TOP
|
特許
|
意匠
|
商標
特許ウォッチ
Twitter
他の特許を見る
公開番号
2025149643
公報種別
公開特許公報(A)
公開日
2025-10-08
出願番号
2024050406
出願日
2024-03-26
発明の名称
電池用活物質、電池用電極及び電池
出願人
日東紡績株式会社
,
国立大学法人大阪大学
代理人
個人
,
個人
,
個人
主分類
H01M
4/60 20060101AFI20251001BHJP(基本的電気素子)
要約
【課題】5C以下の低クーロンレート条件における充電容量及びクーロン効率に優れる電池用電極を得ることのできる、電池用活物質を提供する。また、この電池用活物質を含む電池用電極及びこの電池用電極を有する電池を提供する。
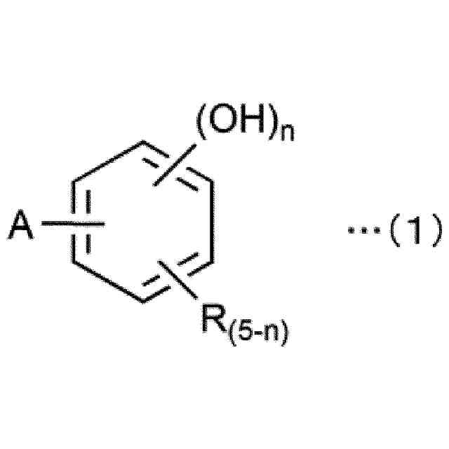
【解決手段】ポリアリルアミンと、下記一般式(1)で表され、前記ポリアリルアミンを構成する3-アミノプロピレン繰返し単位のアミノ基の少なくとも1つと結合する化合物と、の反応物からなる電池用活物質。
<com:Image com:imageContentCategory="Drawing"> <com:ImageFormatCategory>TIFF</com:ImageFormatCategory> <com:FileName>2025149643000005.tif</com:FileName> <com:HeightMeasure com:measureUnitCode="Mm">30</com:HeightMeasure> <com:WidthMeasure com:measureUnitCode="Mm">149</com:WidthMeasure> </com:Image>
[式中、Aは前記アミノ基と結合する基、nは1~5の数、Rはそれぞれ独立に水素原子又は炭素数が1以上4以下の炭化水素基を示し、Rとして2以上の炭化水素基が存在するときは、それらは一緒になって縮合環を形成してもよい。]
【選択図】なし
特許請求の範囲
【請求項1】
ポリアリルアミンと、下記一般式(1)で表され、前記ポリアリルアミンを構成する3-アミノプロピレン繰返し単位のアミノ基の少なくとも1つと結合する化合物と、の反応物からなる電池用活物質。
TIFF
2025149643000004.tif
30
149
[式中、Aは前記アミノ基と結合する基、nは1~5の数、Rはそれぞれ独立に水素原子又は炭素数が1以上4以下の炭化水素基を示し、Rとして2以上の炭化水素基が存在するときは、それらは一緒になって縮合環を形成してもよい。]
続きを表示(約 470 文字)
【請求項2】
前記3-アミノプロピレン繰返し単位と、前記一般式(1)で表される化合物との結合により、-NH-CO-、-N=CH-、-NH-CO-NH-、-NH-CH
2
-C(OH)H-、-NH-CH
2
-及び-NH-CH
2
-CH
2
-からなる群から選ばれる少なくとも1種の基が形成されている、請求項1に記載の電池用活物質。
【請求項3】
nは2である、請求項1に記載の電池用活物質。
【請求項4】
前記一般式(1)で表される前記化合物は、ジヒドロキシ安息香酸である、請求項1に記載の電池用活物質。
【請求項5】
前記3-アミノプロピレン繰返し単位のうち、1%以上は前記一般式(1)で表される化合物と結合している、請求項1に記載の電池用活物質。
【請求項6】
請求項1~5のいずれか一項に記載の電池用活物質を含む電池用電極。
【請求項7】
請求項6に記載の電極を備える電池。
発明の詳細な説明
【技術分野】
【0001】
本開示は、電池用活物質、電池用電極及び電池に関する。
続きを表示(約 2,000 文字)
【背景技術】
【0002】
リチウムイオン二次電池は、エネルギー密度が他の二次電池より高いことから、モバイル機器や車両用に近年普及が進んでいる。リチウムイオン二次電池の電極には、活物質として正極にリチウム化合物(リチウムイオンを含んだ金属酸化物等)、負極に黒鉛などのカーボン材料を含んでいるものがある。なお、二次電池の負極は充電時にデンドライトが発生するという問題がある。
【0003】
10Cを超える高速な充放電が可能な全固体二次電池や空気二次電池などの開発が進められている。例えば、非特許文献1には、負極活物質として、4,5-ジヒドロキシアントラキノンとポリアリルアミンを縮合させた1,8‐ジヒドロキシアントラキノン置換ポリアリルアミンを用いた有機空気二次電池が開示されている。
【先行技術文献】
【非特許文献】
【0004】
Kouki Oka et al.,“HydrophilicAnthraquinone-Substituted Polymer: Its Environmentally Friendly Preparation andEfficient Charge/Proton-Storage Capability for Polymer-Air SecondaryBatteries”,Macromolecules,2021 American Chemical Society,米国,2021年,54(10),pp.4854-4859
【発明の概要】
【発明が解決しようとする課題】
【0005】
しかし、非特許文献1に開示されている活物質を用いた電極は、低クーロンレート条件におけるクーロン効率が不十分である。
【0006】
そこで、本開示は、5C以下の低クーロンレート条件における充電容量及びクーロン効率に優れる電池用電極を得ることのできる、電池用活物質を提供することを目的とする。本開示はまた、この電池用活物質を含む電池用電極及びこの電池用電極を有する電池を提供することを目的とする。
【課題を解決するための手段】
【0007】
本開示は以下の[1]~[7]を提供する。
[1]ポリアリルアミンと、下記一般式(1)で表され、上記ポリアリルアミンを構成する3-アミノプロピレン繰返し単位のアミノ基の少なくとも1つと結合する化合物との反応物からなる電池用活物質。
TIFF
2025149643000001.tif
30
149
[式中、Aは上記アミノ基と結合する基、nは1~5の数、Rはそれぞれ独立に水素原子又は炭素数が1以上4以下の炭化水素基を示し、Rとして2以上の炭化水素基が存在するときは、それらは一緒になって縮合環を形成してもよい。]
【0008】
なお、一般式(1)において、-(OH)
n
はn個の水酸基がベンゼン環と結合していることを意味し、-R
(5-n)
は(5-n)個のRがベンゼン環と結合していることを意味する。
【0009】
電池用活物質は上記構成を備えることにより、電池用活物質を適用して得られる電池用電極が低クーロンレート条件における充電容量及びクーロン効率に優れるという効果を生じる。さらに、この電池用活物質は空気中において十分な安定性を有するため、これを用いて得られる電池用電極が空気と反応することによる劣化若しくは発熱を生じ難く、このような電池用電極を備える電池を単純な構成とすることができる。この電池用活物質はプロトンを反応に利用するため、デンドライトが生成されることを抑制できる。また、この電池用活物質を含む電極は、充放電の繰り返しによる放電容量の低下を抑制できる。
【0010】
[2]上記3-アミノプロピレン繰返し単位と、上記一般式(1)で表される化合物との結合により、-NH-CO-、-N=CH-、-NH-CO-NH-、-NH-CH
2
-C(OH)H-、-NH-CH
2
-及び-NH-CH
2
-CH
2
-からなる群から選ばれる少なくとも1種の基が形成されている、[1]に記載の電池用活物質。すなわち、上記反応物は、上記3-アミノプロピレン繰返し単位と、上記一般式(1)で表される化合物との結合に基づく、-NH-CO-、-N=CH-、-NH-CO-NH-、-NH-CH
2
-C(OH)H-、-NH-CH
2
-及び-NH-CH
2
-CH
2
-からなる群より選ばれる少なくとも1種の基を備えている、[1]に記載の電池用活物質。
(【0011】以降は省略されています)
この特許をJ-PlatPat(特許庁公式サイト)で参照する
関連特許
日東紡績株式会社
電池用活物質、電池用電極及び電池
3日前
日東紡績株式会社
両性共重合体を含有するタンパク質吸着抑制材料
1か月前
日東紡績株式会社
組成出力装置、組成出力方法及び組成出力プログラム
1日前
日東紡績株式会社
遺伝子の細胞内導入に用いられるカチオン性基を有する(共)重合体
3日前
日本発條株式会社
積層体
12日前
個人
フレキシブル電気化学素子
1日前
ローム株式会社
半導体装置
10日前
ローム株式会社
半導体装置
3日前
ローム株式会社
半導体装置
8日前
ローム株式会社
半導体装置
10日前
株式会社ユーシン
操作装置
1日前
ローム株式会社
半導体装置
10日前
個人
防雪防塵カバー
12日前
ニチコン株式会社
コンデンサ
24日前
ニチコン株式会社
コンデンサ
24日前
株式会社GSユアサ
蓄電装置
8日前
株式会社ホロン
冷陰極電子源
8日前
個人
半導体パッケージ用ガラス基板
11日前
株式会社GSユアサ
蓄電装置
12日前
太陽誘電株式会社
全固体電池
8日前
オムロン株式会社
電磁継電器
2日前
株式会社ティラド
面接触型熱交換器
23日前
株式会社GSユアサ
蓄電設備
1日前
太陽誘電株式会社
コイル部品
1日前
株式会社GSユアサ
蓄電設備
1日前
ノリタケ株式会社
熱伝導シート
1日前
サクサ株式会社
電池の固定構造
1日前
マクセル株式会社
配列用マスク
23日前
日本特殊陶業株式会社
保持装置
8日前
日本特殊陶業株式会社
保持装置
8日前
日東電工株式会社
積層体
2日前
日本特殊陶業株式会社
保持装置
10日前
TDK株式会社
電子部品
8日前
トヨタ自動車株式会社
二次電池
12日前
トヨタ自動車株式会社
バッテリ
2日前
ローム株式会社
電子装置
12日前
続きを見る
他の特許を見る