TOP
|
特許
|
意匠
|
商標
特許ウォッチ
Twitter
他の特許を見る
10個以上の画像は省略されています。
公開番号
2025169606
公報種別
公開特許公報(A)
公開日
2025-11-14
出願番号
2024074459
出願日
2024-05-01
発明の名称
ワイヤー式指向性エネルギー堆積法用の金属素材及びその製造方法
出願人
国立大学法人 名古屋工業大学
代理人
主分類
C22C
1/10 20230101AFI20251107BHJP(冶金;鉄または非鉄合金;合金の処理または非鉄金属の処理)
要約
【課題】高い強度・高い造形性が可能な、指向性エネルギー堆積法用の金属ワイヤーの製造方法を提供すること。
【解決手段】
ワイヤーを素材とした指向性エネルギー堆積法による積層造形(3Dプリンティング)に使用する金属ワイヤー原料において、金属ワイヤー中に凝固の核サイトとなる微細粒子を内包させると、指向性エネルギーにより形成した溶融池中の核生成サイト数が増加することに起因し造形組織の等軸晶化、微細化及び均質化が達成可能できる。同時にレーザ吸収能の高い凝固核粒子を内包させることにより、レーザによる溶融能を高め、高強度と高造形性が同時に達成可能な指向性エネルギー堆積法に適した金属ワイヤーを提供する。凝固核粒子は、母材金属よりも高い融点を有し、かつ、所定の式で表されるパラメータMが12×10
-3
以下である。
【選択図】図20
特許請求の範囲
【請求項1】
金属母材の内部に少なくとも一種類以上の凝固核粒子が内包され、その金属がワイヤー形状であることを特徴とする複合金属素材。
続きを表示(約 1,100 文字)
【請求項2】
前記金属ワイヤーとして、引き抜き法、押し出し法、ロール圧延法により製造したワイヤー形状であることを特徴とする請求項1に記載の複合金属素材。
【請求項3】
複合金属素材として、引き抜き法、押し出し法、ロール圧延法により製造したアルミニウム合、チタン合金、ステンレス鋼を含む鉄鋼材料、銅合金、ニッケル合金、マグネシウム合金およびそれら単体金属であることを特徴とする請求項2に記載のワイヤー形状の複合金属素材。
【請求項4】
ワイヤー形状の複合金属素材として、指向性エネルギー堆積法による付加加工に利用することを特徴とする請求項3に記載の複合金属素材。
【請求項5】
金属ワイヤーの内部に少なくとも一種類以上の凝固核粒子が内包され、その金属ワイヤーが引き抜き法、押し出し法、ロール圧延法により製造したワイヤー形状であることを特徴とする指向性エネルギー堆積法用の複合金属素材であり、前記凝固核粒子は、前記金属母材よりも高い融点を有し、かつ、式(1)で表されるパラメータMが12×10
-3
以下である複合金属素材。
JPEG
2025169606000010.jpg
14
65
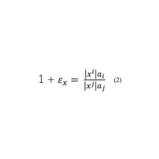
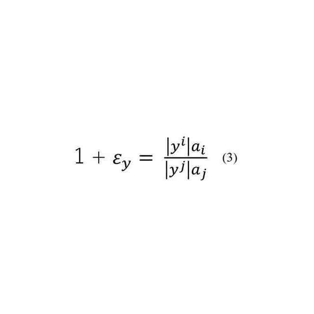
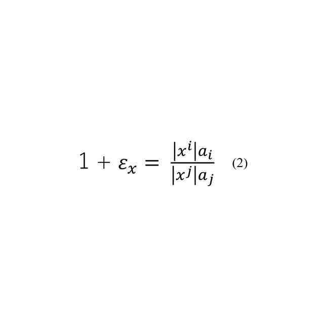
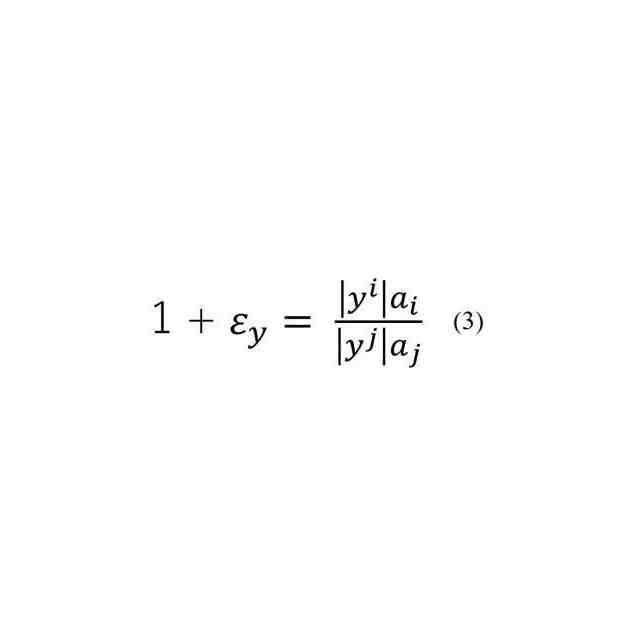
(式中、ε
x
及びε
y
はそれぞれ凝固核相の格子と凝固相の格子の各々で直交する主軸x及びyに沿った主軸ひずみであり、ε
x
及びε
y
は以下の式(2)及び式(3)で算出される。)
JPEG
2025169606000011.jpg
13
51
JPEG
2025169606000012.jpg
13
52
(式中、x
i
、y
i
及びx
j
、y
j
はそれぞれ物質i及び物質jの主軸ひずみ方向であり、a
i
及びa
j
はそれぞれ物質i及び物質jの格子定数である。)
【請求項6】
前記凝固核粒子は、TiB
2
、TiC、Al
3
Ti、第三元素Meを添加して結晶構造をL1
2
化した(Al
1-x
Me
x
)
3
Ti、SrОから選択される1種又は複数種の化合物粒子である、請求項1~4のいずれか1項に記載の複合金属素材。
【請求項7】
前記凝固核粒子は、TiB
2
粒子である、請求項6に記載の複合金属素材。
発明の詳細な説明
【技術分野】
【0001】
本発明は、高い強度・高い造形性が可能なワイヤー式指向性エネルギー堆積法用の複合金属素材及びそれらの製造方法に関する。
続きを表示(約 2,500 文字)
【背景技術】
【0002】
金属3Dプリンティングとも呼ばれている金属付加加工(金属積層造形)は、製造業のあり方を変えうる画期的な製造方法である。従来の加工法では製造できなかった複雑形状の製品の製造が可能である。付加加工は、材料押出法、液槽光重合法、シート積層法、結合剤噴射法、材料噴射法、粉末床溶融結合法、指向性エネルギー堆積法の7つの造形法に分類することができる。
【0003】
金属付加加工は、現在の主流で研究も社会実装も先行している粉末床溶融結合方式(パウダーベッド方式) 、付加造形が可能なために社会実装に適し、今後の急激な伸びが見込まれる指向性エネルギー堆積方式(デポジション方式)および樹脂用プリンタで造形し、脱脂・焼結を行う金属粉末射出成形(МIМ)の技術を応用する焼結方式とに大別できる。この中で、金属製品を直接造形できるのは粉末床溶融結合法と指向性エネルギー堆積法である。
【0004】
指向性エネルギー堆積法では、金属素材を供給しながらレーザあるいは電子線などの高エネルギービームの照射など、あるいはアークプラズマなどによる集中的な熱源を基材に照射し、基材に形成した微小な溶融池中に金属素材を直接溶融堆積させ、その凝固により金属を積層していく。ここで、溶融池はメルトプールとも呼ばれ、溶接の際に熱源直下の基材側に形成される溶融金属の液体状の池を指し、金属付加加工でも造形時に基材に形成する微小な溶融領域をこの様に呼ぶ。溶融状態の溶解した基材と堆積させる金属素材から移行してきた溶滴が混合し、溶融金属を形成している。
【0005】
金属素材の供給は、添加したい部分への金属粉末あるいはワイヤーの繰り出しによって行う。同時に高エネルギービームの照射やアークプラズマの照射などにより、下地素材と付加する金属素材の両方を溶融させ、素材を堆積させる。これを、素材供給デバイスと熱源を基材に対して相対的に移動させ、造形物形状に沿って堆積位置を連続的に移動させれば、三次元の造形体を得ることがでる。
【0006】
指向性エネルギー堆積法では、熱源と材料形態の組み合わせによって、幾つかの手法が存在する。熱源に用いられるものは主にレーザ、電子線およびアークプラズマの3種類であり、材料形態は粉末とワイヤーが用いられる。熱源がレーザ、材料形態がワイヤーの場合の指向性エネルギー堆積法の模式図を第1図に示す。熱源レーザ1を基材2に照射し、基材中に溶融池(メルトプール)を形成する。金属ワイヤー3が供給できる素材供給デバイス4により金属ワイヤーを溶融池に供給し、溶融金属を基材に堆積させる。これを、素材供給デバイスとビーム源を基材が設置された造形プラットホーム5に対して相対的に移動させ、三次元の部品6を造形していく。
【0007】
指向性エネルギー堆積法による積層造形では、必要な部分にだけ素材を供給すればよく、積層厚さが大きく、造形速度も速く、大型部材の造形に適している。特にワイヤー式指向性エネルギー堆積法では、高価な金属粉末を使用する粉末式指向性エネルギー堆積法と比較し、材料費を抑えることができる。
【0008】
粉末床溶融結合法や指向性エネルギー堆積法においては、金属を微小領域において溶融・凝固させることにより製品を得る。これらのプロセスでは、大きな温度勾配下で溶融・凝固が発生するため、エピタキシャル成長により造形方向に伸びた柱状晶が形成される。ここで、エピタキシャル成長とは、基材となる結晶の上に結晶成長が発生した際、下地の基材の結晶面にそろえて配列する成長の様式を指す。第2図に温度勾配下での凝固組織形成の模式図を示す。固相7と液相8中に凝固相9がエピタキシャル成長を生じた場合、固相の結晶方位を引き継いで結晶相が成長する。その結果、凝固進行方向に集合組織を有する伸長した柱状晶を示す。ここで集合組織とは、材料を構成する結晶粒が特定の方向に優先的に配列した状態を指す。さらに、金属付加加工では、各層を造形する際に高温に繰り返しさらされるので、固体結晶の成長が引き起こされる。その結果、金属付加加工により得られた造形体の組織の多くは、柱状晶と集合組織を呈する。これは構造部材として使用する場合には足かせとなる(特許文献1)。
【0009】
また、指向性エネルギー熱源としてレーザを用いた場合、金属のレーザ吸収能も大きな問題となる。第3図に鋼10、鉄11、モリブデン12、銅13、銀14およびアルミニウム15のレーザ吸収能の波長依存性を示す(非特許文献1)。ここで、炭酸レーザの波長16およびファイバーレーザ・YAGレーザの波長17を点線で示す。いずれの金属もレーザ吸収能は強い波長依存性を示し、波長の長いレーザではほとんどを反射してしまう。したがって、レーザを照射して金属を溶融しようとしても、ほとんどが反射してしまい、溶融に供するエネルギーがわずかであるという問題がある。
【0010】
現在、ワイヤー式指向性エネルギー堆積法に用いる素材ワイヤーとしては、溶接用ワイヤーが用いられている。比較的安価に安定的に入手できる利点を有するが、指向性エネルギー堆積法の素材として利用するのに必要な性能を有しているとは言いがたい。通常の金属付加加工では、積層方向に伸長した柱状晶がエピタキシャル成長にて形成し、集合組織を呈する。ここで、金属の優先成長方向は凝固相の結晶構造によって決まっている。結晶構造がbccおよびfccの金属の場合を考えると、固相結晶の生成を律速するのは、それぞれの密な面{110}および{111}の成長であり、したがって、それらによって囲まれた<100>方向が成長方位となる。結果として、金属付加加工においても、積層方向が<100>方向となる集合組織を呈するようになり、機械的性質などに異方性が発生してしまう(非特許文献2)。一次元的な金属を堆積させる溶接では問題とならない現象も、金属を三次元に堆積させて製品を得るワイヤー式指向性エネルギー堆積法では、顕著に表れてしまう。
(【0011】以降は省略されています)
この特許をJ-PlatPat(特許庁公式サイト)で参照する
関連特許
国立大学法人 名古屋工業大学
構造物の施工方法
3か月前
国立大学法人 熊本大学
塑性加工金属の製造方法
2か月前
国立大学法人 名古屋工業大学
構造物および複合構造物
13日前
国立大学法人 名古屋工業大学
ワイヤ状金属材及びその製造方法
1か月前
学校法人千葉工業大学
光電変換素子
4か月前
株式会社大林組
自硬性材料の製造方法
4か月前
株式会社岐阜セラツク製造所
セラック修飾化物
4か月前
国立大学法人 名古屋工業大学
指向性エネルギー堆積法用の金属粉末及びその製造方法
5か月前
株式会社SOKEN
物体検知装置
1か月前
国立大学法人 名古屋工業大学
ポリテトラフルオロエチレンおよびその誘導体の分解方法
1か月前
ダイキン工業株式会社
フッ素化剤、及び、フッ素化方法
2か月前
株式会社レゾナック
組成物セット、硬化物、及び成形物
1か月前
株式会社レゾナック
硬化性組成物及びその硬化物、並びに成形物
1か月前
国立大学法人 名古屋工業大学
ワイヤー式指向性エネルギー堆積法用の金属素材及びその製造方法
4日前
国立大学法人 名古屋工業大学
帯電状態の切り替えにより花粉を吸着する金網およびこれを備えた網戸
3か月前
ダイキン工業株式会社
組成物の製造方法、フッ素化方法、及び、組成物
2か月前
東亞合成株式会社
化合物及びその製造方法、固体電解質並びに蓄電デバイス
1か月前
国立大学法人 名古屋工業大学
大気中の二酸化炭素回収方法及び二酸化炭素回収用多孔体、並びに炭酸ナトリウムの合成方法
4か月前
三井金属鉱業株式会社
フィッシャー・トロプシュ反応を触媒する触媒組成物及びその製造方法
2か月前
大阪ガスケミカル株式会社
フルオレン骨格を有する環状オレフィン化合物、およびその重合体
1か月前
国立研究開発法人産業技術総合研究所
プロトン伝導セラミック燃料電池用空気極材、プロトン伝導セラミック燃料電池用空気極及びプロトン伝導セラミック燃料電池
2か月前
個人
銅鉄合金の製造
3か月前
個人
高強度せん断補強筋用の鋼材
7か月前
宏幸株式会社
金属回収方法
7か月前
JX金属株式会社
鉛の回収方法
1か月前
株式会社神戸製鋼所
鋼材
6か月前
JX金属株式会社
鉛の回収方法
1か月前
株式会社神戸製鋼所
銅合金
13日前
三菱マテリアル株式会社
切削工具
1か月前
古河電気工業株式会社
銅線
1か月前
株式会社クボタ
比重分離装置
7か月前
株式会社神戸製鋼所
銅合金板
2か月前
株式会社クボタ
比重分離装置
7か月前
株式会社クボタ
比重分離装置
7か月前
日本製鉄株式会社
鋼材
3か月前
日本製鉄株式会社
鋼材
3か月前
続きを見る
他の特許を見る