TOP
|
特許
|
意匠
|
商標
特許ウォッチ
Twitter
他の特許を見る
10個以上の画像は省略されています。
公開番号
2025169311
公報種別
公開特許公報(A)
公開日
2025-11-12
出願番号
2025132326,2022167315
出願日
2025-08-07,2022-10-19
発明の名称
洗浄剤組成物、及び洗浄剤組成物用の原液
出願人
化研テック株式会社
代理人
弁理士法人深見特許事務所
主分類
C11D
7/50 20060101AFI20251105BHJP(動物性または植物性油,脂肪,脂肪性物質またはろう;それに由来する脂肪酸;洗浄剤;ろうそく)
要約
【課題】本発明は、フラックス洗浄性及び取り扱い性に優れ、且つ金属影響及び揮発性有機化合物(VOC)が低減された洗浄剤組成物、及び洗浄剤組成物用の原液を提供することを目的とする。
【解決手段】親水性グリコールエーテル化合物と、有機酸と、第1化合物と、水とを含む洗浄剤組成物であって、前記第1化合物は、親水性含窒素有機化合物及び/又は親水性第4級アンモニウム塩であり、前記水の含有率は、20質量%以上であり、前記有機酸に対する前記第1化合物のモル比は、1以上35以下である、洗浄剤組成物。
【選択図】なし
特許請求の範囲
【請求項1】
親水性グリコールエーテル化合物と、有機酸と、第1化合物と、水とを含む洗浄剤組成物であって、
前記第1化合物は、親水性含窒素有機化合物及び/又は親水性第4級アンモニウム塩であり、
前記水の含有率は、20質量%以上であり、
前記有機酸に対する前記第1化合物のモル比は、1以上35以下である、洗浄剤組成物。
続きを表示(約 2,900 文字)
【請求項2】
前記洗浄剤組成物のpHは8.0以上12.0以下である、請求項1に記載の洗浄剤組成物。
【請求項3】
前記有機酸の含有率は、0.1質量%以上4.0質量%以下であり、
前記第1化合物の含有率は、1質量%以上20質量%以下である、請求項1又は請求項2に記載の洗浄剤組成物。
【請求項4】
前記洗浄剤組成物は、25℃及び50℃の条件下で外観上均一である、請求項1又は請求項2に記載の洗浄剤組成物。
【請求項5】
前記有機酸は、1分子中に1つ以上のカルボキシ基を有する有機酸、又は1分子中に1つ以上のホスホン酸基を有する有機酸である、請求項1又は請求項2に記載の洗浄剤組成物。
【請求項6】
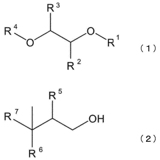
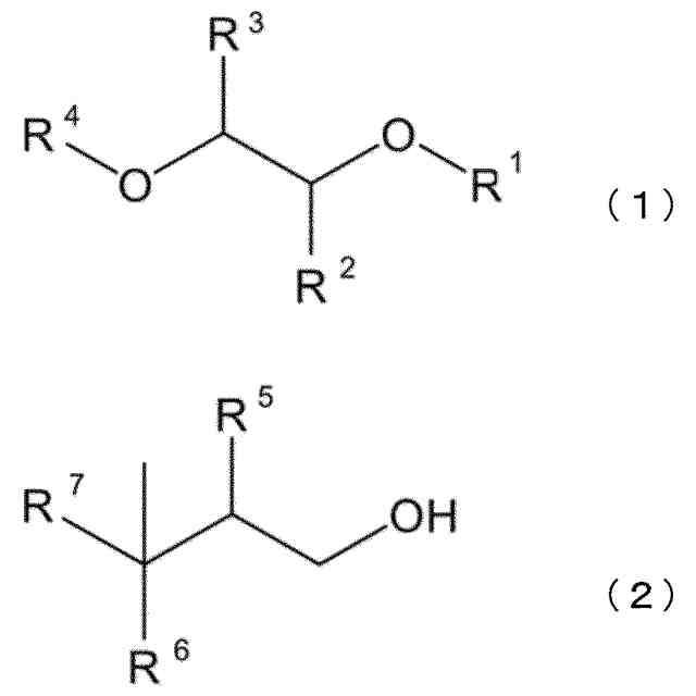
前記親水性グリコールエーテル化合物は、式(1)で表され、且つ20℃の環境下において、水の溶解度が50質量%を超える化合物、又は式(2)で表され、且つ20℃の環境下において、水の溶解度が50質量%を超える化合物である、請求項1又は請求項2に記載の洗浄剤組成物。
TIFF
2025169311000010.tif
70
114
(式(1)中、R
1
、R
2
及びR
3
は、それぞれ独立に水素原子、メチル基、又はエチル基を示し、R
4
は、炭素数1~11の鎖状及び/又は環状の炭化水素基を示し、前記炭化水素基に含まれる-CH
2
-は、-O-に置き換わっていてもよく、式(2)中、R
5
及びR
6
は、それぞれ独立に水素原子又はメトキシ基を示し、前記R
5
及び前記R
6
のいずれかはメトキシ基であり、R
7
は水素原子又はメチル基を示す。)
【請求項7】
前記親水性グリコールエーテル化合物は、エチレングリコールモノメチルエーテル、エチレングリコールモノブチルエーテル、エチレングリコールモノアリルエーテル、プロピレングリコールモノプロピルエーテル、エチレングリコールモノイソブチルエーテル、エチレングリコールモノ-tert-ブチルエーテル、プロピレングリコールモノメチルエーテル、ジプロピレングリコールモノメチルエーテル、トリプロピレングリコールモノメチルエーテル、ジエチレングリコールモノメチルエーテル、ジエチレングリコールモノブチルエーテル、ジエチレングリコールモノイソブチルエーテル、ジエチレングリコールモノイソプロピルエーテル、ジエチレングリコールモノベンジルエーテル、エチレングリコールジメチルエーテル、ジエチレングリコールジメチルエーテル、ジエチレングリコールエチルメチルエーテル、ジエチレングリコールジエチルエーテル、ジエチレングリコールイソプロピルメチルエーテル、トリエチレングリコールモノメチルエーテル、トリエチレングリコールモノブチルエーテル、トリエチレングリコールジメチルエーテル、ジエチレングリコールモノヘキシルエーテル、エチレングリコールモノイソプロピルエーテル、2-メトキシブタノール、3-メトキシブタノール、3-メトキシ-3-メチルブタノール、及びプロピルセロソルブからなる群より選択される少なくとも1種の化合物である、請求項6に記載の洗浄剤組成物。
【請求項8】
前記有機酸は、親水性酸及び/又は疎水性酸であり、
前記親水性酸は、ニトリロトリス(メチレンホスホン酸)、酒石酸、クエン酸、リンゴ酸、グリコール酸、プロピオン酸、2-ホスホノブタン-1,2,4-トリカルボン酸、1-ヒドロキシエタン-1,1-ジホスホン酸、グリシン、フィチン酸、1H-ベンゾトリアゾール-4-カルボン酸、1H-ベンゾトリアゾール-5-カルボン酸、及びp-トルエンスルホン酸からなる群より選択される少なくとも1種の親水性酸であり、
前記疎水性酸は、ジエチレントリアミン五酢酸、ビシン、エチレンジアミンテトラ(メチレンホスホン酸)、オクタン酸、ノナン酸、デカン酸、ウンデカン酸、ラウリン酸、アレンドロン酸、及び1-アミノ-2-ナフトール-4-スルホン酸からなる群より選択される少なくとも1種の疎水性酸である、請求項1又は請求項2に記載の洗浄剤組成物。
【請求項9】
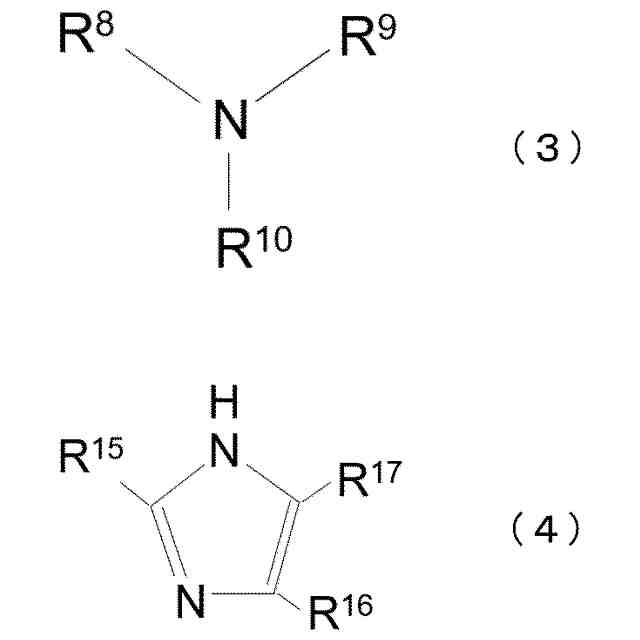
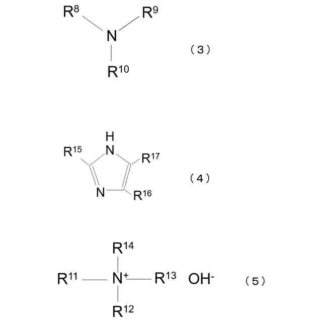
前記親水性含窒素有機化合物は、式(3)で表され、且つ20℃の環境下において、水の溶解度が50質量%を超える化合物、又は式(4)で表され、且つ20℃の環境下において、水の溶解度が50質量%を超える化合物であり、
前記親水性第4級アンモニウム塩は、式(5)で表され、且つ20℃の環境下において、水の溶解度が50質量%を超える化合物である、請求項1又は請求項2に記載の洗浄剤組成物。
TIFF
2025169311000011.tif
111
114
(式(3)中、R
8
は、-CH
2
CH
2
OH基、-CH
2
CH(OH)CH
3
基、-CH
2
CH
2
CH
2
NH
2
基、又は炭素数1~4の鎖状炭化水素基を示し、R
9
は、水素原子、-CH
2
CH
2
OH基、-CH
2
CH
2
CH
2
NH
2
基、又は-CH
2
CH(OH)CH
3
基を示し、R
10
は、水素原子、-CH
2
CH
2
OH基、又はメチル基を示し、式(4)中、R
15
、R
16
、R
17
は、それぞれ独立に水素原子又はメチル基を示し、式(5)中、R
11
、R
12
、R
13
、R
14
は、それぞれ独立に炭素数1~2の炭化水素基を示す。)
【請求項10】
前記親水性含窒素有機化合物は、モノイソプロパノールアミン、3,3’-ジアミノ-N-メチルジプロピルアミン、3,3’-ジアミノジプロピルアミン、N-エチルエタノールアミン、ジイソプロパノールアミン、ジエタノールアミン、N-n-ブチルジエタノールアミン、トリエタノールアミン、メチルジエタノールアミン、及び2-メチルイミダゾールからなる群より選択される少なくとも1種の親水性含窒素有機化合物であり、
前記親水性第4級アンモニウム塩は、水酸化テトラエチルアンモニウムである、請求項9に記載の洗浄剤組成物。
(【請求項11】以降は省略されています)
発明の詳細な説明
【技術分野】
【0001】
本発明は、洗浄剤組成物、及び洗浄剤組成物用の原液に関する。
続きを表示(約 1,600 文字)
【背景技術】
【0002】
従来から、集積回路(IC)及びコンデンサ等の電子部品をプリント基板、カメラモジュール部品等にはんだ付けする際に、ソルダペーストからフラックスが飛散し、電極の周囲に残渣として付着することが知られている(以下、上述のフラックスの残渣を「フラックス残渣」という場合がある。)。
【0003】
フラックス残渣は、はんだ接合部における腐食等の原因となるほか、ワイヤボンディングを行う工程での接合不良及び、樹脂封止をする工程におけるモールド樹脂との密着不良等の原因となりうる。そのため、フラックス残渣は洗浄剤で除去する必要があり、従来から種々の洗浄剤が提案されている(特許文献1、特許文献2、及び特許文献3)。
【先行技術文献】
【特許文献】
【0004】
特開平05-105899号公報
特開2002-201492号公報
特開平05-043897号公報
【発明の概要】
【発明が解決しようとする課題】
【0005】
近年、洗浄剤組成物において、フラックス残渣の洗浄性及び取り扱い性の向上が求められている。また、環境への安全性の観点から、洗浄剤組成物において、揮発性有機化合物(VOC)の低減が求められている。しかしながら、従来の洗浄剤組成物においては、フラックス残渣の洗浄性及び取り扱い性の向上と、揮発性有機化合物(VOC)の低減とを兼備することが困難な場合があった。また、フラックス残渣の洗浄性及び取り扱い性に優れ、揮発性有機化合物(VOC)が低減されている場合であっても、洗浄剤組成物に含まれる有機酸によって、洗浄対象物に含まれる金属(例えば、亜鉛(Zn)、鉄(Fe))の腐食(言い換えれば「金属影響」)を生じ易い場合があった。
【0006】
本発明は、上記事情に鑑みてなされたものであり、フラックス洗浄性及び取り扱い性に優れ、且つ金属影響及び揮発性有機化合物(VOC)が低減された洗浄剤組成物、及び洗浄剤組成物用の原液を提供することを目的とする。
【課題を解決するための手段】
【0007】
本開示の一態様に係る洗浄剤組成物は、親水性グリコールエーテル化合物と、有機酸と、第1化合物と、水とを含む洗浄剤組成物であって、
該第1化合物は、親水性含窒素有機化合物及び/又は親水性第4級アンモニウム塩であり、
該水の含有率は、20質量%以上であり、
該有機酸に対する該第1化合物のモル比は、1以上35以下である。
【0008】
本開示の一態様に係る洗浄剤組成物用の原液は、上記の洗浄剤組成物用の原液であって、
該親水性グリコールエーテル化合物の含有率は、40質量%以上98.8質量%以下であり、
該有機酸の含有率は、0.1質量%以上20質量%以下であり、
該第1化合物の含有率は、1.1質量%以上40質量%以下であり、
水で1.1倍以上20倍以下に希釈して用いられる。
【発明の効果】
【0009】
本発明によれば、フラックス洗浄性及び取り扱い性に優れ、且つ金属影響及び揮発性有機化合物(VOC)が低減された洗浄剤組成物、及び洗浄剤組成物用の原液を提供することが可能になる。
【発明を実施するための形態】
【0010】
[本開示の実施形態の説明]
最初に本開示の実施態様を列記して説明する。
[1]本開示の洗浄剤組成物は、
親水性グリコールエーテル化合物と、有機酸と、第1化合物と、水とを含む洗浄剤組成物であって、
前記第1化合物は、親水性含窒素有機化合物及び/又は親水性第4級アンモニウム塩であり、
前記水の含有率は、20質量%以上であり、
前記有機酸に対する前記第1化合物のモル比は、1以上35以下である。
(【0011】以降は省略されています)
この特許をJ-PlatPat(特許庁公式サイト)で参照する
関連特許
化研テック株式会社
洗浄剤組成物、及び洗浄剤組成物用の原液
5日前
個人
植物油溶剤抽出システム
2か月前
三商株式会社
食器用洗剤組成物
1か月前
長谷川香料株式会社
香味付与剤
2か月前
伯東株式会社
銅系配管の洗浄方法
1か月前
花王株式会社
洗浄剤組成物
18日前
花王株式会社
洗浄剤組成物
18日前
花王株式会社
洗浄剤組成物
18日前
花王株式会社
衣料用液体洗浄剤
1か月前
花王株式会社
界面活性剤組成物
1か月前
花王株式会社
衣料用液体洗浄剤
1か月前
川研ファインケミカル株式会社
固形洗浄剤組成物
1か月前
花王株式会社
衣料用液体洗浄剤組成物
11日前
花王株式会社
硬質表面用液体洗浄剤組成物
1か月前
小林製薬株式会社
洗浄剤組成物
1か月前
小林製薬株式会社
洗浄剤組成物
19日前
個人
薄形の円板状、楕円板状等に形成する薄形の固形石鹸
20日前
株式会社イチネンケミカルズ
スラッジ洗浄剤
2か月前
サンスター技研株式会社
離毛用水性組成物
1か月前
株式会社カネカ
油脂の製造方法
1か月前
ライオン株式会社
繊維製品用の液体洗浄剤組成物
10日前
シヤチハタ株式会社
電子供与物可視化キット及び電子供与物可視化方法
2か月前
花王株式会社
漂白洗浄剤組成物及びカビ汚れの漂白洗浄方法
2か月前
株式会社コープクリーン
粉末洗浄剤組成物
1か月前
個人
お香製造方法、情報処理システム、情報処理方法、及びプログラム
26日前
有限会社エフ・アールエム
液体洗浄剤
1か月前
株式会社ADEKA
除菌洗浄剤組成物
1か月前
ライオン株式会社
繊維製品用液体洗浄剤組成物及び繊維製品の洗浄方法
10日前
山崎産業株式会社
硬質表面用の抗菌性付与液状酸性洗浄剤組成物及び抗菌性付与方法
2か月前
大日本印刷株式会社
熱転写シートの洗浄方法およびリサイクル原料の製造方法
1か月前
株式会社レゾナック
洗浄組成物及び洗浄組成物の製造方法
1か月前
日本珪華化学工業株式会社
家庭用洗浄剤組成物および家庭用洗浄剤組成物の製造方法
1か月前
ライオン株式会社
硬質表面用液体洗浄剤、及び硬質表面用液体洗浄剤製品
2か月前
オルガノ株式会社
タンパク質洗浄剤およびタンパク質洗浄方法
1か月前
ASPiA JAPAN株式会社
グリストラップから油分を回収しリサイクルする方法
1か月前
パネフリ工業株式会社
農業用ハウス洗浄剤とその製造方法
1か月前
続きを見る
他の特許を見る