TOP
|
特許
|
意匠
|
商標
特許ウォッチ
Twitter
他の特許を見る
10個以上の画像は省略されています。
公開番号
2025136574
公報種別
公開特許公報(A)
公開日
2025-09-19
出願番号
2024035245
出願日
2024-03-07
発明の名称
高分子分散剤、高分子分散剤組成物、及びカーボン材料分散液
出願人
大日精化工業株式会社
代理人
弁理士法人樹之下知的財産事務所
主分類
C08F
290/12 20060101AFI20250911BHJP(有機高分子化合物;その製造または化学的加工;それに基づく組成物)
要約
【課題】高濃度で安定に液媒体にカーボン材料を分散させるための高分子分散剤を提供すること。
【解決手段】カーボンブラック等のカーボン材料を液媒体中に分散させる高分子分散剤であって、前記高分子分散剤が、下記一般式(1)で表される構成単位(i)を45質量%以上95質量%以下と、
<com:Image com:imageContentCategory="Drawing"> <com:ImageFormatCategory>TIFF</com:ImageFormatCategory> <com:FileName>2025136574000016.tif</com:FileName> <com:HeightMeasure com:measureUnitCode="Mm">32</com:HeightMeasure> <com:WidthMeasure com:measureUnitCode="Mm">170</com:WidthMeasure> </com:Image> (前記一般式(1)中、R
1
及びR
3
は水素原子等を示し、R
2
は-CH
2
CH
2
-等を示し、mは任意の繰り返し数を示し、nは10~100を示す。)2-ビニルピリジン等の塩基性モノマーの第4級アンモニウム塩であるモノマーに由来する構成単位(ii)を3質量%以上45質量%以下と、前記構成単位(i)及び前記構成単位(ii)と共重合可能なビニル系モノマーに由来する構成単位(iii)を2質量%以上10質量%以下と、を有し、数平均分子量が10,000以上30,000以下のポリマーであり、紫外線硬化性を有する、高分子分散剤。
【選択図】なし
特許請求の範囲
【請求項1】
カーボンブラック、カーボンファイバー、カーボンナノチューブ、グラファイト及びグラフェンからなる群から選択される少なくとも1種のカーボン材料を液媒体中に分散させる高分子分散剤であって、
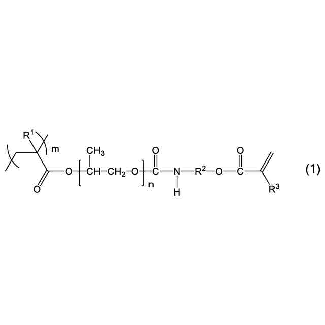
前記高分子分散剤が、下記一般式(1)で表される、末端に(メタ)アクリロイルオキシ基が結合した構成単位(i)を45質量%以上95質量%以下と、
TIFF
2025136574000014.tif
32
170
(前記一般式(1)中、R
1
及びR
3
は水素原子又はメチル基を示し、R
2
は-CH
2
CH
2
-又は-CH
2
CH
2
OCH
2
CH
2
-を示し、mは任意の繰り返し数を示し、nは10~100を示す。)
2-ビニルピリジン、4-ビニルピリジン、1-ビニルイミダゾール、ジメチルアミノエチル(メタ)アクリレート、及びジエチルアミノエチル(メタ)アクリレートからなる群より選択される少なくとも一種の塩基性モノマーの第4級アンモニウム塩であるモノマーに由来する構成単位(ii)を3質量%以上45質量%以下と、前記構成単位(i)及び前記構成単位(ii)と共重合可能なビニル系モノマーに由来する構成単位(iii)を2質量%以上10質量%以下と、を有し、数平均分子量が10,000以上30,000以下のポリマーであり、紫外線硬化性を有する、高分子分散剤。
続きを表示(約 890 文字)
【請求項2】
前記塩基性モノマーの第4級アンモニウム塩が、前記塩基性モノマーのベンジルクロライド塩、ナフチルメチルクロライド塩、又はアントラセニルメチルクロライド塩である、請求項1に記載の高分子分散剤。
【請求項3】
前記構成単位(iii)となるビニル系モノマーが、α-メチルスチレンを含み、前記ポリマー中、前記α-メチルスチレンに由来する構成単位の含有量が、0.5質量%以上5質量%以下である、請求項1に記載の高分子分散剤。
【請求項4】
請求項1~請求項3のいずれか一項に記載の高分子分散剤と、下記一般式(2)で表されるモノマーを含有する、高分子分散剤組成物。
TIFF
2025136574000015.tif
23
170
(前記一般式(2)中、R
4
は炭素数1~18のアルキル基を示し、R
5
は炭素数2~4のアルキレン基又は分岐アルキレン基を示し、R
6
は-CH
2
CH
2
-又は-CH
2
CH
2
OCH
2
CH
2
-を示し、R
7
は水素又はメチル基を示し、pは10~100を示す。)
【請求項5】
請求項1~請求項3のいずれか一項に記載の高分子分散剤と、前記カーボン材料と、前記液媒体と、を含有する、カーボン材料分散液。
【請求項6】
前記液媒体が、1個以上の(メタ)アクリロイルオキシ基を有する紫外線硬化性モノマー及びオリゴマーのうちの少なくとも1つを含有する、請求項5に記載のカーボン材料分散液。
【請求項7】
前記カーボン材料100質量部に対する、前記高分子分散剤の含有量が、10質量部以上200質量部以下であり、前記カーボン材料分散液100質量%に対する、前記カーボン材料の含有量が、15質量%以下である、請求項5に記載のカーボン材料分散液。
発明の詳細な説明
【技術分野】
【0001】
本発明は、カーボン材料を安定に分散させるための高分子分散剤、その高分子分散剤を使用して得られるカーボン材料分散液に関する。
続きを表示(約 2,100 文字)
【背景技術】
【0002】
カーボンブラック、カーボンファイバー、カーボンナノチューブ、グラファイト、及びグラフェン等のカーボン材料(以下、単にカーボン材料とも記す)は、炭素原子の共有結合によって形成される六員環グラファイト構造を有する、導電性や伝熱性等の種々の特性が発揮される材料であり、幅広い分野でその特性を活かすための方法が検討されている。例えば、カーボン材料の電気的性質、熱的性質、及びフィラーとしての性質に注目し、帯電防止剤、導電材料、プラスチック補強材、半導体、燃料電池電極、及びディスプレーの陰極線等に用いることが検討されている。
【0003】
これらの用途には、カーボン材料の分散性が良好であるとともに、分散性が長期間にわたって維持されるカーボン材料分散液が必要である。但し、ナノサイズのカーボン材料は表面エネルギーが高く、強いファンデルワールス力が働いているために凝集しやすい。このため、液媒体中に分散させた場合であっても、直ちに凝集することが多い。
【0004】
カーボン材料を液媒体中に安定して分散させるために、一般的に分散剤が用いられている。例えば、アルカノールアミン塩等のカチオン性界面活性剤や、スチレン-アクリル系樹脂等の高分子分散剤を用いた、カーボンナノチューブの溶剤系分散液が提案されている(特許文献1及び2)。
【先行技術文献】
【特許文献】
【0005】
特開2010-174084号公報
特表2013-537570号公報
【発明の概要】
【発明が解決しようとする課題】
【0006】
しかし、低分子量の界面活性剤を分散剤として用いると、カーボン材料を液媒体中に分散させることは可能であるが、その分散性は必ずしも十分であるとはいえず、さらには再凝集しやすいといった課題もあった。また、一般的な高分子分散剤を用いると、得られる分散液がチキソトロピックな性質を示しやすく、時間経過とともにカーボン材料が沈降したり、分散液がゲル化したりする場合があった。さらに、紫外線硬化性のコーティング剤に使用する時、そのカーボン材料を分散する高分子分散剤が紫外線硬化せず、塗膜の強度、密着性を悪化させる場合があった。
【0007】
本発明は、このような従来技術の有する問題点に鑑みてなされたものであり、その課題とするところは、カーボン材料を高濃度に含む場合であっても分散性に優れているとともに、長期間にわたって分散性が安定的に維持されるためのカーボン材料の高分子分散剤を提供することにある。さらには、高分子分散剤を紫外線硬化性コーティング剤やインクに使用した場合、高分子分散剤に紫外線硬化性基を有することで塗膜に組み込まれない成分をなくし、且つ、その紫外線硬化性基によって高分子分散剤が架橋剤として働き、そのコーティング剤やインクから得られる塗膜の耐久性や、密着性を向上させることができる高分子分散剤を提供することにある。更に、前記した高分子分散剤を使用して得られる分散性が良好なカーボン材料分散液を提供することにある。
【課題を解決するための手段】
【0008】
すなわち、本発明によれば、以下に示す高分子分散剤が提供される。
[1]カーボンブラック、カーボンファイバー、カーボンナノチューブ、グラファイト及びグラフェンからなる群から選択される少なくとも1種のカーボン材料を液媒体中に分散させる高分子分散剤であって、
前記高分子分散剤が、下記一般式(1)で表される、末端に(メタ)アクリロイルオキシ基が結合した構成単位(i)を45質量%以上95質量%以下と、
【0009】
TIFF
2025136574000001.tif
32
170
【0010】
(前記一般式(1)中、R
1
及びR
3
は水素原子又はメチル基を示し、R
2
は-CH
2
CH
2
-又は-CH
2
CH
2
OCH
2
CH
2
-を示し、mは任意の繰り返し数を示し、nは10~100を示す。)
2-ビニルピリジン、4-ビニルピリジン、1-ビニルイミダゾール、ジメチルアミノエチル(メタ)アクリレート、及びジエチルアミノエチル(メタ)アクリレートからなる群より選択される少なくとも一種の塩基性モノマーの第4級アンモニウム塩であるモノマーに由来する構成単位(ii)を3質量%以上45質量%以下と、前記構成単位(i)及び前記構成単位(ii)と共重合可能なビニル系モノマーに由来する構成単位(iii)を2質量%以上10質量%以下と、を有し、数平均分子量が10,000以上30,000以下のポリマーであり、紫外線硬化性を有する、高分子分散剤。
(【0011】以降は省略されています)
この特許をJ-PlatPat(特許庁公式サイト)で参照する
関連特許
ユニチカ株式会社
透明シート
13日前
株式会社カネカ
硬化性組成物
3か月前
ユニチカ株式会社
透明シート
1か月前
株式会社コバヤシ
成形体
10日前
ユニチカ株式会社
ビスマレイミド
4か月前
東レ株式会社
熱硬化性樹脂組成物
1か月前
東レ株式会社
ポリエステルフィルム
17日前
住友精化株式会社
吸水剤の製造方法
23日前
東レ株式会社
ポリエステルフィルム
3か月前
東レ株式会社
引抜成形品の製造方法
1か月前
丸住製紙株式会社
変性パルプ
13日前
東ソー株式会社
樹脂組成物および蓋材
1か月前
東レ株式会社
ポリプロピレンフィルム
9日前
愛知電機株式会社
加熱処理設備
3か月前
花王株式会社
樹脂組成物
3か月前
東ソー株式会社
樹脂組成物および蓋材
1か月前
横浜ゴム株式会社
重荷重タイヤ
9日前
東レ株式会社
ポリオレフィン微多孔膜
2か月前
株式会社コバヤシ
光硬化性組成物
2か月前
株式会社スリーボンド
硬化性樹脂組成物
9日前
アイカ工業株式会社
光硬化性樹脂組成物
4か月前
UBE株式会社
衝撃吸収材
13日前
アイカ工業株式会社
光硬化性樹脂組成物
9日前
日本特殊陶業株式会社
樹脂成形体
23日前
富士フイルム株式会社
組成物
3か月前
三洋化成工業株式会社
熱成形用樹脂組成物
5日前
住友化学株式会社
樹脂組成物
9日前
株式会社カネカ
硬化性組成物
23日前
株式会社カネカ
硬化性組成物
1か月前
株式会社カネカ
シーリング材
2日前
株式会社大阪ソーダ
熱可塑性材料用組成物
3か月前
ノリタケ株式会社
担体構造体
3日前
東ソー株式会社
温度応答性ビーズの製造方法
25日前
東亞合成株式会社
硬化性組成物
3か月前
伯東株式会社
ビニル化合物中の重合防止方法
2か月前
株式会社クラレ
水性エマルジョン及び接着剤
3か月前
続きを見る
他の特許を見る