TOP
|
特許
|
意匠
|
商標
特許ウォッチ
Twitter
他の特許を見る
10個以上の画像は省略されています。
公開番号
2025123054
公報種別
公開特許公報(A)
公開日
2025-08-22
出願番号
2024018903
出願日
2024-02-09
発明の名称
強磁性材料、薄膜及び強磁性材料の製造方法
出願人
国立大学法人東京科学大学
代理人
弁理士法人IPX
主分類
H01F
10/193 20060101AFI20250815BHJP(基本的電気素子)
要約
【課題】ウルツ鉱型構造を有するAlN系統の強磁性材料において新規な化合物を提供する。
【解決手段】下記AとBとにより構成される強磁性材料であって、
Aは、(Al
(1-x)
,M
x
)により構成される。
上記Mは、第3族、第13族、第14族、または第15族に属するAl以外の1種以上の元素により構成される。xは、0より大きくかつ1より小さい。
Bは、(N
(1-y)
,R
y
)により構成される。
上記Rは、第16属または第17族に属する1種以上の元素により構成される。yは、0.05より大きくかつ1より小さい。
【選択図】図2
特許請求の範囲
【請求項1】
ウルツ鉱型構造の結晶構造を有する強磁性材料であって、
AとBとにより構成され、
前記Aは、(Al
(1-x)
,M
x
)により構成され、
前記Mは、第3族、第13族、第14族、または第15族に属するAl以外の1種以上の元素により構成され、
前記xは、0より大きくかつ1より小さく、
前記Bは、(N
(1-y)
,R
y
)により構成され、
前記Rは、第16属または第17族に属する1種以上の元素により構成され、
前記yは、0.05より大きくかつ1より小さい、強磁性材料。
続きを表示(約 820 文字)
【請求項2】
請求項1に記載の強磁性材料において、
前記Rは、第16族に属する元素としてのO、S、およびSeのうちの少なくとも1種の元素により構成される、強磁性材料。
【請求項3】
請求項2に記載の強磁性材料において、
前記Rは、Oにより構成される、強磁性材料。
【請求項4】
請求項3に記載の強磁性材料において、
前記yは、0.05より大きくかつ0.4以下である、強磁性材料。
【請求項5】
請求項1に記載の強磁性材料において、
前記Mは、第3族に属する元素としてのBならびにSc、第13族に属する元素としてのGaならびにIn、第14族に属する元素としてのSi、および第15族に属する元素としてのPのうちの1種以上の元素により構成される、強磁性材料。
【請求項6】
請求項5に記載の強磁性材料において、
前記Mは、第3族に属する元素としてのBならびにSc、および第13族に属する元素としてのGaならびにInのうちの1種以上の元素により構成される、強磁性材料。
【請求項7】
請求項6に記載の強磁性材料において、
前記Mは、Scにより構成される、強磁性材料。
【請求項8】
請求項7に記載の強磁性材料において、
前記xは、0.2以上でありかつ0.4以下である、強磁性材料。
【請求項9】
請求項1に記載の強磁性材料において、
前記Aが配置されるAサイトの格子欠損に隣接する、前記Bが配置されるBサイトの少なくとも1つには、前記Rが配置されるように構成される、強磁性材料。
【請求項10】
基板に積層される薄膜であって、
請求項1~請求項9の何れか1つに記載の強磁性材料を含む、薄膜。
(【請求項11】以降は省略されています)
発明の詳細な説明
【技術分野】
【0001】
本発明は、強磁性材料、薄膜及び強磁性材料の製造方法に関する。
続きを表示(約 1,600 文字)
【背景技術】
【0002】
非特許文献1には、制御された酸素環境において等温アニールの後300Kでas-grownの結晶性窒化アルミニウム(AlN)薄膜が希薄強磁性を誘起することが開示されている。
【先行技術文献】
【非特許文献】
【0003】
D. Nath, et al., J. Alloys and Compounds, Vol 967, 171727 (2023)
【発明の概要】
【発明が解決しようとする課題】
【0004】
しかし、ウルツ鉱型構造を有するAlN系統の強磁性材料において新規な化合物を提供するための技術には、未だ改善の余地がある。
【課題を解決するための手段】
【0005】
本発明の一態様によれば、ウルツ鉱型構造の結晶構造を有する強磁性材料が提供される。この強磁性材料におけるAとBとにより構成される。Aは、(Al
(1-x)
,M
x
)により構成される。Mは、第3族、第13族、第14族、または第15族に属するAl以外の1種以上の元素により構成される。xは、0より大きくかつ1より小さい。Bは、(N
(1-y)
,R
y
)により構成される。Rは、第16属または第17族に属する1種以上の元素により構成される。yは、0.05より大きくかつ1より小さい。
【0006】
このような構成によれば、ウルツ鉱型構造を有するAlN系統の強磁性材料において新規な化合物を提供することができる。
【図面の簡単な説明】
【0007】
磁気デバイスの一例を示す図である。
本実施形態における強磁性材料の、格子欠損による結晶場分裂前の結晶構造の一例を示す図である。
図2に示す強磁性体の結晶構造を、格子欠損VAによる結晶場分裂に基づき最適化した結果となる結晶構造を示す図である。
図3に示す結晶構造におけるエネルギー準位図の一例。
局在準位Eiの詳細を示す図である。
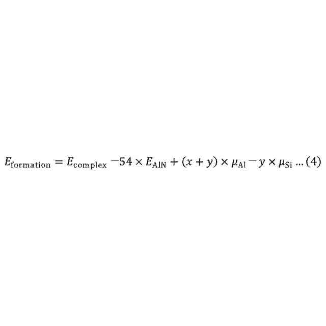
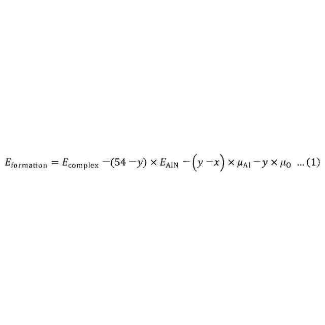
計算例1~91つのNをOに置換した場合における系1~9を示す図である。
2つのNをOに置換した場合における系10~12を示す図である。
3つのNをOに置換した場合における系13~16を示す図である。
4つのNをOに置換した場合における系17,18を示す図である。
計算例25に係る計算対象となる系である、計算系19を示す図である。
本計算の計算対象となる系のうち、格子欠損の数が2である場合の系である、計算系20と、計算系21とを示す図である。
実施例1のM-Hカーブ(A)および実施例3のM-Hカーブ(B)を示す図である。
【発明を実施するための形態】
【0008】
以下、図面を用いて本発明の実施形態について説明する。以下に示す実施形態中で示した各種特徴事項は、互いに組み合わせ可能である。
【0009】
1.磁気デバイス等について
本節では、磁気デバイス、および当該磁気デバイスに含まれる強磁性材料について説明する。図1は、磁気デバイスの一例を示す図である。図1に示すように、磁気デバイス1は、基板11と、薄膜12と、を備える。
【0010】
基板11は、例えば、ガラス、フィルム、金属等、任意の材料により構成され得る。具体的に例えば、基板11は、後述する強磁性材料の積層性を向上させるために、シリコン(特にpドープシリコン)であってもよい。また、基板11は、基板の柔軟性を得るために、ポリイミドフィルム等であってもよい。
(【0011】以降は省略されています)
この特許をJ-PlatPat(特許庁公式サイト)で参照する
関連特許
国立大学法人東京科学大学
非線形回路
1か月前
国立大学法人東京科学大学
引張試験装置、及び試験片
1か月前
国立大学法人東京科学大学
受光装置および光給電システム
1か月前
国立大学法人東京科学大学
押込試験装置、及び押込試験方法
1か月前
国立大学法人東京科学大学
燃料デブリの固化方法および固化体
1か月前
トヨタ自動車株式会社
フッ化物イオン電池
1か月前
国立大学法人東京科学大学
ジアセチル計測方法及びジアセチル計測装置
10日前
国立大学法人東京科学大学
計測装置、計測方法、及び、制御プログラム
10日前
学校法人早稲田大学
太陽光発電モジュール
1か月前
AGC株式会社
調光デバイスおよび調光方法
23日前
日清紡ホールディングス株式会社
燃料電池用電解質膜
1か月前
日清紡ホールディングス株式会社
燃料電池用バインダー
1か月前
鉄建建設株式会社
ガス化方法及び半炭化燃料材の製造方法
2日前
住友化学株式会社
磁気トンネル接合素子及び磁気デバイス
29日前
国立大学法人東京科学大学
面発光レーザ
1か月前
国立大学法人東京科学大学
修飾ヘテロ核酸
1か月前
国立大学法人東京科学大学
積層体、積層体の製造方法、及び超伝導転移温度を上昇させる方法
1か月前
パナソニックインダストリー株式会社
コンデンサ及びコンデンサの製造方法
1か月前
NTT株式会社
植物の開花時期制御方法および開花時期が制御された植物の作出方法
8日前
三井化学株式会社
レーザ描画用光硬化性樹脂組成物、立体造形物、および立体造形物の製造方法
1か月前
三井化学株式会社
レーザ描画用光硬化性樹脂組成物、立体造形物、および立体造形物の製造方法
1か月前
一般財団法人ファインセラミックスセンター
微粒子及びその製造方法
26日前
国立研究開発法人量子科学技術研究開発機構
ディスペンサシステム、検査キット、および当該ディスペンサシステムを用いた試薬添加方法
23日前
国立大学法人東京科学大学
リン酸カルシウム-炭素原子-酸化ジルコニウム複合体、修復材料、医療機器、リン酸カルシウム-炭素原子-酸化ジルコニウム複合体の製造方法
1か月前
NTT株式会社
植物の光合成応答を調節する方法、光合成応答が迅速化した植物の作出方法、および光合成応答が迅速化した植物の栽培のためのシステム
8日前
ローレルバンクマシン株式会社
ワイヤレス給電システム及び方法並びにワイヤレス送電システム
10日前
東ソー株式会社
絶縁電線
1か月前
APB株式会社
蓄電セル
29日前
個人
フレキシブル電気化学素子
1か月前
株式会社ユーシン
操作装置
1か月前
日新イオン機器株式会社
イオン源
1か月前
マクセル株式会社
電源装置
23日前
株式会社東芝
端子台
23日前
ローム株式会社
半導体装置
1か月前
太陽誘電株式会社
コイル部品
1か月前
株式会社GSユアサ
蓄電設備
1か月前
続きを見る
他の特許を見る