TOP特許意匠商標
特許ウォッチ Twitter
公開番号2025077362
公報種別公開特許公報(A)
公開日2025-05-19
出願番号2023189489
出願日2023-11-06
発明の名称学習装置、シミュレーション装置、学習方法、シミュレーション方法、及びプログラム
出願人日本電信電話株式会社,国立大学法人神戸大学
代理人弁理士法人ITOH,個人,個人,個人
主分類G06F 17/13 20060101AFI20250512BHJP(計算;計数)
要約【課題】物理現象の高精度なシミュレーションを実現できる。
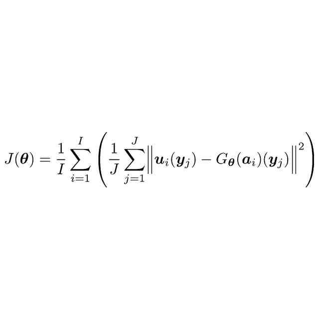
【解決手段】本開示の一態様による学習装置は、所定の物理系における物理現象の条件を表す入力関数と、前記物理現象を表現する微分方程式の解を表す出力関数とのペアで構成される学習データを用いて、所定の目的関数を最小化するように、前記入力関数から前記出力関数への写像を表す解オペレータのパラメータを少なくとも推定するパラメータ推定部、を有し、前記目的関数には、前記学習データに対する前記解オペレータの再現性を評価するための損失と、前記入力関数が与えられたときに前記解オペレータによって予測された前記出力関数の値がエネルギー保存則を満たすようにするための正則化項とが含まれる。
【選択図】図2
特許請求の範囲【請求項1】
所定の物理系における物理現象の条件を表す入力関数と、前記物理現象を表現する微分方程式の解を表す出力関数とのペアで構成される学習データを用いて、所定の目的関数を最小化するように、前記入力関数から前記出力関数への写像を表す解オペレータのパラメータを少なくとも推定するパラメータ推定部、を有し、
前記目的関数には、前記学習データに対する前記解オペレータの再現性を評価するための損失と、前記入力関数が与えられたときに前記解オペレータによって予測された前記出力関数の値がエネルギー保存則を満たすようにするための正則化項とが含まれる、学習装置。
続きを表示(約 1,600 文字)【請求項2】
前記正則化項は、
前記出力関数の値を入力として実数を出力し、かつ、前記エネルギー保存則を表現するエネルギー関数の勾配と所定の歪対称行列との積で表されるシンプレクティック勾配と、前記解オペレータの時間微分とを等しくさせるための項であり、
前記パラメータ推定部は、
前記エネルギー関数のパラメータを更に推定する、請求項1に記載の学習装置。
【請求項3】
前記損失は、
予め決められた離散点における前記出力関数の値と、前記出力関数に対応する前記入力関数から前記解オペレータによって予測された出力関数の前記離散点における値とを等しくさせるための項である、請求項2に記載の学習装置。
【請求項4】
前記目的関数には、前記損失と、正則化パラメータと前記正則化項との積とが含まれ、
前記パラメータ推定部は、
前記正則化パラメータを更に推定する、請求項1乃至3の何れか一項に記載の学習装置。
【請求項5】
所定の物理系における物理現象の条件を表す入力関数と、前記物理現象を表現する微分方程式の解を表す出力関数とのペアで構成される学習データを用いて、所定の目的関数を最小化するように、前記入力関数から前記出力関数への写像を表す解オペレータのパラメータを少なくとも推定するパラメータ推定部と、
前記パラメータ推定部によって推定されたパラメータと、未知の入力関数と、シミュレーション座標と、シミュレーション時間とを用いて、前記解オペレータにより前記未知の入力関数から予測された出力関数の値を算出するシミュレーション部と、
を有し、
前記目的関数には、前記学習データに対する前記解オペレータの再現性を評価するための損失と、前記入力関数が与えられたときに前記解オペレータによって予測された前記出力関数の値がエネルギー保存則を満たすようにするための正則化項とが含まれる、シミュレーション装置。
【請求項6】
所定の物理系における物理現象の条件を表す入力関数と、前記物理現象を表現する微分方程式の解を表す出力関数とのペアで構成される学習データを用いて、所定の目的関数を最小化するように、前記入力関数から前記出力関数への写像を表す解オペレータのパラメータを少なくとも推定するパラメータ推定手順、をコンピュータが実行し、
前記目的関数には、前記学習データに対する前記解オペレータの再現性を評価するための損失と、前記入力関数が与えられたときに前記解オペレータによって予測された前記出力関数の値がエネルギー保存則を満たすようにするための正則化項とが含まれる、学習方法。
【請求項7】
所定の物理系における物理現象の条件を表す入力関数と、前記物理現象を表現する微分方程式の解を表す出力関数とのペアで構成される学習データを用いて、所定の目的関数を最小化するように、前記入力関数から前記出力関数への写像を表す解オペレータのパラメータを少なくとも推定するパラメータ推定手順と、
前記パラメータ推定手順で推定されたパラメータと、未知の入力関数と、シミュレーション座標と、シミュレーション時間とを用いて、前記解オペレータにより前記未知の入力関数から予測された出力関数の値を算出するシミュレーション手順と、
をコンピュータが実行し、
前記目的関数には、前記学習データに対する前記解オペレータの再現性を評価するための損失と、前記入力関数が与えられたときに前記解オペレータによって予測された前記出力関数の値がエネルギー保存則を満たすようにするための正則化項とが含まれる、シミュレーション方法。
【請求項8】
コンピュータを、請求項1に記載の学習装置、又は、請求項5に記載のシミュレーション装置、として機能させるプログラム。

発明の詳細な説明【技術分野】
【0001】
本開示は、学習装置、シミュレーション装置、学習方法、シミュレーション方法、及びプログラムに関する。
続きを表示(約 2,300 文字)【背景技術】
【0002】
センシング技術の発達・普及により、実世界における様々な情報がデータとして蓄積されつつある。そのようなデータを活用し、物理現象を解析することで、新たな自然法則の発見や未来予測等を実現することに注目が集まっている。
【0003】
観測時刻と物理量とのペアを1つのサンプル、その時系列を観測データとする。このとき、機械学習技術を用いることにより、物理現象を効率的にシミュレーションする手法として作用素学習(Operator learning)が提案されている(非特許文献1及び2)。また、観測データに加えて、物理現象を記述する微分方程式を考慮した作用素学習も提案されている(例えば、非特許文献3及び4)。
【0004】
非特許文献1及び2で提案されている作用素学習では、入力関数(例えば、初期条件、境界条件、外力等)から出力関数(微分方程式の解)への写像(作用素)をニューラルネットワークによって学習することにより、任意の入力関数が与えられたときの解を効率的にシミュレーションすることができる。しかしながら、非特許文献1及び2で提案されている作用素学習では、入力関数と出力関数のペアで表される観測データが大量に利用可能であることを仮定している。このため、大量の観測データが利用できない場合、観測データへの過学習が生じ、未知の入力関数に対するシミュレーション精度が低下する可能性がある。これに対して、非特許文献3及び4で提案されている作用素学習では、物理現象を記述する微分方程式に関する損失を追加することにより、大量の観測データを利用できない場合であっても、より高精度なシミュレーションを実現している。
【先行技術文献】
【非特許文献】
【0005】
Z. Li, N. B. Kovachki, K. Azizzadenesheli, B. liu, K. Bhattacharya, A. Stuart, and A. Anandkumar. Fourier neural operator for parametric partial differential equations. In International Conference on Learning Representations, 2021.
L. Lu, P. Jin, G. Pang, Z. Zhang, and G. E. Karniadakis. Learning nonlinear operators via DeepONet based on the universal approximation theorem of operators. Nature Machine Intelligence, 3(3):218-229, 2021.
Z. Li, H. Zheng, N. Kovachki, D. Jin, H. Chen, B. Liu, K. Azizzadenesheli, and A. Anandkumar. Physicsinformed neural operator for learning partial differential equations. In arXiv, 2023.
S. Wang, H. Wang, and P. Perdikaris. Learning the solution operator of parametric partial differential equations with physics-informed DeepONets. Science Advances, 7(40):eabi8605, 2021.
【発明の概要】
【発明が解決しようとする課題】
【0006】
しかしながら、非特許文献3及び4で提案されている作用素学習では、微分方程式が既知であることを仮定している。このため、未知の物理現象に対してはシミュレーションの精度が低下する。
【0007】
本開示は、上記の点に鑑みてなされたもので、物理現象の高精度なシミュレーションを実現できる技術を提供する。
【課題を解決するための手段】
【0008】
本開示の一態様による学習装置は、所定の物理系における物理現象の条件を表す入力関数と、前記物理現象を表現する微分方程式の解を表す出力関数とのペアで構成される学習データを用いて、所定の目的関数を最小化するように、前記入力関数から前記出力関数への写像を表す解オペレータのパラメータを少なくとも推定するパラメータ推定部、を有し、前記目的関数には、前記学習データに対する前記解オペレータの再現性を評価するための損失と、前記入力関数が与えられたときに前記解オペレータによって予測された前記出力関数の値がエネルギー保存則を満たすようにするための正則化項とが含まれる。
【発明の効果】
【0009】
物理現象の高精度なシミュレーションを実現できる。
【図面の簡単な説明】
【0010】
本実施形態に係るシミュレーション装置のハードウェア構成の一例を示す図である。
本実施形態に係るシミュレーション装置の機能構成の一例を示す図である。
本実施形態に係るシミュレーション装置が実行する処理の流れの一例を示すフローチャートである。
【発明を実施するための形態】
(【0011】以降は省略されています)

特許ウォッチbot のツイートを見る
この特許をJ-PlatPat(特許庁公式サイト)で参照する

関連特許

東日本電信電話株式会社
ノイズ源推定装置、ノイズ源推定方法、及びノイズ源推定プログラム
2か月前
個人
地球保全システム
11日前
個人
工程設計支援装置
1か月前
個人
QRコードの彩色
2日前
個人
冷凍食品輸出支援構造
1か月前
個人
為替ポイント伊達夢貯
1か月前
個人
残土処理システム
4日前
個人
表変換編集支援システム
1か月前
個人
携帯情報端末装置
1か月前
個人
知的財産出願支援システム
5日前
個人
知財出願支援AIシステム
1か月前
個人
結婚相手紹介支援システム
1か月前
個人
AIによる情報の売買の仲介
1か月前
個人
行動時間管理システム
1か月前
個人
パスワード管理支援システム
1か月前
個人
AIキャラクター制御システム
1か月前
個人
食品レシピ生成システム
10日前
株式会社キーエンス
受発注システム
10日前
個人
パスポートレス入出国システム
1か月前
個人
システム及びプログラム
24日前
株式会社キーエンス
受発注システム
10日前
日本精機株式会社
施工管理システム
1か月前
株式会社アジラ
進入判定装置
1か月前
個人
海外支援型農作物活用システム
23日前
株式会社キーエンス
受発注システム
10日前
個人
社会還元・施設向け供給支援構造
1か月前
個人
人格進化型対話応答制御システム
1か月前
個人
未来型家系図構築システム
23日前
個人
冷凍加工連携型農場運用システム
1か月前
個人
帳票自動生成型SaaSシステム
5日前
個人
食事受注会計処理システム
1か月前
個人
SaaS型勤務調整支援システム
1か月前
個人
音声・通知・再配達UX制御構造
5日前
大同特殊鋼株式会社
疵判定方法
17日前
キヤノン株式会社
表示システム
10日前
サクサ株式会社
中継装置
1か月前
続きを見る