TOP
|
特許
|
意匠
|
商標
特許ウォッチ
Twitter
他の特許を見る
公開番号
2025092263
公報種別
公開特許公報(A)
公開日
2025-06-19
出願番号
2023208034
出願日
2023-12-08
発明の名称
セミクラスレートハイドレートおよびその製造方法
出願人
国立大学法人大阪大学
代理人
弁理士法人 HARAKENZO WORLD PATENT & TRADEMARK
主分類
C09K
5/06 20060101AFI20250612BHJP(染料;ペイント;つや出し剤;天然樹脂;接着剤;他に分類されない組成物;他に分類されない材料の応用)
要約
【課題】再結晶時に要するエネルギーを低減できるセミクラスレートハイドレートを提供する。あるいは、ハロゲン含有化合物などの環境負荷の大きい成分を含有していないセミクラスレートハイドレートを提供する。
【解決手段】本発明の一態様に係るセミクラスレートハイドレートは成分A:水、成分B:テトラアルキルアンモニウムカチオンおよび/またはテトラアルキルホスホニウムカチオン、ならびに成分C:トリカルボン酸アニオンを含んでいる。
【選択図】図3
特許請求の範囲
【請求項1】
下記成分A~Cを含んでいる、セミクラスレートハイドレート:
成分A:水;
成分B:テトラアルキルアンモニウムカチオンおよび/またはテトラアルキルホスホニウムカチオン;
成分C:トリカルボン酸アニオン。
続きを表示(約 820 文字)
【請求項2】
上記成分Bにおいて、中心の窒素原子またはリン原子は、4つのアルキル基と結合しており、このうち、
3つの上記アルキル基の炭素数は、いずれも、3~5個であり、
1つの上記アルキル基の炭素数は、1~6個である、
請求項1に記載のセミクラスレートハイドレート。
【請求項3】
上記成分Cの炭素数は、5~7個である、
請求項1に記載のセミクラスレートハイドレート。
【請求項4】
下記の手順で行う再結晶試験において、セミクラスレートハイドレートに再結晶する、
請求項1に記載のセミクラスレートハイドレート:
1. 1gのセミクラスレートハイドレートを、当該セミクラスレートハイドレートの分解温度よりも5℃高い温度にて30分間保持し、液体に状態変化させる。
2. 上記液体を、上記分解温度よりも10℃低い温度になるまで、0.1℃/分で冷却する。
【請求項5】
ハロゲン化合物を実質的に含んでいない、
請求項1に記載のセミクラスレートハイドレート。
【請求項6】
請求項1~5のいずれか1項に記載のセミクラスレートハイドレートを含んでいる、
蓄熱材。
【請求項7】
下記成分A~Cを含有する混合物を冷却する工程を有する、セミクラスレートハイドレートの製造方法:
成分A:水;
成分B:テトラアルキルアンモニウムカチオンおよび/またはテトラアルキルホスホニウムカチオン;
成分C:トリカルボン酸アニオン。
【請求項8】
上記冷却における冷却温度をT
A
(℃)、上記セミクラスレートハイドレートの分解温度をT(℃)とすると、下記の関係が成立する、
請求項7に記載の製造方法。
T-T
A
≦10℃
発明の詳細な説明
【技術分野】
【0001】
本発明は、セミクラスレートハイドレートおよびその製造方法に関する。
続きを表示(約 2,600 文字)
【背景技術】
【0002】
水分子にある種のゲスト物質を混合して冷却すると、クラスレートハイドレートと呼ばれる結晶体が形成されることが知られている。クラスレートハイドレートにおいては、複数の水分子が籠状の結晶構造を形成しており、この籠の中にゲスト物質が包接されている。クラスレートハイドレートの中でも、籠状の結晶構造の形成にゲスト物質の分子が参加するものを、セミクラスレートハイドレートと称する。
【0003】
セミクラスレートハイドレートは、結晶が分解するときの潜熱が大きいため、蓄熱材としての応用が検討されている。例えば、特許文献1は、臭化テトラブチルアンモニウムをゲスト物質とするセミクラスレートハイドレートを開示している。ただし、このセミクラスレートハイドレートは、ゲスト物質がハロゲン原子を含有しているので、環境負荷が大きく、腐食性も高いという課題があった。
【0004】
これに対して、ハロゲン原子を含有していないゲスト分子を採用したセミクラスレートハイドレートも検討されている。特許文献2は、テトラブチルアンモニウムカチオンおよびR-COOで表されるモノカルボン酸アニオンをゲスト物質とするセミクラスレートハイドレートを開示している。特許文献3は、テトラブチルアンモニウムカチオンおよび
-
O
2
C-R
1
-CO
2
-
で表されるジカルボン酸アニオンをゲスト物質とするセミクラスレートハイドレートを開示している。
【先行技術文献】
【特許文献】
【0005】
国際公開第2019/013161号
特開2019-044095号
特開2020-147718号
【発明の概要】
【発明が解決しようとする課題】
【0006】
特許文献2、3に開示されているセミクラスレートハイドレートは、後述するメモリ効果が小さく、一旦液体に状態変化したセミクラスレートハイドレートを再結晶させるのに要するエネルギーが大きいという課題があった。
【0007】
本発明の一態様は、再結晶時に要するエネルギーを低減できるセミクラスレートハイドレートを提供することを課題とする。本発明の他の態様は、腐食性や環境負荷の大きいハロゲン含有化合物を含有していないセミクラスレートハイドレートを提供することを課題とする。
【課題を解決するための手段】
【0008】
本発明には、下記の態様が含まれる。
<1>
下記成分A~Cを含んでいる、セミクラスレートハイドレート:
成分A:水;
成分B:テトラアルキルアンモニウムカチオンおよび/またはテトラアルキルホスホニウムカチオン;
成分C:トリカルボン酸アニオン。
<2>
上記成分Bにおいて、中心の窒素原子またはリン原子は、4つのアルキル基と結合しており、このうち、
3つの上記アルキル基の炭素数は、いずれも、3~5個であり、
1つの上記アルキル基の炭素数は、1~6個である、
<1>に記載のセミクラスレートハイドレート。
<3>
上記成分Cの炭素数は、5~7個である、
<1>または<2>に記載のセミクラスレートハイドレート。
<4>
下記の手順で行う再結晶試験において、セミクラスレートハイドレートに再結晶する、
<1>~<3>のいずれかに記載のセミクラスレートハイドレート:
1. 1gのセミクラスレートハイドレートを、当該セミクラスレートハイドレートの分解温度よりも5℃高い温度にて30分間保持し、液体に状態変化させる。
2. 上記液体を、上記分解温度よりも10℃低い温度になるまで、0.1℃/分で冷却する。
<5>
ハロゲン化合物を実質的に含んでいない、
<1>~<4>のいずれかに記載のセミクラスレートハイドレート。
<6>
<1>~<5>のいずれかに記載のセミクラスレートハイドレートを含んでいる、
蓄熱材。
<7>
下記成分A~Cを含有する混合物を冷却する工程を有する、セミクラスレートハイドレートの製造方法:
成分A:水;
成分B:テトラアルキルアンモニウムカチオンおよび/またはテトラアルキルホスホニウムカチオン;
成分C:トリカルボン酸アニオン。
<8>
上記冷却における冷却温度をT
A
(℃)、上記セミクラスレートハイドレートの分解温度をT(℃)とすると、下記の関係が成立する、
<7>に記載の製造方法。
T-T
A
≦10℃
【発明の効果】
【0009】
本発明の一態様によれば、再結晶時に要するエネルギーを低減できるセミクラスレートハイドレートが提供される。本発明の他の態様によれば、ハロゲン含有化合物などの環境負荷の大きい成分を含有していないセミクラスレートハイドレートが提供される。
【図面の簡単な説明】
【0010】
製造例1で製造したセミクラスレートハイドレートにおいて、ゲスト物質の濃度を変化させた際の、分解温度および分解熱を表すグラフである。
製造例2で製造したセミクラスレートハイドレートにおいて、ゲスト物質の濃度を変化させた際の、分解温度および分解熱を表すグラフである。
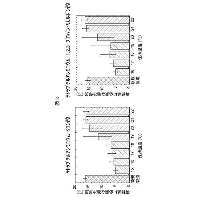
実施例に係るセミクラスレートハイドレートのメモリ効果を表すグラフである。
比較例に係るセミクラスレートハイドレートのメモリ効果を表すグラフである。ゲスト物質として、トリカルボン酸に代えてモノカルボン酸を採用している。
比較例に係るセミクラスレートハイドレートのメモリ効果を表すグラフである。ゲスト物質として、トリカルボン酸に代えてジカルボン酸を採用している。
【発明を実施するための形態】
(【0011】以降は省略されています)
この特許をJ-PlatPat(特許庁公式サイト)で参照する
関連特許
国立大学法人大阪大学
モータ装置
27日前
大和ハウス工業株式会社
反応装置
1か月前
大和ハウス工業株式会社
反応装置
1か月前
国立大学法人大阪大学
CTAT電流生成回路及びBGR回路
9日前
国立大学法人大阪大学
溶融試料浮遊装置および溶融試料浮遊方法
28日前
株式会社トクヤマ
ケトン誘導体の製造方法
20日前
株式会社アイシン
フッ化物イオン電池用電解液
27日前
ウシオ電機株式会社
半導体レーザ素子および発光装置
1か月前
日本電気株式会社
推定装置、推定方法及びプログラム
28日前
日東紡績株式会社
電池用活物質、電池用電極及び電池
29日前
株式会社ジャパンディスプレイ
液晶光学素子の製造方法
20日前
NTT株式会社
量子鍵配送システム及び量子鍵配送方法
29日前
国立大学法人大阪大学
コンピュータプログラム、情報処理方法及び情報処理装置
29日前
国立大学法人大阪大学
直交変調装置、スプリアス補正方法及び直交変調の補正方法
27日前
カナデビア株式会社
線形摩擦接合方法および線形摩擦接合装置
29日前
国立大学法人大阪大学
クローン性造血及び/又はクローン性造血関連疾患を検査する方法
13日前
神鋼鋼線工業株式会社
長尺の複合材料及び長尺の複合材料の製造方法
21日前
カナデビア株式会社
情報処理装置、学習方法、および学習プログラム
1か月前
大成建設株式会社
上面増厚床版の非破壊評価方法及び非破壊評価システム
1か月前
国立大学法人群馬大学
発泡金属体形成用ワイヤ及び発泡金属体の形成方法
8日前
国立大学法人大阪大学
雨量データ補正方法、雨量データ補正システム、雨量データ補正プログラム、および補正装置
1か月前
国立大学法人大阪大学
時系列予測モデル、時系列予測システム、情報処理装置、情報処理方法及び情報処理プログラム
29日前
日本無線株式会社
送信ビームパターン形成装置及びレーダ装置
23日前
国立大学法人大阪大学
DNAが編集された真核細胞を製造する方法、および当該方法に用いられるキット
23日前
日本無線株式会社
送信ビーム形成装置、送信ビーム形成プログラム、受信ビーム形成装置、受信ビーム形成プログラム及びレーダ装置
1日前
AVITA株式会社
情報処理装置、制御プログラム、制御方法および情報処理システム
20日前
国立大学法人東京科学大学
リン酸カルシウム-炭素原子-酸化ジルコニウム複合体、修復材料、医療機器、リン酸カルシウム-炭素原子-酸化ジルコニウム複合体の製造方法
29日前
ベック株式会社
被覆材
4か月前
日本化薬株式会社
インク
1か月前
ベック株式会社
水性被覆材
29日前
ベック株式会社
被膜形成方法
1か月前
ベック株式会社
被膜形成方法
3か月前
日本製紙株式会社
圧着紙
27日前
日本化薬株式会社
インク組成物
1か月前
日本化薬株式会社
前処理組成物
27日前
個人
絵具及び絵具セット
14日前
続きを見る
他の特許を見る