TOP
|
特許
|
意匠
|
商標
特許ウォッチ
Twitter
他の特許を見る
10個以上の画像は省略されています。
公開番号
2025162720
公報種別
公開特許公報(A)
公開日
2025-10-28
出願番号
2024066102
出願日
2024-04-16
発明の名称
CTAT電流生成回路及びBGR回路
出願人
国立大学法人大阪大学
代理人
弁理士法人 楓国際特許事務所
主分類
G05F
3/30 20060101AFI20251021BHJP(制御;調整)
要約
【課題】抵抗の占有面積を削減してコンパクト化を図る。
【解決手段】CTAT電流生成回路11は、カレントミラー回路111と、一方の電流パスに直列接続されたN個(N≧2)のトランジスタMD
1
~MD
N
と、他方の電流パスに接続されたトランジスタM
1
と、出力ラインに直列接続されたトランジスタM
2
および抵抗R
1
’とを備え、トランジスタM
1
は、ゲートGがトランジスタM
2
と抵抗R
1
’との接続点に接続され、トランジスタM
2
は、ゲートGがカレントミラー回路111とトランジスタM
1
との接続点に接続され、トランジスタMD
1
のゲートGに、PTAT電流生成回路10からのバンドギャップ電圧に対応する出力電圧V
BE1
が印加される。
【選択図】図3
特許請求の範囲
【請求項1】
左右の電流パスを有するカレントミラー回路と、
一方の電流パスに直列接続されたN個(N≧2)のトランジスタと、
他方の電流パスに接続された第1のトランジスタと、
出力ラインに直列接続された第2のトランジスタおよび抵抗とを備え、
前記N個のトランジスタのうち前記カレントミラー回路と接続されたトランジスタの制御端に、電圧V
BE1
が印加され、
前記第1のトランジスタの制御端と前記第2のトランジスタと前記抵抗との接続点の電位をV
BE1
/Nとする、CTAT電流生成回路。
続きを表示(約 770 文字)
【請求項2】
左右の電流パスを有するカレントミラー回路と、
一方の電流パスに直列接続されたN個(N≧2)のトランジスタと、
他方の電流パスに接続された第1のトランジスタと、
出力ラインに直列接続された第2のトランジスタおよび抵抗とを備え、
前記第1のトランジスタは、制御端が前記第2のトランジスタと前記抵抗との接続点に接続され、
前記第2のトランジスタは、制御端が前記カレントミラー回路と前記第1のトランジスタとの接続点に接続され、
前記N個のトランジスタのうち前記カレントミラー回路と接続されたトランジスタの制御端に、PTAT電流生成回路からのバンドギャップ電圧に対応する出力電圧が印加されるCTAT電流生成回路。
【請求項3】
前記バンドギャップ電圧は、シリコンのバンドギャップ電圧である請求項1に記載のCTAT電流生成回路。
【請求項4】
前記各トランジスタは、MOSトランジスタである請求項1に記載のCTAT電流生成回路。
【請求項5】
左右の電流パスを有するPTAT電流生成回路と、
請求項2~4のいずれかに記載のCTAT電流生成回路と、
前記PTAT電流生成回路および前記CTAT電流生成回路の各電流パスに流れる電流をカレントミラー回路を介して出力し、加算する加算回路とを備えたBGR回路。
【請求項6】
前記加算回路は、加算した出力を電圧に変換して出力する抵抗を備えた請求項5に記載のBGR回路。
【請求項7】
前記加算回路の出力が0を検知すると、スタートアップ信号を生成して前記PTAT電流生成回路に出力するスタートアップ回路を備えた請求項5に記載のBGR回路。
発明の詳細な説明
【技術分野】
【0001】
本発明は、主に低消費電力で動作するCTAT電流生成回路及びBGR回路に関する。
続きを表示(約 1,500 文字)
【背景技術】
【0002】
半導体集積回路(LSI:Large Scale Integration)において、参照電圧源回路はアナログ信号処理で必須となる回路ブロックである。一般にLSIは、製造プロセス(Process)、電源電圧(Voltage)、そして動作温度(Temperature)の変化に対して、その出力電圧が変化しないことが求められる。各項目の変化はPVTばらつきと呼び、特に参照電圧源回路には高いPVTばらつき耐性が求められる。
【0003】
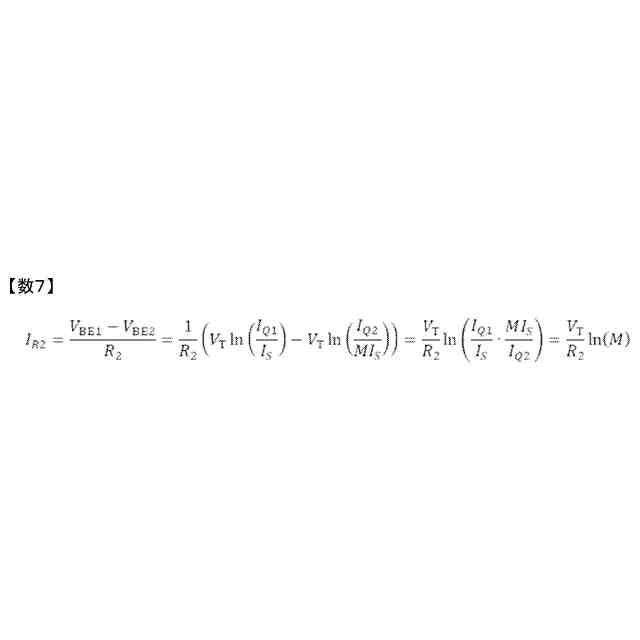
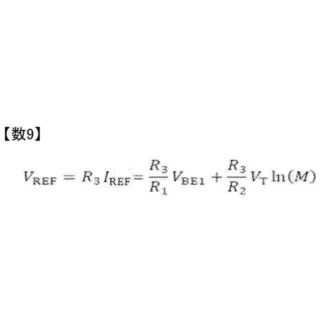
参照電圧源回路として、シリコンのバンドギャップ電圧(1.2V)を参照した電圧を生成するバンドギャップリファレンス(BGR:BandGap Reference)回路が知られている。BGR回路は,高いPVTばらつき耐性を有し、オンチップ参照電圧源回路として幅広く使用されている。
【0004】
これまで様々なアーキテクチャのBGR回路が提案されてきた。その中でも、非特許文献1には、使用する抵抗比に応じて出力電圧を変化させることができる低電圧BGR回路が提案されている。また、この低電圧BGR回路は、1ボルト以下の低電圧で動作でき、低消費電力かつ参照電圧を任意に設定できる。動作電流の温度依存性を制御できるため、参照電流源としても使用することができ、注目されている。
【先行技術文献】
【非特許文献】
【0005】
H. Banba et al., “A CMOS bandgap reference circuit with sub-1-V operation,” in IEEE Journal of Solid-State Circuits, vol. 34, no. 5, pp. 670-674, May 1999, doi: 10.1109/4.760378.
【発明の概要】
【発明が解決しようとする課題】
【0006】
しかしながら、非特許文献1に記載の低電圧BGR回路は、消費電力を削減するために、流れる電流をナノアンペアオーダーに設定すると、使用する抵抗を極めて大きいものにする必要がある。かかる抵抗値の増大は、LSIチップ上に実装する抵抗の面積の増大を招き、またコストアップにつながる課題がある。
【0007】
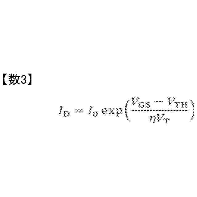
以下、かかる課題に関してより具体的に説明する。まず、低電圧BGR回路を説明する上で必要となるバイポーラトランジスタおよびサブスレッショルド領域で動作するMOSFETのデバイス特性、次いで非特許文献1に記載の低電圧BGR回路の動作について図1、図2を参照しつつ説明する。
【0008】
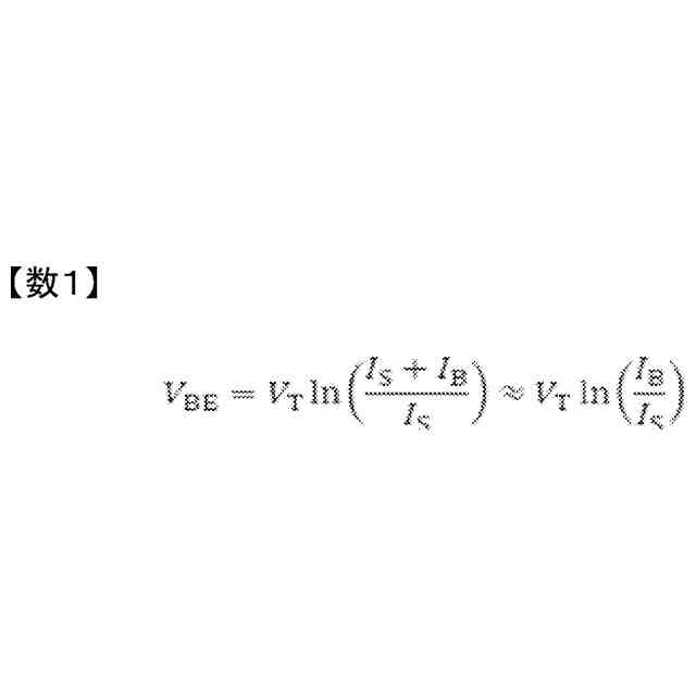
<A.1>デバイス特性の概要
<A.1.1>バイポーラトランジスタ特性
バイポーラトランジスタのベース・エミッタ間電圧V
BE
は、流れる電流をI
B
とするとき、数1で表される。
【0009】
TIFF
2025162720000002.tif
20
170
【0010】
ここで、I
S
は飽和電流、V
T
は熱電圧(V
T
=K
B
T/q)、K
B
はボルツマン定数、Tは絶対温度、qは電気素量である。また、V
BE
は、絶対温度に対して負の温度特性を持つため、I
B
の温度特性が小さいとき、数2のように近似できる。
(【0011】以降は省略されています)
特許ウォッチbot のツイートを見る
この特許をJ-PlatPat(特許庁公式サイト)で参照する
関連特許
国立大学法人大阪大学
細胞シート
5か月前
国立大学法人大阪大学
モータ装置
1か月前
国立大学法人大阪大学
半月板の治療薬
2か月前
国立大学法人大阪大学
眼瞼痙攣緩和具
4か月前
国立大学法人大阪大学
ロボットハンド
2か月前
国立大学法人大阪大学
漏洩情報抑制回路
4か月前
国立大学法人大阪大学
動体視力向上用組成物
14日前
国立大学法人大阪大学
試料中の標的物質の検出
2か月前
国立大学法人大阪大学
化学反応方法及び反応装置
2か月前
トヨタ自動車株式会社
電池
5か月前
国立大学法人大阪大学
電気泳動装置および電気泳動法
2か月前
大和ハウス工業株式会社
反応装置
1か月前
大和ハウス工業株式会社
反応装置
1か月前
川崎重工業株式会社
ゼオライト触媒
1か月前
国立大学法人大阪大学
化合物の製造方法、及び金属多核錯体
2か月前
国立大学法人大阪大学
CTAT電流生成回路及びBGR回路
29日前
国立大学法人大阪大学
タンパク質間相互作用を可視化する方法
2か月前
国立大学法人大阪大学
溶融試料浮遊装置および溶融試料浮遊方法
1か月前
株式会社トクヤマ
ケトン誘導体の製造方法
1か月前
株式会社トクヤマ
ケトン誘導体の製造方法
4か月前
国立大学法人大阪大学
ナノダイヤモンドの製造方法および製造装置
5か月前
セイコーグループ株式会社
生体電位計測装置
2か月前
セイコーグループ株式会社
生体電位計測装置
2か月前
株式会社アイシン
フッ化物イオン電池用電解液
1か月前
日東紡績株式会社
二酸化炭素の吸収又は脱着剤
3か月前
国立大学法人大阪大学
セミクラスレートハイドレートおよびその製造方法
5か月前
国立大学法人大阪大学
トラッキング装置、トラッキング方法及びプログラム
4か月前
エヌ・イーケムキャット株式会社
還元的アミノ化触媒
3か月前
日東紡績株式会社
電池用活物質、電池用電極及び電池
1か月前
日本電気株式会社
推定装置、推定方法及びプログラム
1か月前
ウシオ電機株式会社
半導体レーザ素子および発光装置
1か月前
ウシオ電機株式会社
半導体レーザ素子および発光装置
1か月前
株式会社ジャパンディスプレイ
液晶光学素子の製造方法
1か月前
大成建設株式会社
汚泥処理方法および汚泥処理システム
2か月前
国立大学法人大阪大学
コンピュータプログラム、情報処理方法及び情報処理装置
1か月前
NTT株式会社
量子鍵配送システム及び量子鍵配送方法
1か月前
続きを見る
他の特許を見る