TOP
|
特許
|
意匠
|
商標
特許ウォッチ
Twitter
他の特許を見る
10個以上の画像は省略されています。
公開番号
2025168224
公報種別
公開特許公報(A)
公開日
2025-11-07
出願番号
2025009335
出願日
2025-01-22
発明の名称
老化細胞除去用組成物およびその用途
出願人
国立大学法人京都大学
代理人
弁理士法人レクシード・テック
主分類
A23L
33/10 20160101AFI20251030BHJP(食品または食料品;他のクラスに包含されないそれらの処理)
要約
【課題】老化細胞を除去できる組成物を提供する。
【解決手段】本開示の組成物は、スフィンゴシン類を含む。
【選択図】図6
特許請求の範囲
【請求項1】
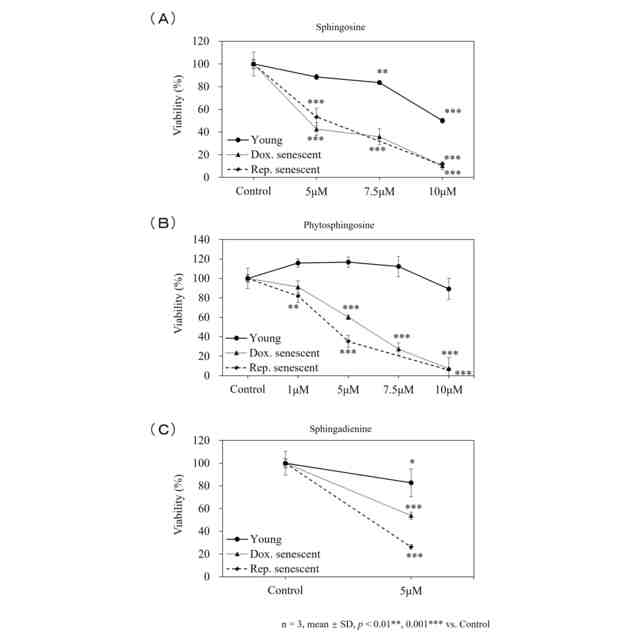
スフィンゴシン類を含む、老化細胞除去用組成物。
続きを表示(約 660 文字)
【請求項2】
前記スフィンゴシン類は、スフィンゴシン、フィトスフィンゴシン、スフィンガジエニン、スフィンガニン、およびスフィンゲニンからなる群から選択される少なくとも1種である、請求項1に記載の老化細胞除去用組成物。
【請求項3】
食品組成物である、請求項1または2に記載の老化細胞除去用組成物。
【請求項4】
化粧料組成物である、請求項1または2に記載の老化細胞除去用組成物。
【請求項5】
前記スフィンゴシン類の含有量は、0.000001~0.1重量%である、請求項4に記載の老化細胞除去用組成物。
【請求項6】
スフィンゴシン類を含む、認知機能改善用組成物。
【請求項7】
前記スフィンゴシン類は、スフィンゴシン、フィトスフィンゴシン、スフィンガジエニン、スフィンガニン、およびスフィンゲニンからなる群から選択される少なくとも1種である、請求項6に記載の認知機能改善用組成物。
【請求項8】
食品組成物である、請求項6または7に記載の認知機能改善用組成物。
【請求項9】
スフィンゴシン類を含む、学習機能改善用組成物。
【請求項10】
前記スフィンゴシン類は、スフィンゴシン、フィトスフィンゴシン、スフィンガジエニン、スフィンガニン、およびスフィンゲニンからなる群から選択される少なくとも1種である、請求項9に記載の学習機能改善用組成物。
(【請求項11】以降は省略されています)
発明の詳細な説明
【技術分野】
【0001】
本開示は、老化細胞除去用組成物およびその用途に関する。
続きを表示(約 790 文字)
【背景技術】
【0002】
老化細胞は、正常細胞と比較して、持続的な増殖が低下または停止した細胞を意味する。老化細胞は、炎症性サイトカイン、ケモカイン、成長因子等を分泌することが示されており、この現象は、老化関連分泌表現型(senescence-associated secretory phenotype(SASP))と称され、老化関連疾患の発症に関連していることが示唆されている(特許文献1)。
【0003】
近年、老化細胞を選択的に除去できる薬剤の開発は、健康寿命の延長および加齢に伴う疾患の治療に対する新たな方法論の確立につながると考えられている。前記薬剤として、例えば、グルタミナーゼ阻害剤を有効成分として含む薬剤が知られている(特許文献1)。
【先行技術文献】
【特許文献】
【0004】
国際公開第2020/095971号公報
【発明の概要】
【発明が解決しようとする課題】
【0005】
老化細胞を選択的に除去できる薬剤の開発は、近年開始されたばかりであり、十分に進んでいない。
【0006】
そこで、本開示は、老化細胞を除去可能な組成物およびその用途の提供を目的とする。
【課題を解決するための手段】
【0007】
前記目的を達成するため、本開示の老化細胞除去用組成物は、スフィンゴシン類を含む。
【0008】
本開示の認知機能改善用組成物は、スフィンゴシン類を含む。
【0009】
本開示の学習機能改善用組成物は、スフィンゴシン類を含む。
【0010】
本開示の運動機能改善用組成物は、スフィンゴシン類を含む。
【発明の効果】
(【0011】以降は省略されています)
この特許をJ-PlatPat(特許庁公式サイト)で参照する
関連特許
国立大学法人京都大学
抗がん剤
3か月前
国立大学法人京都大学
バイオセンサ
3か月前
国立大学法人京都大学
多環芳香族化合物
3か月前
国立大学法人京都大学
多環芳香族化合物
3か月前
国立大学法人京都大学
多環芳香族化合物
2か月前
国立大学法人京都大学
凍結細胞の製造方法
5か月前
国立大学法人京都大学
タンパク質集積構造体
1か月前
国立大学法人京都大学
白血病の髄外浸潤マーカー
1か月前
国立大学法人京都大学
重合体の製造方法及び重合体
3日前
国立大学法人京都大学
ブロック共重合体の製造方法
5か月前
国立大学法人京都大学
電気伝導体及びその設計方法
3か月前
国立大学法人京都大学
近位尿細管生体模倣システム
19日前
国立大学法人京都大学
陽極およびアルカリ水電解装置
5か月前
国立大学法人京都大学
2次元フォトニック結晶レーザ
2か月前
国立大学法人京都大学
2次元フォトニック結晶レーザ
2か月前
国立大学法人京都大学
配座固定アミロイドβ42誘導体
3か月前
国立大学法人京都大学
神経変性疾患の予防または治療薬
5か月前
ダイキン工業株式会社
共重合体
19日前
国立大学法人京都大学
全固体イオン選択性電極用組成物
5か月前
国立大学法人京都大学
フルオロリン酸イオンを分離する方法
2か月前
国立大学法人京都大学
老化細胞除去用組成物およびその用途
24日前
国立大学法人京都大学
二酸化炭素を回収する方法および装置
4か月前
国立大学法人京都大学
フーリエ変換装置および無線通信装置
5か月前
DMG森精機株式会社
表面発光装置
3か月前
住友化学株式会社
組成物及び発光素子
17日前
株式会社構造計画研究所
領域変形装置
3か月前
国立大学法人京都大学
BRG1遺伝子を標的とした膵癌治療剤
2か月前
Spiber株式会社
改変フィブロイン
12日前
東ソー株式会社
がんモデル動物の作製方法
4か月前
国立大学法人京都大学
2次元フォトニック結晶レーザ用パルス電源
19日前
スタンレー電気株式会社
面発光レーザ装置
3か月前
スミダ電機株式会社
測定装置および測定方法
1か月前
トヨタ紡織株式会社
繊維状複合体の製造方法
1か月前
トヨタ紡織株式会社
繊維状複合体の製造方法
1か月前
国立大学法人京都大学
車両管理システム、車両管理方法、及びプログラム
2か月前
国立大学法人京都大学
NV中心作製方法およびダイヤモンド粒子の製造方法
2か月前
続きを見る
他の特許を見る