TOP
|
特許
|
意匠
|
商標
特許ウォッチ
Twitter
他の特許を見る
公開番号
2025079088
公報種別
公開特許公報(A)
公開日
2025-05-21
出願番号
2023191531
出願日
2023-11-09
発明の名称
糖鎖を有する重合体
出願人
国立大学法人神戸大学
,
ナガセケムテックス株式会社
,
ナガセヴィータ株式会社
代理人
弁理士法人WisePlus
主分類
C08G
63/12 20060101AFI20250514BHJP(有機高分子化合物;その製造または化学的加工;それに基づく組成物)
要約
【課題】機械強度(弾性率)とガラス転移温度の低下を損なうことなく、加水分解特性に優れた生分解性重合体と、その製造方法を提供する。
【解決手段】多価カルボン酸から誘導される繰返単位を有する重合体であって、重合体の側鎖に糖鎖を含む重合体に関する。
【選択図】なし
特許請求の範囲
【請求項1】
多価カルボン酸から誘導される繰返単位を有する重合体であって、重合体の側鎖に糖鎖を含む重合体。
続きを表示(約 790 文字)
【請求項2】
前記多価カルボン酸が、脂肪族多価カルボン酸である請求項1に記載の重合体。
【請求項3】
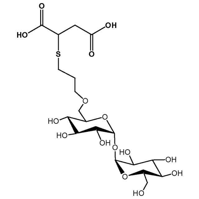
前記脂肪族多価カルボン酸が下記式:
HOOC-R
1
(-S-R
2
-SUG)-COOH
(式中、R
1
およびR
2
は、それぞれ独立に炭素数1~6の二価の直鎖炭化水素基であり、SUGはオリゴ糖の水酸基から水素を除いた一価の基である)
で表されるカルボン酸である請求項2に記載の重合体。
【請求項4】
さらに多価アルコールから誘導される繰返単位を有する請求項1または2に記載の重合体。
【請求項5】
前記多価カルボン酸から誘導される繰返単位が、側鎖に糖鎖を有していない多価カルボン酸から誘導される繰返単位と、側鎖に糖鎖を有する多価カルボン酸から誘導される繰返単位である請求項1または2に記載の重合体。
【請求項6】
重量平均分子量が、5000以上である請求項1または2に記載の重合体。
【請求項7】
液温63℃のpH7のリン酸緩衝液30gに、重合体0.5gを30日間浸漬後の重量が、浸漬前の重量に対し85%以下である請求項1または2に記載の重合体。
【請求項8】
請求項1または2に記載の重合体を含むフィルム。
【請求項9】
側鎖に糖鎖を有する多価カルボン酸を含むモノマーを重合する工程を含む重合体の製造方法。
【請求項10】
前記多価カルボン酸が、側鎖に糖鎖を有していない多価カルボン酸95~99モル%と、側鎖に糖鎖を有する多価カルボン酸1~5モル%との混合物である請求項9に記載の重合体の製造方法。
(【請求項11】以降は省略されています)
発明の詳細な説明
【技術分野】
【0001】
本発明は、糖鎖を有する重合体、および、その製造方法に関する。
続きを表示(約 1,300 文字)
【背景技術】
【0002】
近年、マイクロプラスチックが地球規模で問題となっており、魚や貝などの海洋生物に取り込まれることが報告されている。また、マイクロプラスチックには有害物質や重金属などが吸着していることもあり、これらの物質が生物に移行する可能性も指摘されている。これらの問題を解決するために、海洋中で分解し易い代替材料が求められている。代替材料の一つとして、非石油由来の生分解性プラスチックが注目されている。例えば、ポリヒドロキシアルカノエート(PHA)、ポリ乳酸(PLA)、ポリブチレンサクシネート(PBS)などが挙げられる。中でもポリブチレンサクシネート(PBS)は、再生可能な資源から得られるコハク酸と1,4-ブタンジオールを原料として合成される生分解性プラスチックで、良好な加工性、バランスの取れた機械特性があるため、マルチフィルム、医療機器、食品産業などさまざまな用途で利用されている。
【0003】
たとえば特許文献1や2には、糖鎖を主鎖に導入したポリウレタンが開示されている。しかしながら、主鎖が生分解性ポリマーではないため、海洋分解性は期待出来ない。優れた海洋分解性を実現するためには、生分解性ポリマーを主鎖にして、さらなる生分解性(加水分解特性)の向上が必要である。
【先行技術文献】
【特許文献】
【0004】
国際公開2007-40163号
国際公開2007-88784号
【発明の概要】
【発明が解決しようとする課題】
【0005】
本発明は、機械強度(弾性率)とガラス転移温度の低下を損なうことなく、加水分解特性に優れた生分解性重合体と、その製造方法を提供することを目的とする。
【課題を解決するための手段】
【0006】
本発明者らは、上記課題を解決すべく鋭意研究した結果、多価カルボン酸から誘導される繰返単位を有する重合体の側鎖に糖鎖を導入すれば前述の課題を解決できることを見出し、本発明を完成した。
【0007】
すなわち、本発明(1)は、多価カルボン酸から誘導される繰返単位を有する重合体であって、重合体の側鎖に糖鎖を含む重合体である。
【0008】
本発明(2)は、前記多価カルボン酸が、脂肪族多価カルボン酸である本発明(1)に記載の重合体である。
【0009】
本発明(3)は、前記脂肪族多価カルボン酸が下記式:
HOOC-R
1
(-S-R
2
-SUG)-COOH
(式中、R
1
およびR
2
は、それぞれ独立に炭素数1~6の二価の直鎖炭化水素基であり、SUGはオリゴ糖の水酸基から水素を除いた一価の基である)
で表されるカルボン酸である本発明(2)に記載の重合体である。
【0010】
本発明(4)は、さらに多価アルコールから誘導される繰返単位を有する本発明(1)~(3)のいずれかに記載の重合体である。
(【0011】以降は省略されています)
特許ウォッチbot のツイートを見る
この特許をJ-PlatPat(特許庁公式サイト)で参照する
関連特許
国立大学法人神戸大学
コンバイン
1か月前
国立大学法人神戸大学
糖鎖を有する重合体
6か月前
国立大学法人神戸大学
高効率な酵母遺伝子系
4か月前
国立大学法人神戸大学
抗アレルギー用経口組成物
2か月前
国立大学法人神戸大学
空調システム、及び制御方法
3か月前
国立大学法人神戸大学
空調システム、及び制御方法
3か月前
国立大学法人神戸大学
サーマルサーキットシステム
2か月前
株式会社カネカ
結晶化促進剤
4か月前
国立大学法人神戸大学
イオン液体中の着色成分の除去
2か月前
株式会社カネカ
耐衝撃性改良剤
6か月前
国立大学法人神戸大学
微細藻類培養方法及び油脂製造方法
3か月前
株式会社カネカ
溶血素産生能の評価方法
3か月前
国立大学法人神戸大学
イオン液体中のセルロース由来不純物の除去
2か月前
国立大学法人神戸大学
カルボン酸誘導体およびポリマーの製造方法
2か月前
株式会社NTTドコモ
通信装置及び通信方法
1か月前
花王株式会社
3-ヒドロキシ安息香酸類の製造方法
6か月前
国立大学法人神戸大学
化合物又はその塩、毛髪処理用組成物、及び、方法。
1か月前
国立大学法人神戸大学
単相ダイレクトAC-ACコンバータとその電力制御方法
5か月前
株式会社Preferred Networks
演算装置
3か月前
住友ベークライト株式会社
冷凍生肉用真空包装体の製造方法
5か月前
国立大学法人神戸大学
ダイレクトAC-ACコンバータの電力制御回路及び電力制御方法
3か月前
国立大学法人神戸大学
解析システム、コンピュータ実装方法、及びコンピュータプログラム
2か月前
イカリ消毒株式会社
害虫防除方法、害虫防除剤、及びその製造方法
3か月前
株式会社ファーマフーズ
SARS-CoV-2変異株特異的認識抗体
6か月前
国立大学法人神戸大学
二本鎖DNA合成方法
2か月前
ENEOS株式会社
クレゾール又はベンズアルデヒドの製造方法、及び、触媒
7か月前
三菱重工業株式会社
フォークリフトの制御装置および方法並びにフォークリフト
1か月前
日本新薬株式会社
腎毒性軽減剤
1か月前
国立大学法人神戸大学
塩分除去工法及び塗装塗替え工法
1か月前
国立大学法人神戸大学
浸透圧補助型逆浸透膜装置、有機溶媒を含む水溶液の濃縮装置、及び、水溶液濃縮方法
2か月前
エム・エーライフマテリアルズ株式会社
生分解性樹脂組成物、並びにその繊維、及び不織布
1か月前
東京電力ホールディングス株式会社
流量計測手法、プログラム、情報処理装置及び誤差計測手法
2か月前
ユニチカ株式会社
複合中空糸膜及びその製造方法
1か月前
国立大学法人神戸大学
人工多能性幹細胞由来γδT細胞及びその作製方法
1か月前
国立大学法人神戸大学
細胞の有する二本鎖DNAの標的部位を改変する方法
4か月前
日本電信電話株式会社
学習装置、シミュレーション装置、学習方法、シミュレーション方法、及びプログラム
6か月前
続きを見る
他の特許を見る