TOP
|
特許
|
意匠
|
商標
特許ウォッチ
Twitter
他の特許を見る
10個以上の画像は省略されています。
公開番号
2025056852
公報種別
公開特許公報(A)
公開日
2025-04-09
出願番号
2023166352
出願日
2023-09-27
発明の名称
抗真菌剤
出願人
国立大学法人千葉大学
代理人
弁理士法人大谷特許事務所
主分類
A61K
31/165 20060101AFI20250401BHJP(医学または獣医学;衛生学)
要約
【課題】カンジダ症の原因菌に対する抗真菌剤及び該抗真菌剤を含有するカンジダ症治療用医薬組成物を提供する。
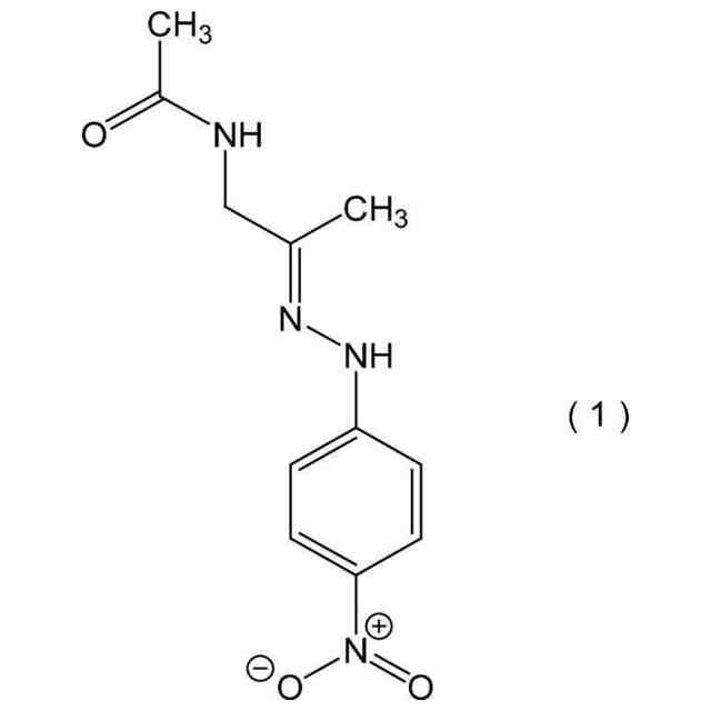
【解決手段】化合物N-[(2E)-2-[(4-nitrophenyl)hydrazinylidene]propyl]acetamide又はその薬学的に許容される塩、又はそれらの溶媒和物を有効成分として含有する、カンジダ症の原因菌に対する抗真菌剤。
【選択図】図3
特許請求の範囲
【請求項1】
下記式(1)で表される化合物又はその薬学的に許容される塩、又はそれらの溶媒和物を有効成分として含有する、カンジダ症の原因菌に対する抗真菌剤。
JPEG
2025056852000008.jpg
96
76
続きを表示(約 520 文字)
【請求項2】
カンジダ症の原因菌が、Candida tropcalis、 Candida albicans、Candida glabrata(別名:Nakaseomyces glabratus)、Candida krusei(別名:Pichia kudriavzevii)、Candida auris、及びCandida parapsilosisからなる群より選択される、請求項1に記載の抗真菌剤。
【請求項3】
カンジダ症の原因菌が、Candida albicans、Candida glabrata(別名:Nakaseomyces glabratus)、Candida krusei(別名:Pichia kudriavzevii)、Candida auris、及びCandida parapsilosisからなる群より選択される、請求項1に記載の抗真菌剤。
【請求項4】
カンジダ症の原因菌が、侵襲性カンジダ症の原因菌である、請求項1に記載の抗真菌剤。
【請求項5】
請求項1~4のいずれか1項に記載の抗真菌剤を含有する、カンジダ症治療用医薬組成物。
発明の詳細な説明
【技術分野】
【0001】
本発明は、抗真菌剤に関する。
続きを表示(約 1,900 文字)
【背景技術】
【0002】
病原性カンジダ菌は、表皮、腸管粘膜、膣などに常在する真菌であるが、抗生物質、ステロイド、抗がん剤や免疫抑制剤の長期投与や臓器移植、エイズ、重度糖尿病、留置カテーテルなど危険因子を伴う患者に対して重篤な深在性(内臓)感染症を起こす。
日本国内において全血流感染原因菌(細菌感染を含む)のうちカンジダは第4位(7~8%)であり、致死率20~50%に達する重篤な日和見感染症を起こし問題となっている。治療の第一選択薬は抗真菌薬である(例えば、特許文献1)。
なお、従来のカンジダ症の原因菌に対する抗真菌剤としては、フルオロピリミジン系、エキノキャンディン系、ポリエン系、アゾール系の4系統が知られている。
【先行技術文献】
【特許文献】
【0003】
特開2014-028780号公報
【発明の概要】
【発明が解決しようとする課題】
【0004】
既存の4系統の多用により、耐性菌の出現が問題となっている。既存の4系統に所属しない新規の系統の薬剤開発が望まれている。また、副作用の少ない抗真菌剤の開発が望まれている。
本発明は、カンジダ症の原因菌に対する抗真菌剤及び該抗真菌剤を含有するカンジダ症治療用医薬組成物を提供することを課題とする。
【課題を解決するための手段】
【0005】
本発明は、以下の<1>~<5>に関する。
<1> 下記式(1)で表される化合物又はその薬学的に許容される塩、又はそれらの溶媒和物を有効成分として含有する、カンジダ症の原因菌に対する抗真菌剤。
【0006】
JPEG
2025056852000002.jpg
96
76
【0007】
<2> カンジダ症の原因菌が、Candida tropcalis、Candida albicans、Candida glabrata(別名:Nakaseomyces glabratus)、Candida krusei(別名:Pichia kudriavzevii)、Candida auris、及びCandida parapsilosisからなる群より選択される、<1>に記載の抗真菌剤。
<3> カンジダ症の原因菌が、Candida albicans、Candida glabrata(別名:Nakaseomyces glabratus)、Candida krusei(別名:Pichia kudriavzevii)、Candida auris、及びCandida parapsilosisからなる群より選択される、<1>に記載の抗真菌剤。
<4> カンジダ症の原因菌が、侵襲性カンジダ症の原因菌である、<1>~<3>のいずれか1つに記載の抗真菌剤。
<5> <1>~<4>のいずれか1つに記載の抗真菌剤を含有する、カンジダ症治療用医薬組成物。
【発明の効果】
【0008】
本発明によれば、カンジダ症の原因菌に対する抗真菌剤及び該抗真菌剤を含有するカンジダ症治療用医薬組成物が提供される。
【図面の簡単な説明】
【0009】
図1は、DNAアラインメントであり、ヒトERG25塩基配列(SC4MOL)及びヒトERG25をS. cerevisiaeコドンに変換したもの(hERG25)を示す。
図2-1は、S. cerevisiaeにおけるヒトSC4MOL及びCandida glabrata ERG25の相補性を示す図(成長曲線、並びにt検定及び一元配置分散分析の結果)である。
図2-2は、S. cerevisiaeにおけるヒトSC4MOL及びCandida glabrata ERG25の相補性を示す図(スポットアッセイ)である。
図3は、式(1)で表される化合物によるErg25pを標的とする増殖阻害の評価結果を示す。
【発明を実施するための形態】
【0010】
[カンジダ症の原因菌に対する抗真菌剤]
本実施形態のカンジダ症の原因菌(病原性カンジダ)に対する抗真菌剤は、下記式(1)で表される化合物又はその薬学的に許容される塩、又はそれらの溶媒和物(以下、抗真菌剤(1)ともいう)を有効成分として含有する。
(【0011】以降は省略されています)
この特許をJ-PlatPat(特許庁公式サイト)で参照する
関連特許
国立大学法人千葉大学
抗真菌剤
5か月前
国立大学法人千葉大学
表示素子
4か月前
国立大学法人千葉大学
副室式エンジン
1か月前
国立大学法人千葉大学
フルコンバータ
1か月前
国立大学法人千葉大学
アンモニア吸蔵材
6か月前
国立大学法人千葉大学
照明器具及びフィルタ
2日前
国立大学法人千葉大学
成膜装置及び成膜方法
1か月前
国立大学法人千葉大学
自由エネルギーの計算方法
2か月前
国立大学法人千葉大学
設計支援装置および設計支援方法
5か月前
スタンレー電気株式会社
観測装置
1か月前
スタンレー電気株式会社
観測装置
4か月前
国立大学法人千葉大学
超音波造影装置および超音波造影方法
6か月前
キッコーマン株式会社
酪酸菌の生育促進剤
5か月前
国立大学法人千葉大学
樹脂用可塑剤として有用な新規イソソルビド誘導体
24日前
国立大学法人千葉大学
架橋構造を有する脂肪族ポリカーボネートの製造方法
24日前
キッコーマン株式会社
酪酸又は乳酸の産生量増強剤
5か月前
国立大学法人千葉大学
画像処理装置、画像機器、画像処理方法、及びプログラム
2か月前
国立大学法人千葉大学
エポキシド類製造用触媒、及び、エポキシド類の製造方法
9日前
国立大学法人千葉大学
エネルギー準位決定方法およびエネルギー準位決定システム
7か月前
国立大学法人千葉大学
粒子体検出装置、粒子体検出方法及び粒子体検出プログラム
1か月前
国立大学法人千葉大学
画像処理装置、画像処理システム、画像処理方法及びプログラム
25日前
国立大学法人千葉大学
サリチリデンアミノピリジンと二置換ホウ素から形成される発光材料
6か月前
国立大学法人千葉大学
アンジオテンシン変換酵素II(ACE2)に対する高親和性モノクローナル抗体
6か月前
日清紡ホールディングス株式会社
培養液、イチゴ栽培施設およびイチゴ栽培方法
4か月前
岡本化学工業株式会社
カチオン重合開始剤およびそれを用いた光学的立体造形用組成物
27日前
国立大学法人千葉大学
炭素繊維強化樹脂とガラス繊維強化樹脂とを含む材料組成物から炭素繊維を回収する方法
25日前
国立大学法人千葉大学
水素発生触媒、水素発生触媒の活性化用組成物、水素発生装置および水素発生触媒の活性化方法
26日前
国立大学法人千葉大学
R-ケタミンおよびその塩の医薬品としての応用
5か月前
国立大学法人千葉大学
副作用情報検索システム、副作用情報検索装置、副作用情報検索方法、及びコンピュータプログラム
1か月前
国立大学法人千葉大学
水素発生合金、水素発生合金の使用方法、マグネシウム電池用負極材、発電用水素発生剤、水素吸蔵合金及びポーラス金属材
1か月前
国立大学法人千葉大学
医療情報提供システム、サーバ、医療情報提供装置、医療情報提供媒体、医療情報提供方法及びプログラム
6か月前
国立大学法人千葉大学
コロイド結晶構造の作製方法、コロイド結晶構造の転写方法、転写物、コロイド粒子、コロイド結晶構造、コロイド結晶膜およびコロイド結晶構造を作製するための組成物
4か月前
個人
健康器具
7か月前
個人
歯茎みが品
8か月前
個人
鼾防止用具
7か月前
個人
短下肢装具
2か月前
続きを見る
他の特許を見る