する分子の化学反応エネルギー計算をコンピュータに実行させるプログラムであって、
前記コンピュータに、<1>~<8>のいずれか1つに記載の化学計算モデル分子の作成方法により前記分子の化学計算モデル分子を作成する作成処理と、
前記化学計算モデル分子を用いて、非経験的分子軌道法により前記分子における1以上の部位の化学反応エネルギーを計算する計算処理と、を含む演算処理を実行させる、
分子の化学反応エネルギー計算実行プログラム。
<11>六員環と、環骨格にヘテロ原子を1以上および二重結合を1以上含む環状構造と、が融合して構成された複素融合環を有する分子の群からジエン系ゴム成分の加硫促進剤を選抜する方法であって、
<1>~<8>のいずれか1つに記載の化学計算モデル分子の作成方法により作成された、前記群に含まれる複数の前記分子の化学計算モデル分子を用いて、非経験的分子軌道法により前記分子における1以上の部位の化学反応エネルギーを計算する工程と、
計算された前記化学反応エネルギーを比較して、複数の前記分子から前記ジエン系ゴム成分の加硫促進剤を選抜する工程と、を含む、
ジエン系ゴム成分の加硫促進剤選抜方法。
【発明の効果】
【0009】
本発明によれば、所定の複素融合環を有する分子の化学反応エネルギーについて、非経験的分子軌道法により、精度を高く維持しつつより短時間で計算することが可能な、その化学計算モデル分子等を提供することができる。
【図面の簡単な説明】
【0010】
本発明に係る化学計算モデル分子の作成方法の実施形態(工程例A)、本発明に係るジエン系ゴム成分の加硫促進剤選抜方法の実施形態(工程例B)の工程例を示す模式図である。
本発明に係る化学計算モデル分子の作成方法の実施形態により作成する化学計算モデル分子の元となる分子が有する複素融合環の具体例を示す図である。
【発明を実施するための形態】
(【0011】以降は省略されています)
この特許をJ-PlatPat(特許庁公式サイト)で参照する
関連特許
横浜ゴム株式会社
タイヤ
3か月前
横浜ゴム株式会社
タイヤ
1か月前
横浜ゴム株式会社
タイヤ
24日前
横浜ゴム株式会社
タイヤ
24日前
横浜ゴム株式会社
タイヤ
2か月前
横浜ゴム株式会社
タイヤ
2か月前
横浜ゴム株式会社
タイヤ
2か月前
横浜ゴム株式会社
タイヤ
2か月前
横浜ゴム株式会社
タイヤ
1か月前
横浜ゴム株式会社
タイヤ
1か月前
横浜ゴム株式会社
タイヤ
28日前
横浜ゴム株式会社
タイヤ
2か月前
横浜ゴム株式会社
タイヤ
1か月前
横浜ゴム株式会社
タイヤ
1か月前
横浜ゴム株式会社
タイヤ
28日前
横浜ゴム株式会社
タイヤ
1か月前
横浜ゴム株式会社
タイヤ
28日前
横浜ゴム株式会社
タイヤ
28日前
横浜ゴム株式会社
タイヤ
1か月前
横浜ゴム株式会社
タイヤ
1か月前
横浜ゴム株式会社
タイヤ
1か月前
横浜ゴム株式会社
タイヤ
1か月前
横浜ゴム株式会社
タイヤ
2か月前
横浜ゴム株式会社
タイヤ
2か月前
横浜ゴム株式会社
タイヤ
18日前
横浜ゴム株式会社
タイヤ
3日前
横浜ゴム株式会社
タイヤ
3か月前
横浜ゴム株式会社
タイヤ
3か月前
横浜ゴム株式会社
タイヤ
4日前
横浜ゴム株式会社
タイヤ
4日前
横浜ゴム株式会社
タイヤ
3か月前
横浜ゴム株式会社
タイヤ
3か月前
横浜ゴム株式会社
タイヤ
3か月前
横浜ゴム株式会社
タイヤ
12日前
横浜ゴム株式会社
タイヤ
3か月前
横浜ゴム株式会社
タイヤ
3か月前
続きを見る
他の特許を見る