TOP
|
特許
|
意匠
|
商標
特許ウォッチ
Twitter
他の特許を見る
10個以上の画像は省略されています。
公開番号
2025161829
公報種別
公開特許公報(A)
公開日
2025-10-24
出願番号
2025128114,2022540767
出願日
2025-07-31,2020-12-29
発明の名称
インスリン誘導体
出願人
甘李薬業股フン有限公司
,
GAN & LEE PHARMACEUTICALS CO., LTD.
代理人
弁理士法人ITOH
主分類
C07K
14/62 20060101AFI20251017BHJP(有機化学)
要約
【課題】
本発明は、新規のインスリン誘導体、その薬物製剤、それと長時間作用型GLP-1化合物との薬物組成物、及び上記アシル化インスリン、薬物製剤と薬物組成物の医薬用途に関する。
【解決手段】
上記新規のアシル化インスリンは、インスリンデグルデク又は他のインスリン誘導体と比べて、予想以上の顕著に増加した薬効を有し、より長い作用持続時間、より長いインビボ半減期、良好な生物学的利用能を有するとともに、より好ましい物理的安定性、化学的安定性を有する。
【選択図】なし
特許請求の範囲
【請求項1】
インスリン母体、アルブミン結合残基及び連結基Linを含むインスリン誘導体であって、前記アルブミン結合残基は前記連結基Linを介して前記インスリン母体に連結され、
前記連結基Linは、5~9個の中性で、アルキレングリコールを含むアミノ酸残基を含み、
ここで、前記中性で、アルキレングリコールを含むアミノ酸残基は、-HN-(CH
2
)
2
-O-(CH
2
)
2
-O-CH
2
-CO-、-HN-(CH
2
)
2
-O-(CH
2
)
2
-O-(CH
2
)
2
-O-(CH
2
)
2
-O-(CH
2
)
2
-CO-、-HN-(CH
2
)
2
-O-(CH
2
)
2
-O-(CH
2
)
2
-O-(CH
2
)
2
-O-(CH
2
)
2
-O-(CH
2
)
2
-O-(CH
2
)
2
-CO-、-HN-(CH
2
)
2
-O-(CH
2
)
2
-O-(CH
2
)
2
-O-(CH
2
)
2
-O-(CH
2
)
2
-O-(CH
2
)
2
-O-(CH
2
)
2
-O-(CH
2
)
2
-O-(CH
2
)
2
-CO-、-HN-(CH
2
続きを表示(約 5,900 文字)
【請求項2】
さらに、1つ又は複数の連結基IIを含み、前記連結基IIは酸性アミノ酸残基であり、前記酸性アミノ酸残基γGlu、αGlu、βAsp、αAsp、γ-D-Glu、α-D-Glu、β-D-Asp及びα-D-Aspからなる群から選択され、かつ、前記連結基IIは前記アルブミン結合残基と上記連結基Linとの間に連結され、及び/又は上記連結基Linと上記インスリン母体との間に連結される、請求項1に記載のインスリン誘導体。
【請求項3】
アシル化インスリンであり、前記アシル化インスリンのインスリン母体は、B29位に少なくとも1つのリジン残基を含み、並びに、desB30ヒトインスリン;A14E、B16H、B25H、desB30ヒトインスリン;A14E、B16E、B25H、desB30ヒトインスリン;ヒトインスリン;A21Gヒトインスリン;A21G、desB30ヒトインスリン;及びB28Dヒトインスリンからなる群から選択され、かつ、
前記アシル化インスリンのアシル基部分は前記インスリン母体のB29位に位置するリジン残基又はN末端アミノ酸残基のアミノ基に連結され、前記アシル基部分は式(A)、すなわち、
III-(II)
m
-(I)
n
- (A)で示され、
ただし、
mは0、1、2、3、4、5、6、7、8、9又は10であり、及び、nは5、6、7、8又は9であり、
Iは中性で、アルキレングリコールを含むアミノ酸残基であり、
前記中性で、アルキレングリコールを含むアミノ酸残基は、-HN-(CH
2
)
2
-O-(CH
2
)
2
-O-CH
2
-CO-、-HN-(CH
2
)
2
-O-(CH
2
)
2
-O-(CH
2
)
2
-O-(CH
2
)
2
-O-(CH
2
)
2
-CO-、-HN-(CH
2
)
2
-O-(CH
2
)
2
-O-(CH
2
)
2
-O-(CH
2
)
2
-O-(CH
2
)
2
-O-(CH
2
)
2
-O-(CH
2
)
2
-CO-、-HN-(CH
2
)
2
-O-(CH
2
)
2
-O-(CH
2
)
2
-O-(CH
2
)
2
-O-(CH
2
)
2
-O-(CH
2
)
2
-O-(CH
2
【請求項4】
アシル化インスリンであり、前記アシル化インスリンのインスリン母体は、B29位に少なくとも1つのリジン残基を含み、並びに、desB30ヒトインスリン;A14E、B16H、B25H、desB30ヒトインスリン;A14E、B16E、B25H、desB30ヒトインスリン;ヒトインスリン;A21Gヒトインスリン;A21G、desB30ヒトインスリン;及びB28Dヒトインスリンからなる群から選択され、ここで、
前記アシル化インスリンのアシル基部分は前記インスリン母体のB29位のリジン残基又はN末端アミノ酸残基のアミノ基に連結され、前記アシル基部分は式(A)、すなわち、
III-(II)
m
-(I)
n
- (A)で示され、
ただし、
mは0又は1~10の整数であり、及び、nは5、6、7、8又は9であり、
Iは中性で、アルキレングリコールを含むアミノ酸残基であり、前記アルキレングリコールを含むアミノ酸残基は、-HN-(CH
2
)
2
-O-(CH
2
)
2
-O-CH
2
-CO-、-HN-(CH
2
)
2
-O-(CH
2
)
2
-O-(CH
2
)
2
-O-(CH
2
)
2
-O-(CH
2
)
2
-CO-、-HN-(CH
2
)
2
-O-(CH
2
)
2
-O-(CH
2
)
2
-O-(CH
2
)
2
-O-(CH
2
)
2
-O-(CH
2
)
2
-O-(CH
2
)
2
-CO-、-HN-(CH
2
)
2
-O-(CH
2
)
2
-O-(CH
2
)
2
-O-(CH
2
)
2
-O-(CH
2
)
2
-O-(CH
2
)
2
-O-(CH
2
)
2
【請求項5】
前記脂肪酸又は脂肪族二酸の炭素原子が20~24個である、請求項1、3及び4のいずれか一項に記載のインスリン誘導体。
【請求項6】
nが5、6、7又は8であり;及び/又は
mが1、2、3又は4であり;及び/又は
前記IIIが、炭素原子が20、21又は22個である脂肪族二酸であり、ただし、形態上で、ヒドロキシ基は、既に前記脂肪族二酸のカルボキシ基のうちの一つから除去されており;及び/又は
前記インスリン母体が1個のリジン残基を含む、
請求項3又は4に記載のインスリン誘導体。
【請求項7】
前記Iが-HN-(CH
2
)
2
-O-(CH
2
)
2
-O-CH
2
-CO-であり、及び/又は
前記IIがγGlu及びβAspからなる群から選択されるアミノ酸残基であり、及び/又は
前記IIIはHOOC-(CH
2
)
18
-CO-、HOOC-(CH
2
)
19
-CO-、HOOC-(CH
2
)
20
-CO-、HOOC-(CH
2
)
21
-CO-、HOOC-(CH
2
)
22
-CO-、又はHOOC-(CH
2
)
24
-CO-である、
請求項3又は4に記載のインスリン誘導体。
【請求項8】
前記アシル基部分は、前記インスリン母体のリジン残基のεアミノ基に連結される、3~7のいずれか一項に記載のインスリン誘導体。
【請求項9】
前記インスリン母体はdesB30ヒトインスリン;A14E、B16H、B25H、desB30ヒトインスリン;又はA14E、B16E、B25H、desB30ヒトインスリンである、請求項1~8のいずれか一項に記載のインスリン誘導体。
【請求項10】
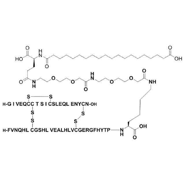
前記アシル化インスリンが、以下の:
B29K(N(ε)-エイコサンジオイル-γGlu-5xOEG)、desB30ヒトインスリン;
B29K(N(ε)-エイコサンジオイル-γGlu-6xOEG)、desB30ヒトインスリン;
B29K(N(ε)-エイコサンジオイル-γGlu-γGlu-5xOEG)、desB30ヒトインスリン;
B29K(N(ε)-エイコサンジオイル-γGlu-γGlu-6xOEG)、desB30ヒトインスリン;
B29K(N(ε)-エイコサンジオイル-5xOEG-γGlu)、desB30ヒトインスリン;
B29K(N(ε)-エイコサンジオイル-6xOEG-γGlu)、desB30ヒトインスリン;
B29K(N(ε)-エイコサンジオイル-6xOEG-γGlu-γGlu)、
desB30ヒトインスリン;B29K(N(ε)-エイコサンジオイル-5xOEG-γGlu-γGlu)、
desB30ヒトインスリン;B29K(N(ε)-エイコサンジオイル-βAsp-5xOEG)、
desB30ヒトインスリン;B29K(N(ε)-エイコサンジオイル-βAsp-6xOEG)、desB30ヒトインスリン;
B29K(N(ε)-エイコサンジオイル-αGlu-5xOEG)、desB30ヒトインスリン;
B29K(N(ε)-エイコサンジオイル-αGlu-6xOEG)、desB30ヒトインスリン;
B29K(N(ε)-エイコサンジオイル-αGlu-αGlu-5xOEG)、desB30ヒトインスリン;
B29K(N(ε)-エイコサンジオイル-αGlu-αGlu-6xOEG)、desB30ヒトインスリン;
B29K(N(ε)-エイコサンジオイル-αAsp-5xOEG)、desB30ヒトインスリン;
B29K(N(ε)-エイコサンジオイル-αAsp-6xOEG)、desB30ヒトインスリン;
B29K(N(ε)-エイコサンジオイル-γGlu-7xOEG)、desB30ヒトインスリン;
B29K(N(ε)-エイコサンジオイル-γGlu-8xOEG)、desB30ヒトインスリン;
B29K(N(ε)-エイコサンジオイル-γGlu-γGlu-7xOEG)、desB30ヒトインスリン;
B29K(N(ε)-エイコサンジオイル-γGlu-γGlu-8xOEG)、desB30ヒトインスリン;
B29K(N(ε)-エイコサンジオイル-7xOEG-γGlu)、desB30ヒトインスリン;
B29K(N(ε)-エイコサンジオイル-8xOEG-γGlu)、desB30ヒトインスリン;
B29K(N(ε)-エイコサンジオイル-8xOEG-γGlu-γGlu)、desB30ヒトインスリン;
B29K(N(ε)-エイコサンジオイル-7xOEG-γGlu-γGlu)、desB30ヒトインスリン;
B29K(N(ε)-エイコサンジオイル-βAsp-7xOEG)、desB30ヒトインスリン;
B29K(N(ε)-エイコサンジオイル-βAsp-8xOEG)、desB30ヒトインスリン;
B29K(N(ε)-エイコサンジオイル-αGlu-7xOEG)、desB30ヒトインスリン;
B29K(N(ε)-エイコサンジオイル-αGlu-8xOEG)、desB30ヒトインスリン;
B29K(N(ε)-エイコサンジオイル-αGlu-αGlu-7xOEG)、desB30ヒトインスリン;
B29K(N(ε)-エイコサンジオイル-αGlu-αGlu-8xOEG)、desB30ヒトインスリン;
B29K(N(ε)-エイコサンジオイル-αAsp-7xOEG)、desB30ヒトインスリン;
B29K(N(ε)-エイコサンジオイル-αAsp-8xOEG)、desB30ヒトインスリン;
B29K(N(ε)-ドコサンジオイル-γGlu-5xOEG)、desB30ヒトインスリン;
B29K(N(ε)-ドコサンジオイル-γGlu-6xOEG)、desB30ヒトインスリン;
B29K(N(ε)-ドコサンジオイル-γGlu-γGlu-5xOEG)、desB30ヒトインスリン;
B29K(N(ε)-ドコサンジオイル-γGlu-γGlu-6xOEG)、desB30ヒトインスリン;
B29K(N(ε)-ドコサンジオイル-5xOEG-γGlu)、desB30ヒトインスリン;
B29K(N(ε)-ドコサンジオイル-6xOEG-γGlu)、desB30ヒトインスリン;
B29K(N(ε)-ドコサンジオイル-6xOEG-γGlu-γGlu)、desB30ヒトインスリン;
B29K(N(ε)-ドコサンジオイル-5xOEG-γGlu-γGlu)、desB30ヒトインスリン;
B29K(N(ε)-ドコサンジオイル-βAsp-5xOEG)、desB30ヒトインスリン;
B29K(N(ε)-ドコサンジオイル-βAsp-6xOEG)、desB30ヒトインスリン;
B29K(N(ε)-ドコサンジオイル-αGlu-5xOEG)、desB30ヒトインスリン;
B29K(N(ε)-ドコサンジオイル-αGlu-6xOEG)、desB30ヒトインスリン;
B29K(N(ε)-ドコサンジオイル-αGlu-αGlu-5xOEG)、desB30ヒトインスリン;
B29K(N(ε)-ドコサンジオイル-αGlu-αGlu-6xOEG)、desB30ヒトインスリン;
B29K(N(ε)-ドコサンジオイル-αAsp-5xOEG)、desB30ヒトインスリン;
B29K(N(ε)-ドコサンジオイル-αAsp-6xOEG)、desB30ヒトインスリン;
B29K(N(ε)-ドコサンジオイル-γGlu-7xOEG)、desB30ヒトインスリン;
(【請求項11】以降は省略されています)
発明の詳細な説明
【技術分野】
【0001】
本発明は、治療用ペプチドの分野に関し、具体的に、新規のインスリン誘導体、その薬物製剤、それと長時間作用型GLP-1化合物との薬物組成物、それと速効型インスリンとの薬物組成物、及び上記インスリン誘導体、薬物製剤と薬物組成物の医薬用途に関する。
続きを表示(約 2,700 文字)
【背景技術】
【0002】
インスリンは、膵臓のβ細胞から分泌されるポリペプチドホルモンである。インスリンは、A鎖とB鎖と命名された2本のポリペプチド鎖で構成され、上記A鎖とB鎖は、2つの鎖間ジスルフィド結合によって連結されている。ヒト、ブタ及びウシのインスリンにおいて、A鎖とB鎖はそれぞれ、21個と30個のアミノ酸残基を含む。しかし、2本の鎖の異なる位置に存在するアミノ酸残基は、種によって異なっている。遺伝子工学的改変の幅広い適用により、1つ又は複数のアミノ酸残基の置換、欠乏及び追加によって、天然に存在するインスリンの類似体を調製することが可能になる。
【0003】
インスリンは、糖尿病及びそれに関連する又はそれに起因する疾患の治療に使用することができ、正常な代謝調節の維持に必要なものである。しかし、ヒトインスリンなどの天然インスリンは作用時間が短いため、患者に頻繁に注射する必要があり、注射による多くの不快感を患者に感じさせてしまう。従って、インスリンの高頻度の注射による不便と不快感を改善するように、薬効が良く、作用時間がより長く、注射頻度がより低いインスリン誘導体又は類似体を得ることが取り組まれている。
【0004】
WO1995007931A1には、市販の長時間作用型インスリンであるインスリンデテミルが開示されており、その分子構造は、ヒトインスリンB鎖の30位のスレオニンを除去し、B鎖の第29位のリジン残基に炭素数14の脂肪族一酸が連結されることを特徴とする。WO2005012347A2には、市販の別の長時間作用型インスリンであるインスリンデグルデクが開示されており、インスリンデグルデクは、インスリンデテミルよりも作用時間が長い新規の超長時間作用型インスリンであり、その分子構造は、ヒトインスリンB鎖の30位のスレオニンを除去し、1つのグルタミン酸分子によって炭素数16の脂肪族二酸側鎖をB29位のリジン残基に連結することを特徴とする。CN101573133B及びWO2009/010428には、PEG(PEGylated)化で延長されたインスリンが開示されており、通常の未修飾のインスリンと比べて、PEG化で延長されたインスリンは、より長い作用時間を有する。WO2013086927A1及びWO2018/024186には、長時間作用型ヒトインスリン類似体のアシル化誘導体が開示されている。
【0005】
しかし、今まで、1日1回の皮下注射よりも低い頻度の基礎インスリン製品の市販は、まだ承認されていない。
【発明の概要】
【発明が解決しようとする課題】
【0006】
従って、市販のインスリン(例えば、インスリンデグルデク)又は既知のインスリン誘導体と比べて、より良い薬効又は効能、より長い作用時間、より低い投与頻度、より優れた物理化学的特性を有するインスリン誘導体又は類似体は、今でも求められている。
【課題を解決するための手段】
【0007】
本発明は、新規のインスリン誘導体(例えば、アシル化インスリン)を提供する。発明者は、大量の試験を通じて、上記新規のインスリン誘導体(例えば、アシル化インスリン)が市販のインスリンデグルデク(商品名「トレシーバ」)又は他の幾つかのインスリン誘導体と比べて、予想以上の顕著に向上した効能又は薬効、より長い作用持続時間、より長いインビボ半減期、良好な生物学的利用能、より良い安全性を有するとともに、より好ましい物理的安定性、化学的安定性及び溶解度を有することを予想外に発見した。
【0008】
一態様において、本発明はインスリン誘導体を提供し、上記インスリン誘導体はインスリン母体、アルブミン結合残基及び連結基Linを含み、上記インスリン母体は天然に存在するインスリン又はインスリン類似体であり、上記アルブミン結合残基は連結基Linを介して上記インスリン母体に連結され、ただし、
上記連結基Linは、少なくとも10個、好ましくは少なくとも15個、好ましくは少なくとも25個、好ましくは少なくとも30個、好ましくは少なくとも36個、好ましくは15~100個、好ましくは25~90個、好ましくは30~80個、好ましくは30~59個、好ましくは30~54個の炭素原子を有する親水性連結基であり、又は、上記連結基Linは、少なくとも5個の中性で、アルキレングリコールを含むアミノ酸残基を含み、好ましくは、上記連結基Linは、少なくとも6個の中性で、アルキレングリコールを含むアミノ酸残基を含み、好ましくは、上記連結基Linは、5~9個の中性で、アルキレングリコールを含むアミノ酸残基を含み、又は、上記連結基Linは、少なくとも15個、好ましくは少なくとも20個、好ましくは少なくとも24個、好ましくは15~50個、好ましくは20~39個の炭素原子を有するアルキレングリコールを含み、及び
上記アルブミン結合残基は、20~40個の炭素原子を含み、好ましくは、上記アルブミン結合残基は、20~40個の炭素原子を有する線形又は分岐の親油性基を含み、好ましくは、上記アルブミン結合残基は、20~26個の炭素原子を含む脂肪酸又は脂肪族二酸(より好ましくは、20~24個の炭素原子を含む脂肪酸又は脂肪族二酸)であり、ただし、形態上で、ヒドロキシ基は、既に上記脂肪酸のカルボキシ基及び上記脂肪族二酸のカルボキシ基のうちの一つから除去されている。
【0009】
発明者は、大量の実験を通じて、本発明のインスリン誘導体における一定の長さのアルブミン結合残基と一定の長さの親水性連結基とを組み合わせることで、本発明のインスリン誘導体が既存のインスリン誘導体と比べて、相当する又はより長い作用時間を有すると共に、予想以上の顕著に向上した薬効を有し、また、アルブミンの存在下で、インスリン受容体に対する結合能力へのアルブミンによる影響が顕著に低下し、インスリン受容体に対する結合能力が顕著に向上したことを予想外に発見した。
【0010】
幾つかの実施形態において、上記インスリン母体は、少なくとも1つのリジン残基を含み、上記アルブミン結合残基は連結基Linを介して上記インスリン母体のリジン残基又はN末端アミノ酸残基のアミノ基に連結される。
(【0011】以降は省略されています)
この特許をJ-PlatPat(特許庁公式サイト)で参照する
関連特許
甘李薬業股フン有限公司
インスリン誘導体
25日前
クミアイ化学工業株式会社
多形
19日前
東ソー株式会社
タンパク質の発現方法
2か月前
東ソー株式会社
炭素-窒素結合形成方法
4か月前
株式会社トクヤマ
四塩化炭素の製造方法
4か月前
株式会社トクヤマ
シロキサン類の回収方法
4か月前
株式会社半導体エネルギー研究所
有機化合物
3か月前
株式会社半導体エネルギー研究所
有機化合物
19日前
株式会社トクヤマ
ビオチン誘導体の製造方法
3か月前
栗田工業株式会社
ギ酸の回収方法
1か月前
株式会社コスモス
液状炭化水素の増産方法
3か月前
株式会社トクヤマ
ホルムアミド化合物の製造方法
3か月前
東ソー株式会社
イソシアネート化合物の製造方法
2か月前
株式会社トクヤマ
ベンザゼピン化合物の製造方法
3か月前
株式会社コスモス
液状炭化水素の増産方法
3か月前
株式会社トクヤマ
チオラクトン誘導体の製造方法
1か月前
株式会社トクヤマ
チオファニウム塩誘導体の製造方法
21日前
artience株式会社
四塩基酸無水物の製造方法
4か月前
信越化学工業株式会社
新規化合物
4か月前
日産化学株式会社
ピラゾール化合物及び有害生物防除剤
3か月前
国立大学法人東京農工大学
深共晶溶媒
3か月前
大阪瓦斯株式会社
メタン製造システム
1か月前
本田技研工業株式会社
CO2変換方法
1か月前
三菱ケミカル株式会社
アルコールの製造方法
2か月前
株式会社トクヤマ
サフィナミド若しくはその塩の製造方法
4か月前
東ソー株式会社
免疫グロブリン結合性タンパク質の製造方法
2か月前
株式会社トクヤマ
アシル化ベンゼン誘導体の酸塩の製造方法
3か月前
キヤノン株式会社
有機化合物及び有機発光素子
1か月前
東ソー株式会社
免疫グロブリン結合性タンパク質の保存溶液
4か月前
JNC株式会社
有機ケイ素化合物およびこれを用いた重合体
3か月前
JNC株式会社
有機ケイ素化合物およびこれを用いた重合体
2か月前
株式会社半導体エネルギー研究所
有機金属錯体、発光デバイス
3か月前
キヤノン株式会社
有機金属錯体及び有機発光素子
1か月前
個人
IL-17産生誘導能を有する化合物及びその用途
1か月前
デンカ株式会社
有機酸又はその塩の製造方法
2か月前
国立大学法人京都大学
抗がん剤
3か月前
続きを見る
他の特許を見る