TOP
|
特許
|
意匠
|
商標
特許ウォッチ
Twitter
他の特許を見る
10個以上の画像は省略されています。
公開番号
2025179205
公報種別
公開特許公報(A)
公開日
2025-12-09
出願番号
2025149498,2023196070
出願日
2025-09-09,2020-03-09
発明の名称
部位特異的抗体コンジュゲーション及びその具体例としての抗体-薬物コンジュゲート
出願人
アブティス・カンパニー・リミテッド
代理人
弁理士法人RYUKA国際特許事務所
主分類
C07K
16/00 20060101AFI20251202BHJP(有機化学)
要約
【課題】
化学官能基を抗体の特定の部位に特異的に転移させるための技術を提供する。
【解決手段】
本出願は、特定数の化学官能基又はカーゴ部分で抗体の特定の部位を標識化することを
可能にする技術に関する。高い均一性を有する抗体生成物を、本出願により提供すること
ができる。加えて、抗体の機能が低下しない抗体生成物も、本出願により提供することが
できる。即ち、結合活性及び半減期が低下しない抗体生成物を、提供することができる。
本出願は、複雑なプロセスを伴わずに、抗体の部位特異的標識化を可能にする最初の技術
で非常に意義がある。
【選択図】なし
特許請求の範囲
【請求項1】
生体直交性クリック反応性官能基を含む修飾抗体又はその断片であって、
前記修飾抗体は1つ以上の修飾重鎖を含み、
前記修飾重鎖のそれぞれは重鎖アミノ酸配列の248位に修飾リジン残基を含み、前記248
位はEUナンバリングシステムによって決定され、
前記修飾リジン残基は末端に生体直交性クリック反応性官能基を含む、修飾抗体又はそ
の断片。
続きを表示(約 1,200 文字)
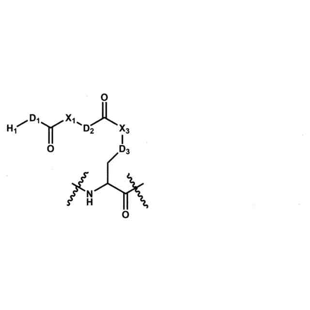
【請求項2】
前記修飾リジン残基は以下の構造:
JPEG
2025179205000106.jpg
55
170
(式中、
H
1
は、生体直交性クリック反応性官能基を有する基であり、
D
1
は、結合であるか、又はC
1~4
アルキレン、C
2~4
アルケニレン、C
2~4
アルキニレン、
及びC
3~8
シクロアルキレンから選択される)
を有する、請求項1に記載の修飾抗体。
【請求項3】
D
1
は、結合であるか、又は非置換C
1~4
アルキレン、非置換C
2~4
アルケニレン、非置換
C
2~4
アルキニレン、及び非置換C
3~8
シクロアルキレンから選択される、請求項2に記載
の修飾抗体。
【請求項4】
D
1
は、1つ以上のヘテロ原子を含む、請求項2又は3に記載の修飾抗体。
【請求項5】
D
1
は、-[CH
2
]
a
-O-[CH
2
]
b
-であり、
a及びbのそれぞれは、独立して、0~4から選択され、a及びbのそれぞれは、整数であり
、
a及びbの合計は、0以上且つ4以下である、
請求項2から4のいずれか一項に記載の修飾抗体。
【請求項6】
D
1
は、-CH
2
CH
2
OCH
2
-又は-CH
2
OCH
2
-である、請求項2から5のいずれか一項に記載の修飾
抗体。
【請求項7】
H
1
は生体直交性クリック反応性官能基である、請求項2から6のいずれか一項に記載の修
飾抗体。
【請求項8】
前記生体直交性クリック反応性官能基は、Huisgen 1,3-双極性付加環化及びディールズ
-アルダー反応から選択されるクリック化学反応に関与することができる基である、請求
項1から7のいずれか一項に記載の修飾抗体。
【請求項9】
前記生体直交性クリック反応性官能基は、アジド基、テトラジン基、ジベンゾシクロオ
クチン基、及びノルボルネン基から選択される、請求項1から7のいずれか一項に記載の修
飾抗体。
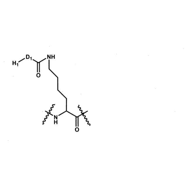
【請求項10】
前記修飾リジン残基は以下の構造:
JPEG
2025179205000107.jpg
148
170
を有する、請求項1から7のいずれか一項に記載の修飾抗体。
(【請求項11】以降は省略されています)
発明の詳細な説明
【技術分野】
【0001】
本発明は、抗体のある特定のアミノ酸残基を、物質(低分子量化合物、合成ポリマー、
バイオポリマー(即ちペプチド、炭水化物、タンパク質等))で選択的に標識化する、又は
、ある特定の標的細胞若しくは組織に送達される分子(以下、「カーゴ」と称す)を抗体に
連結するための技術に関する。その上、本発明は、抗体のある特定の部位を、所望の数の
物質で標識化する、又は、所望の数のカーゴを、抗体のある特定のアミノ酸残基に連結す
るための技術に関する。加えて、本発明は、この方法、又は抗体の断片複合体を使用する
方法により調製される抗体複合体を包含する。
続きを表示(約 7,200 文字)
【背景技術】
【0002】
抗体は、ある特定の分子を認識する機能を有する生体分子であり、様々な産業用途で使
用されている。例えば、抗体を使用して、ある特定の物質を検出又はスクリーニングし、
ある特定の物質が体内又は細胞内を移動する経路をチェックすることができる。その上、
抗体は、ある特定の物質に対して免疫応答を誘導することにより、治療目的で使用するこ
とができる。
【0003】
このような抗体の機能を拡張するために、抗体の能力を改善することが試みられてきた
。典型的には、抗体の機能を補足又は拡張するために、外来性物質で抗体を標識化するこ
とが試みられてきた。典型的には、抗体が、蛍光体で標識化される場合、抗体は、蛍光ア
ッセイで使用することができる、又は、抗体が、ある特定の疾患を処置するための薬剤で
標識化される場合、抗体は、抗体の治療効果を最大限にするために使用することができる
。これらの試み及び技術は、一般に、「抗体標識」と称す。本発明は、抗体を標識化する
新規の方法に関する。
【0004】
当初、抗体標識は、外来性物質を抗体に無作為に付着させることにより達成させた。し
かし、この方法は、多くの課題を有する。このように調製される抗体は、均質性が不十分
であるという課題を有する。これらの抗体は、抗体の各々に付着した物質の数の差、及び
抗体に対する結合部位の差が存在するので、その効果が不均等のままであるという課題を
有する。この課題は、高い安全性及び再現性を必要とする抗体-薬物コンジュゲート(ADC)
技術の開発にとって大きな障壁である。
【0005】
その上、この方法は、認識する抗体の能力が著しく低下しうるという課題を有する。抗
体は、抗原を認識する抗原結合ドメインを含むFabドメイン、及び抗体の結晶化に関与す
るFcドメインからなる。無作為標識化により、外来性物質が抗体の抗原結合ドメイン又は
抗原結合ドメインに隣接する部位に結合することを可能にすることで、認識する抗体の能
力が極めて低下するという結果をもたらす。
【0006】
従って、関連分野において、部位特異的手法で抗体を均一に標識化するための技術に対
する需要がある。例えば、抗体を遺伝的に変化又は修飾すること等のいくつかの技術が開
発されたが、これらの多くは、技術的及び経済的な側面において効果的ではない。従って
、本発明は、課題を解決するために設計され、ある特定の物質(又は「部分」)を、抗体の
任意の追加の変化を伴わずに抗体のある特定の部位に特異的に結合すること、及び同様の
抗体を使用してある特定の物質(薬物又は標識化した物質)を細胞又は組織に送達すること
を可能にする技術に関する。
【先行技術文献】
【特許文献】
【0007】
US 2018/0141976 A1
WO 2018/199337 A1
米国特許第6,350,466号
米国特許第6,316,024号
米国特許第6,019,968号
米国特許第5,985,320号
米国特許第5,985,309号
米国特許第5,934,272号
米国特許第5,874,064号
米国特許第5,855,913号
米国特許第5,290,540号
米国特許第4,880,078号
WO 92/19244
WO 97/32572
WO 97/44013
WO 98/31346
WO 99/66903
米国特許第5,679,377号
米国特許第5,916,597号
米国特許第5,912,015号
米国特許第5,989,463号
米国特許第5,128,326号
WO 99/15154
WO 99/20253
米国特許第4,526,938号
WO 91/05548
WO 96/20698
米国特許第4,522,811号
米国特許第5,374,548号
米国特許第5,399,331号
米国特許第5,416,016号
【非特許文献】
【0008】
Singleton等、Dictionary of Microbiology and Molecular Biology (第2版、1994年)
The Cambridge Dictionary of Science and Technology (Walker編、1988年)
The Glossary of Genetics、第5版、R. Rieger等(編)、Springer Verlag社(1991)
Hale & Marham、The Harper Collins Dictionary of Biology (1991)
Tornoe等、Journal of Organic Chemistry (2002) 67: 3057~3064頁
Advanced Organic Chemistry: reactions, mechanisms and structure-Jerry March、John Wiley、及びSons編の第4版; 1992年、351~357頁
Immunotech-Coulter Corp.社カタログ、「Cytometry Monoclonal Reagent Guide」、8/95、3頁
DeLano, W.L. (2000): Convergent Solutions to Binding at a Protein-Protein Interface; Science、287(5456)、1279~1283頁
W. Lance Martin等(2001)、Molecular Cell, 第7巻、867~877頁、2001年4月
Edelman GM等、The covalent structure of an entire gamma-G immunoglobulin molecule; Proc. Natl. Acad. Sci. USA.、1969年5月、63(1): 78~85頁
Dias, R. L. A.等(2006)、Protein Ligand Design: From Phage Display to Synthetic Protein Epitope Mimetics in Human Antibody Fc-Binding Peptidomimetics; Journal of the American Chemical Society、128(8)、2726~2732頁
DeLano, W.L.等、Convergent solutions to binding at a protein-protein interface; Science 2000年、287、1279~1283頁
Ying T、Ju TW、Wang Y、Prabakaran P、Dimitrov DS.、Interactions of IgG1 CH2 and CH3 Domains with FcRn; Front Immunol. 2014年; 5:146頁
Monnet C、Jorieux S、Urbain R等、Selection of IgG Variants with Increased FcRn Binding Using Random and Directed Mutagenesis: Impact on Effector Functions. Front Immunol. 2015年; 6:39頁
Hardman等、Goodman and Gilman's The Pharmacological Basis of Therapeutics、McGraw-Hill社、New York、N.Y.、2001年
Gennaro、Remington: The Science and Practice of Pharmacy、Lippincott, Williams, and Wilkins社、New York、N.Y.、2000年
Avis等(編)、Pharmaceutical Dosage Forms: Parenteral Medications、Marcel Dekker社、NY、1993年
Lieberman等(編)、Pharmaceutical Dosage Forms: Tablets、Marcel Dekker社、NY、1990年
Lieberman等(編) Pharmaceutical Dosage Forms: Disperse Systems、Marcel Dekker社、NY、1990年
Weiner及びKotkoskie、Excipient Toxicity and Safety、Marcel Dekker, Inc.社、New York、N.Y.、2000年
Wawrzynczak、Antibody Therapy、Bios Scientific Pub. Ltd社、Oxfordshire、UK、1996年
Kresina(編)、Monoclonal Antibodies、Cytokines and Arthritis、Marcel Dekker社、New York、N.Y.、1991年
Bach(編)、Monoclonal Antibodies and Peptide Therapy in Autoimmune Diseases、Marcel Dekker社、New York、N.Y.、1993年
Baert等、New Engl. J. Med. 348:601~608頁、2003年
Milgrom等、New Engl. J. Med. 341:1966~1973頁、1999年
Slamon等、New Engl. J. Med. 344:783~792頁、2001年
Beniaminovitz等、New Engl. J. Med. 342:613~619頁、2000年
Ghosh等、New Engl. J. Med. 348:24~32頁、2003年
Lipsky等、New Engl. J. Med. 343:1594~1602頁、2000年
Maynard等、A Handbook of SOPs for Good Clinical Practice、Interpharm Press社、Boca Raton、Fla.、1996年
Dent、Good Laboratory and Good Clinical Practice、Urch Publ.社、London、UK、2001年
Sidman等、Biopolymers 22:547~556頁、1983年
Langer等、J. Biomed. Mater. Res. 15:167~277頁、1981年
Langer、Chem. Tech. 12:98~105頁、1982年
Epstein等、Proc. Natl. Acad. Sci. USA 82:3688~3692頁、1985年
Hwang等、Proc. Natl. Acad. Sci. USA 77:4030~4034頁、1980年
Sefton、CRC Crit. Ref Biomed. Eng. 14:20、1987年
Buchwald等、Surgery 88:507、1980年
Saudek等、N. Engl. J. Med. 321:574, 1989年
Medical Applications of Controlled Release、Langer及びWise(編)、CRC Pres.社、Boca Raton、Fla.、1974年
Controlled Drug Bioavailability, Drug Product Design and Performance、Smolen及びBall(編)、Wiley社、New York、1984年
Ranger及びPeppas、J. Macromol. Sci. Rev. Macromol. Chem. 23:61、1983年
Levy等、Science 228:190、1985年
During等、Ann. Neurol. 25:351、1989年
Howard等、J. Neurosurg. 7 1:105、1989年
Goodson、Medical Applications of Controlled Release、上記、第2巻、115~138頁、1984年
Langer、Science 249:1527~1533頁、1990年
Ning等、Radiotherapy & Oncology 39:179~189頁、1996年
Song等、PDA Journal of Pharmaceutical Science & Technology 50:372~397頁、1995年
Cleek等、Pro. Int'l. Symp. Control. Rel. Bioact. Mater. 24:853~854頁、1997年
Lam等、Proc. Int'l. Symp. Control Rel. Bioact. Mater. 24:759~760頁、1997年
Remington's Pharmaceutical Sciences and Introduction to Pharmaceutical Dosage Forms、第19版、Mack Pub. Co.社、Easton、Pa.(1995)
Poole及びPeterson(編)(2001) Pharmacotherapeutics for Advanced Practice:A Practical Approach、Lippincott, Williams & Wilkins社、Phila.、Pa
Chabner及びLongo(編)(2001) Cancer Chemotherapy and Biotherapy、Lippincott, Williams & Wilkins社、Phila.、Pa.
Ranade、(1989) J. Clin. Pharmacol. 29:685頁
Umezawa等、(1988) Biochem. Biophys. Res. Commun. 153:1038頁
Bloeman等(1995) FEBS Lett. 357:140頁
Owais等(1995) Antimicrob. Agents Chemother. 39:180頁
Briscoe等(1995) Am. J. Physiol. 1233:134頁
Schreier等(1994) J. Biol. Chem. 269:9090頁
K. Keinanen; M. L. Laukkanen (1994) FEBS Lett. 346:123頁
J. J. Killion; I. J. Fidler (1994) Immunomethods 4:273頁
【発明の概要】
【発明が解決しようとする課題】
【0009】
本発明は、化学官能基を抗体の特定の部位に特異的に転移させるための技術を提供する
。具体的な一実施形態では、本発明は、化学官能基を抗体のリジン246に特異的に転移さ
せるための技術を提供する。別の具体的な実施形態では、本発明は、化学官能基を抗体の
リジン248に特異的に転移させるための技術を提供する。更に別の具体的な実施形態では
、本発明は、化学官能基を抗体のリジン246及び248に特異的に転移させるための技術を提
供する。
【0010】
本発明は、所望の数の化学官能基を抗体に結合することを可能にする技術を提供する。
具体的な一実施形態では、本発明は、2つの特定の部位が結合している抗体又はその断片
を提供する。別の具体的な実施形態では、本発明は、4つの特定の部位が結合している抗
体又はその断片を提供する。
(【0011】以降は省略されています)
この特許をJ-PlatPat(特許庁公式サイト)で参照する
関連特許
日本化薬株式会社
新規顕色剤及び記録材料
1日前
株式会社半導体エネルギー研究所
有機化合物
1日前
株式会社日本触媒
(メタ)アクリレート化合物
9日前
株式会社トクヤマ
チオファニウム塩臭化物の製造方法
22日前
ステラケミファ株式会社
リン化合物の製造方法
14日前
日本特殊陶業株式会社
反応装置
9日前
株式会社プロテリアル
触媒複合物を用いたメタネーション反応器
23日前
国立大学法人東京農工大学
化合物の製造方法
7日前
上野製薬株式会社
高純度芳香族ジオールの製造方法
9日前
上野製薬株式会社
高純度芳香族ジオールの製造方法
9日前
大成建設株式会社
気体貯蔵放出材料
14日前
国立大学法人大阪大学
メタン反応装置
1日前
住友ベークライト株式会社
カルバミン酸化合物の製造方法
1日前
大阪瓦斯株式会社
メタン生成システム
23日前
キヤノン株式会社
有機化合物および有機発光素子
22日前
三井金属株式会社
金属有機構造体の製造方法
1日前
AGC株式会社
含フッ素化合物
24日前
個人
中空微小球に基づく再生可能な深共晶溶媒を用いたオレアノール酸の抽出方法
14日前
大阪ガスケミカル株式会社
フルオレン化合物ならびにその製造方法および用途
14日前
アッヴィ・インコーポレイテッド
TIPARP阻害剤化合物
1か月前
国立大学法人九州大学
化合物、重合体、コーティング剤、及び器具
7日前
達興材料股ふん有限公司
高純度のシクロブタン誘導体の製造方法
1か月前
三菱瓦斯化学株式会社
フラン-2,5-ジカルボン酸の製造方法
22日前
沛爾生技醫藥股分有限公司
滑膜細胞及び骨吸収を抑制する、骨格の保護のためのペプチド
1日前
住友化学株式会社
反応混合組成物の製造方法、混合組成物および混合組成物の製造方法
7日前
国立大学法人佐賀大学
リン酸トリエステルの製造方法
22日前
国立大学法人北海道大学
タンパク質分解制御化合物、剤、方法及びキット
1か月前
株式会社ジェイテクト
メタン生成システム
1日前
株式会社半導体エネルギー研究所
化合物及び発光デバイス
1か月前
ダイト株式会社
リナグリプチン結晶及びその製造法
14日前
アミリス,インコーポレイティド
イソプレノイドの精製のための組成物及び方法
28日前
信越化学工業株式会社
含窒素多官能オルガノキシシラン化合物の製造方法
1か月前
太陽ホールディングス株式会社
テレフタル酸の製造方法及び被処理物の分解方法
8日前
キヤノン株式会社
有機化合物及び有機発光素子
1か月前
株式会社ファンケル
ピラノベンゾピランを基本骨格とする化合物
22日前
信越化学工業株式会社
オニウム塩、化学増幅レジスト組成物及びパターン形成方法
1日前
続きを見る
他の特許を見る