TOP
|
特許
|
意匠
|
商標
特許ウォッチ
Twitter
他の特許を見る
10個以上の画像は省略されています。
公開番号
2025177513
公報種別
公開特許公報(A)
公開日
2025-12-05
出願番号
2024084420
出願日
2024-05-23
発明の名称
化合物、重合体、コーティング剤、及び器具
出願人
国立大学法人九州大学
代理人
個人
,
個人
,
個人
,
個人
主分類
C07D
263/14 20060101AFI20251128BHJP(有機化学)
要約
【課題】生体適合性を有する重合体を提供する。
【解決手段】2-(2-エトキシカルボニルエチル)-2-オキサゾリンに代表される、2位にエトキシカルボニルアルキル基を有し、1、3位に異項原子として1個の窒素原子と1個の酸素原子のみを有する5~7員環の化合物、及びその重合体。
【選択図】なし
特許請求の範囲
【請求項1】
下記一般式(1)で表される、化合物。
JPEG
2025177513000017.jpg
237
125
(上記一般式(1)中、mは1以上3以下の数であり、Lは炭素数が2以上6以下である、置換又は無置換のアルキレン鎖である。)
続きを表示(約 540 文字)
【請求項2】
請求項1に記載の化合物の重合体。
【請求項3】
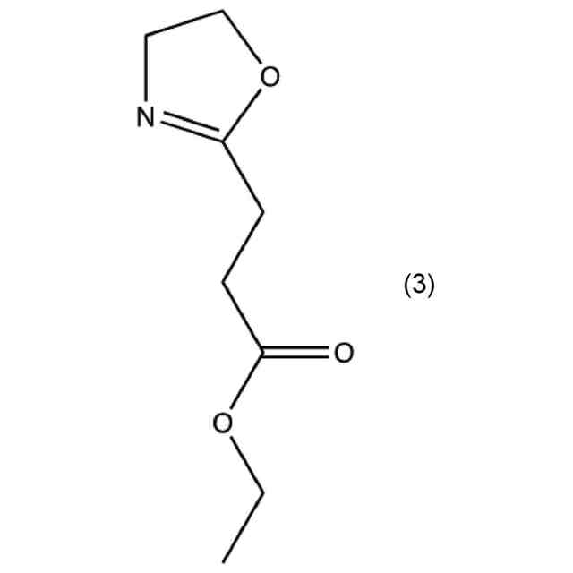
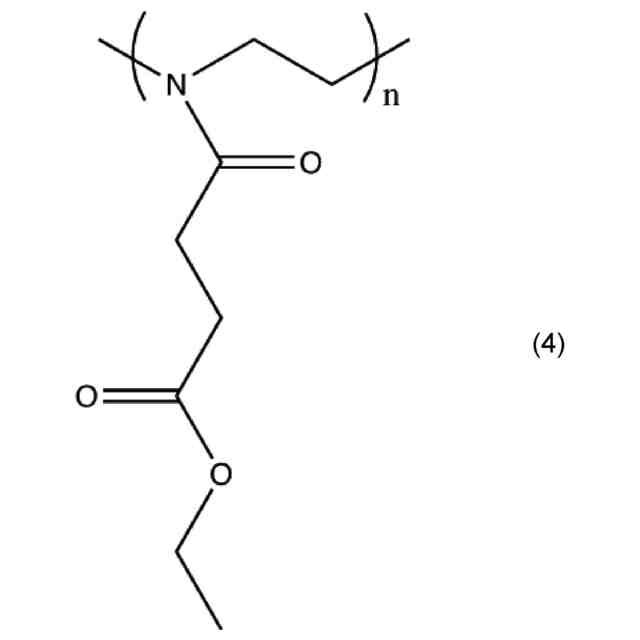
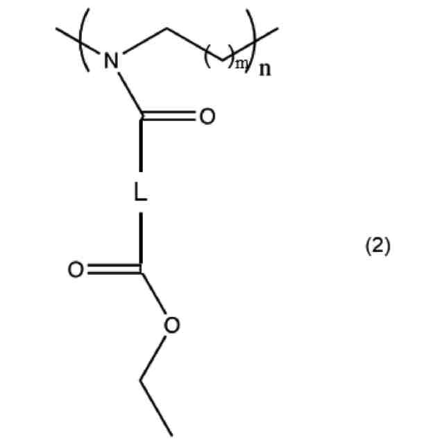
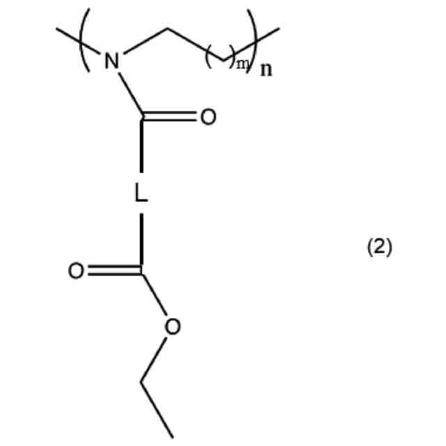
下記一般式(2)で表される単位を有する、請求項2に記載の重合体。
JPEG
2025177513000018.jpg
92
170
(上記一般式(2)中、mは1以上3以下の数であり、Lは炭素数が2以上6以下である、置換又は無置換のアルキレン鎖である。)
【請求項4】
請求項2の重合体を含む、コーティング剤。
【請求項5】
請求項2の重合体を含む、がん細胞の接着性向上剤。
【請求項6】
請求項2の重合体を含む、薬物担体。
【請求項7】
請求項1の化合物を含む、コーティング剤。
【請求項8】
重合開始剤をさらに含む、請求項12に記載のコーティング剤。
【請求項9】
基材と、
前記基材上に配置された請求項2に記載の重合体を含む層と、
を備える、医療器具。
【請求項10】
基材と、
前記基材上に配置された請求項2に記載の重合体を含む層と、
を備える、バイオセンサー。
(【請求項11】以降は省略されています)
発明の詳細な説明
【技術分野】
【0001】
本発明は、有機化学に関し、化合物、重合体、コーティング剤、及び器具に関する。
続きを表示(約 1,000 文字)
【背景技術】
【0002】
安全性が高く、患者の負担を低減する低侵襲治療用人工臓器や在宅用診断装置の開発が進められている。多くの医療器具は高分子材料を含む。医療器具の血液適合性を有しない高分子材料に血液が接触すると、接触相、凝固系、白血球系、血小板、及び補体系当の生体防御機構が活性化され得る。そのため、血液に直接接触する高分子材料には、血液適合性が求められる。また、血液に限らず、生体に接触する高分子材料には、生体適合性が求められる(例えば、特許文献1、2参照)。
【先行技術文献】
【特許文献】
【0003】
国際公開第2023/054500号
国際公開第2023/162926号
【発明の概要】
【発明が解決しようとする課題】
【0004】
本発明は、生体適合性を有する重合体を提供することを目的の一つとする。
【課題を解決するための手段】
【0005】
[1]本発明の実施形態に係る化合物は、下記一般式(1)で表される。
JPEG
2025177513000001.jpg
237
125
(上記一般式(1)中、mは1以上3以下の数であり、Lは炭素数が2以上6以下である、置換又は無置換のアルキレン鎖である。)
【0006】
[2]本発明の実施形態に係る重合体は、[1]に記載の化合物の重合体である。
【0007】
[3]上記[2]に記載の重合体は、下記一般式(2)で表される単位を有していてもよい。
JPEG
2025177513000002.jpg
92
170
(上記一般式(2)中、mは1以上3以下の数であり、Lは炭素数が2以上6以下である、置換又は無置換のアルキレン鎖である。)
【0008】
[4]本発明の実施形態に係るコーティング剤は、[2]又は[3]に記載の重合体を含む。
【0009】
[5]本発明の実施形態に係る親水性コーティング剤は、[2]又は[3]に記載の重合体を含む。
【0010】
[6]本発明の実施形態に係る生体適合性コーティング剤は、[2]又は[3]に記載の重合体を含む。
(【0011】以降は省略されています)
この特許をJ-PlatPat(特許庁公式サイト)で参照する
関連特許
国立大学法人九州大学
センサー装置
5か月前
国立大学法人九州大学
核酸増幅方法
2か月前
国立大学法人九州大学
発光性イオン結晶
2か月前
国立大学法人九州大学
遺伝子発現増強剤
5か月前
国立大学法人九州大学
牛の放牧飼養管理方法
6か月前
国立大学法人九州大学
軽度不調のバイオマーカー
1か月前
国立大学法人九州大学
燃料電池、電解セル及び組セル
2か月前
国立大学法人九州大学
耐水素材料及び耐水素構造部品
1か月前
株式会社王樹製薬
抗ウィルス液
4か月前
株式会社明治
脳機能改善用組成物
3か月前
国立大学法人九州大学
酸化物プロトン伝導型燃料電池セル
2か月前
リンナイ株式会社
深部体温推定装置
4か月前
国立大学法人九州大学
磁気センサの製造方法及び磁気センサ
2か月前
リンナイ株式会社
深部体温推定装置
4か月前
国立大学法人九州大学
可逆燃料電池システム及びその運転方法
2か月前
日本電信電話株式会社
高周波発生装置
5か月前
リンナイ株式会社
加熱調理支援システム
1か月前
国立大学法人九州大学
化合物、重合体、コーティング剤、及び器具
2日前
国立大学法人九州大学
水電解装置、水素製造システム及び水電解方法
3か月前
日本ゼオン株式会社
硫化カルボニルの製造方法
1か月前
学校法人常翔学園
選択性ガス分離膜の製造方法
6か月前
住友化学株式会社
複合成形体、及びその製造方法
1か月前
国立大学法人九州大学
液晶化合物、並びにこれを含む液晶組成物および素子
3か月前
東急建設株式会社
位置推定システム及び位置推定方法
1か月前
有機合成薬品工業株式会社
外的バリア活性化用組成物
2か月前
株式会社明治
筋分化促進用組成物、及び筋肉増強用組成物
3か月前
国立大学法人九州大学
情報処理装置、情報処理方法、及びコンピュータプログラム
2か月前
国立大学法人九州大学
医用情報処理装置、医用画像診断装置、方法及びプログラム
2か月前
国立大学法人九州大学
医用情報処理装置、医用画像診断装置、方法及びプログラム
2か月前
国立大学法人九州大学
有機非線形光学化合物を用いた光変調導波路素子の製造方法
1か月前
株式会社明治
67kDaラミニンレセプター活性化用組成物
3か月前
トヨタ自動車九州株式会社
水電解装置及び水電解装置の運転制御方法
5か月前
国立大学法人 熊本大学
クリック反応素子AOCN誘導体又はその塩
2か月前
株式会社明治
速筋線維発現促進用組成物、及び筋肉速筋化促進用組成物
3か月前
東京瓦斯株式会社
風況観測システム、風況観測方法、およびプログラム
1か月前
JFEスチール株式会社
酸素化合物ガスの分解方法およびガス分解装置
3か月前
続きを見る
他の特許を見る