TOP
|
特許
|
意匠
|
商標
特許ウォッチ
Twitter
他の特許を見る
公開番号
2025163464
公報種別
公開特許公報(A)
公開日
2025-10-29
出願番号
2024066741
出願日
2024-04-17
発明の名称
発泡金属体形成用ワイヤ及び発泡金属体の形成方法
出願人
国立大学法人群馬大学
,
国立大学法人大阪大学
代理人
個人
,
個人
,
個人
主分類
B23K
35/368 20060101AFI20251022BHJP(工作機械;他に分類されない金属加工)
要約
【課題】WAAM法で形成される発泡金属体の更なる高品質化が図られる発泡金属体形成用ワイヤ及び発泡金属体の形成方法を提供する。
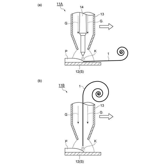
【解決手段】発泡金属体形成用ワイヤ1は、加熱によって発泡する金属プリカーサ4を芯材2として構成されている。発泡金属体形成用ワイヤ1では、アークK等で加熱することで金属プリカーサ4が発泡し、高い気孔率で微細な独立気孔を内包する発泡金属体Pを対象物S上に形成することができる。したがって、WAAM法で形成される発泡金属体Pの更なる高品質化が図られる。
【選択図】図1
特許請求の範囲
【請求項1】
加熱によって発泡する金属プリカーサを芯材とする発泡金属体形成用ワイヤ。
続きを表示(約 340 文字)
【請求項2】
前記芯材の周面を覆うように、溶接性を有する合金による外郭材が設けられている、請求項1記載の発泡金属体形成用ワイヤ。
【請求項3】
前記外郭材は、前記金属プリカーサに含まれる金属の合金によって構成されている、請求項2記載の発泡金属体形成用ワイヤ。
【請求項4】
前記金属プリカーサは、発泡剤及び増粘剤を含んで構成されている、請求項1記載の発泡金属体形成用ワイヤ。
【請求項5】
対象物上にアークを発生させ、
請求項1~4のいずれか一項に記載の発泡金属体形成用ワイヤを前記アークで加熱し、前記金属プリカーサを発泡させながら肉盛溶接を行うことで前記対象物上に発泡金属体を積層する、発泡金属体の形成方法。
発明の詳細な説明
【技術分野】
【0001】
本開示は、発泡金属体形成用ワイヤ及び発泡金属体の形成方法に関する。
続きを表示(約 1,300 文字)
【背景技術】
【0002】
アルミニウムなどを用いた発泡金属体は、軽量で強度にも優れるため、金属三次元プリンタのメディアとしての利用が期待されている。三次元造形の手法としては、対象物に発泡金属体の積層を繰り返していくアディティブマニュファクチャリング(Additive manufacturing)法(以下、「AM法」と記す)が知られている。
【0003】
AM法に関する従来の技術としては、例えば特許文献1に記載の多孔質アルミニウム層の形成方法が挙げられる。この従来の形成方法では、交流電源を用いてアルミニウム又はアルミニウム合金の基材上にアークを発生させ、アルミニウム又はアルミニウム合金の粉体をアーク中に投入することで、基材上に多孔質アルミニウム層を形成する。
【先行技術文献】
【特許文献】
【0004】
特開2004-114054号公報
【発明の概要】
【発明が解決しようとする課題】
【0005】
近年では、AM法の中でも、ワイヤ状の材料をアーク加熱で溶接することで、対象物に発泡金属体の積層を繰り返していくワイヤーアークアディティブマニュファクチャリング(Wire Arc Additive Manufacturing)法(以下、「WAAM法」と記す)が注目されている。WAAM法では、ワイヤが比較的安価であり、取り扱いも容易といったメリットがあり、WAAM法で形成される発泡金属体の更なる高品質化が求められている。
【0006】
本開示は、上記課題の解決のためになされたものであり、WAAM法で形成される発泡金属体の更なる高品質化が図られる発泡金属体形成用ワイヤ及び発泡金属体の形成方法を提供することを目的とする。
【課題を解決するための手段】
【0007】
本開示の要旨は、以下に示すとおりである。
【0008】
[1]加熱によって発泡する金属プリカーサを芯材とする発泡金属体形成用ワイヤ。
【0009】
この発泡金属体形成用ワイヤでは、加熱によって発泡する金属プリカーサを芯材としている。この発泡金属体形成用ワイヤでは、例えばアークで加熱することで金属プリカーサが発泡し、高い気孔率で微細な独立気孔を内包する発泡金属体を対象物上に形成することができる。したがって、WAAM法で形成される発泡金属体の更なる高品質化が図られる。
【0010】
[2]前記芯材の周面を覆うように、溶接性を有する合金による外郭材が設けられている、[1]記載の発泡金属体形成用ワイヤ。この場合、発泡金属体形成用ワイヤの製造の際に、外郭材によって金属プリカーサを保護できる。したがって、発泡金属体形成用ワイヤの製造歩留まりの向上が図られる。また、溶接性を有する合金で外郭材を構成することで、金属プリカーサを加熱した際の発泡金属体と対象物との結合がサポートされる。したがって、対象物に対する発泡金属体の積層強度を高めることが可能となる。
(【0011】以降は省略されています)
特許ウォッチbot のツイートを見る
この特許をJ-PlatPat(特許庁公式サイト)で参照する
関連特許
国立大学法人群馬大学
構造体を作製する方法
1か月前
国立大学法人群馬大学
炭素触媒、電極及び電池
6か月前
国立大学法人群馬大学
支持構造の異常検知方法
2か月前
国立大学法人群馬大学
支持構造の異常検知方法
2か月前
国立大学法人群馬大学
塩応答性材料およびその使用
4か月前
国立大学法人群馬大学
磁気浮上装置の制御システム
5か月前
日本農薬株式会社
抗真菌薬点眼剤
7か月前
国立大学法人群馬大学
運動機能検査における評価システム
2か月前
日清紡ホールディングス株式会社
触媒
3か月前
国立大学法人群馬大学
生分解性樹脂の海洋生分解速度制御方法
4か月前
国立大学法人群馬大学
めっき成形体及びめっき成形体の製造方法
7か月前
国立大学法人群馬大学
海洋生分解性樹脂組成物および分解速度促進剤
2日前
群馬県
三面型振動試験用治具
3か月前
国立大学法人群馬大学
NADPHを補酵素とする酵素の高感度活性測定法
2か月前
国立大学法人群馬大学
発泡金属体形成用ワイヤ及び発泡金属体の形成方法
1か月前
国立大学法人群馬大学
部材のリサイクル方法及びリサイクル接合部材の製造方法
8か月前
株式会社SUBARU
評価方法、情報処理装置及び評価システム
4か月前
福助工業株式会社
複合粉末の製造方法及び生分解性樹脂組成物の製造方法
4か月前
国立大学法人群馬大学
超高分子量ポリエチレン製フィルム及びポリオレフィン製フィルムの製造方法
3日前
国立大学法人群馬大学
生体組織硬さ測定用の加振器付きアタッチメント及びこれを備えた生体組織の硬さ測定装置
2か月前
株式会社Laboko
微細構造体デバイス製造システム及び微細構造体デバイス製造方法
6か月前
タキロンシーアイ株式会社
多孔フィルムの製造方法
29日前
国立大学法人群馬大学
せん断波伝播速度推定による靭帯ないし腱の状態表示方法、及びこれを備えた靭帯ないし腱の状態表示システム
2か月前
個人
タップ
7か月前
個人
フライス盤
2か月前
個人
加工機
6か月前
麗豊実業股フン有限公司
ラクトバチルス・パラカセイNB23菌株及びそれを筋肉量の増加や抗メタボリック症候群に用いる用途
6か月前
日東精工株式会社
ねじ締め機
8か月前
日東精工株式会社
ねじ締め機
2か月前
日東精工株式会社
ねじ締め機
3か月前
日東精工株式会社
ねじ締め機
6か月前
株式会社不二越
ドリル
6か月前
株式会社不二越
ドリル
7か月前
株式会社北川鉄工所
回転装置
5か月前
日東精工株式会社
ねじ締め機
1か月前
株式会社ダイヘン
溶接電源装置
4か月前
続きを見る
他の特許を見る