TOP
|
特許
|
意匠
|
商標
特許ウォッチ
Twitter
他の特許を見る
10個以上の画像は省略されています。
公開番号
2025160482
公報種別
公開特許公報(A)
公開日
2025-10-22
出願番号
2025131450
出願日
2025-08-06
発明の名称
トリアジン誘導体、核剤組成物、樹脂組成物、成形品、樹脂組成物の製造方法および結晶性樹脂の結晶性向上方法
出願人
株式会社ADEKA
代理人
個人
,
個人
,
個人
,
個人
主分類
C08L
101/00 20060101AFI20251015BHJP(有機高分子化合物;その製造または化学的加工;それに基づく組成物)
要約
【課題】新規のトリアジン誘導体、これを用いた核剤組成物、樹脂組成物、成形品、樹脂組成物の製造方法および結晶性樹脂の結晶性向上方法を提供する。
【解決手段】一般式(1)又は一般式(2)で表されるトリアジン誘導体である。
<com:Image com:imageContentCategory="Drawing"> <com:ImageFormatCategory>JPEG</com:ImageFormatCategory> <com:FileName>2025160482000019.jpg</com:FileName> <com:HeightMeasure com:measureUnitCode="Mm">27</com:HeightMeasure> <com:WidthMeasure com:measureUnitCode="Mm">147</com:WidthMeasure> </com:Image>
<com:Image com:imageContentCategory="Drawing"> <com:ImageFormatCategory>JPEG</com:ImageFormatCategory> <com:FileName>2025160482000020.jpg</com:FileName> <com:HeightMeasure com:measureUnitCode="Mm">27</com:HeightMeasure> <com:WidthMeasure com:measureUnitCode="Mm">147</com:WidthMeasure> </com:Image>
(一般式(1)~(2)中、X
1
~X
4
は、置換基を有する若しくは無置換のアリール基等を表し、Y
1
は置換基を有する若しくは無置換のアリーレン基等を表す。)
【選択図】なし
特許請求の範囲
【請求項1】
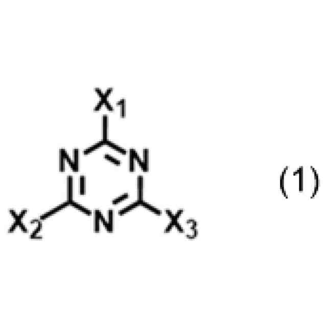
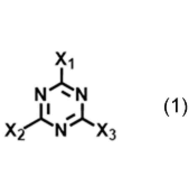
下記一般式(1)で表されるトリアジン誘導体。
JPEG
2025160482000016.jpg
27
147
(一般式(1)中、X
1
、X
2
およびX
3
はそれぞれ独立に置換基を有する若しくは無置換のアリール基、置換基を有する若しくは無置換のアリールアルキル基、置換基を有する若しくは無置換のアリールアミノ基又は置換基を有する若しくは無置換のアリールチオ基を表す。)
続きを表示(約 1,900 文字)
【請求項2】
前記一般式(1)中のX
1
、X
2
およびX
3
がそれぞれ独立に置換基を有する若しくは無置換のアリール基又は置換基を有する若しくは無置換のアリールアルキル基である請求項1記載のトリアジン誘導体。
【請求項3】
前記一般式(1)中のX
1
、X
2
およびX
3
がそれぞれ独立に置換基を有する若しくは無置換のアリールアミノ基である請求項1記載のトリアジン誘導体。
【請求項4】
前記一般式(1)中のX
1
、X
2
およびX
3
がそれぞれ独立に置換基を有する若しくは無置換のアリールチオ基である請求項1記載のトリアジン誘導体。
【請求項5】
下記一般式(2)又は下記一般式(3)で表されるトリアジン誘導体。
JPEG
2025160482000017.jpg
27
147
(一般式(2)中、X
4
は置換基を有する若しくは無置換のアリール基、置換基を有する若しくは無置換のアリールアルキル基、置換基を有する若しくは無置換のアリールアミノ基又は置換基を有する若しくは無置換のアリールチオ基を表し、Y
1
は置換基を有する若しくは無置換のアリーレン基、置換基を有する若しくは無置換のアリーレンジアルキレン基、置換基を有する若しくは無置換のアリーレンジアミノ基又は置換基を有する若しくは無置換のアリーレンジチオ基を表す。)
JPEG
2025160482000018.jpg
24
147
(一般式(3)中、X
5
およびX
6
はそれぞれ独立に置換基を有する若しくは無置換のアリール基、置換基を有する若しくは無置換のアリールアルキル基、置換基を有する若しくは無置換のアリールアミノ基又は置換基を有する若しくは無置換のアリールチオ基を表し、Y
2
は置換基を有する若しくは無置換のアリーレン基、置換基を有する若しくは無置換のアリーレンジアルキレン基、置換基を有する若しくは無置換のアリーレンジアミノ基又は置換基を有する若しくは無置換のアリーレンジチオ基を表す。)
【請求項6】
前記一般式(2)中のX
4
が置換基を有する若しくは無置換のアリール基又は置換基を有する若しくは無置換のアリールアルキル基であり、Y
1
が置換基を有する若しくは無置換のアリーレン基又は置換基を有する若しくは無置換のアリーレンジアルキレン基であり、
前記一般式(3)中のX
5
およびX
6
がそれぞれ独立に置換基を有する若しくは無置換のアリール基又は置換基を有する若しくは無置換のアリールアルキル基であり、Y
2
が置換基を有する若しくは無置換のアリーレン基又は置換基を有する若しくは無置換のアリーレンジアルキレン基である、請求項5記載のトリアジン誘導体。
【請求項7】
前記一般式(2)中のX
4
が置換基を有する若しくは無置換のアリールアミノ基であり、Y
1
が置換基を有する若しくは無置換のアリーレンジアミノ基であり、
前記一般式(3)中のX
5
およびX
6
がそれぞれ独立に置換基を有する若しくは無置換のアリールアミノ基であり、Y
2
が置換基を有する若しくは無置換のアリーレンジアミノ基である、請求項5記載のトリアジン誘導体。
【請求項8】
前記一般式(2)中のX
4
が置換基を有する若しくは無置換のアリールチオ基であり、Y
1
が置換基を有する若しくは無置換のアリーレンジチオ基であり、
前記一般式(3)中のX
5
およびX
6
がそれぞれ独立に置換基を有する若しくは無置換のアリールチオ基であり、Y
2
が置換基を有する若しくは無置換のアリーレンジチオ基である、請求項5記載のトリアジン誘導体。
【請求項9】
請求項1~8のうちいずれか一項に記載のトリアジン誘導体を含む核剤組成物。
【請求項10】
結晶性樹脂と、
請求項1~4のうちいずれか一項に記載のトリアジン誘導体と、
を含む樹脂組成物。
(【請求項11】以降は省略されています)
発明の詳細な説明
【技術分野】
【0001】
本発明は、トリアジン誘導体、核剤組成物、樹脂組成物、成形品、樹脂組成物の製造方法および結晶性樹脂の結晶性向上方法に関する。
続きを表示(約 1,400 文字)
【背景技術】
【0002】
合成樹脂の添加剤として種々の化合物が検討されている。例えば、下記特許文献1には、合成樹脂用の添加剤としてトリアジン骨格を有する化合物が開示されている。
【先行技術文献】
【特許文献】
【0003】
特開昭54―4950号公報
【発明の概要】
【発明が解決しようとする課題】
【0004】
本発明の目的は、新規のトリアジン誘導体、これを用いた核剤組成物、樹脂組成物、成形品、樹脂組成物の製造方法および結晶性樹脂の結晶性向上方法を提供することである。
【課題を解決するための手段】
【0005】
本発明は、下記一般式(1)で表されるトリアジン誘導体である。
JPEG
2025160482000001.jpg
27
147
(一般式(1)中、X
1
、X
2
およびX
3
はそれぞれ独立に置換基を有する若しくは無置換のアリール基、置換基を有する若しくは無置換のアリールアルキル基、置換基を有する若しくは無置換のアリールアミノ基又は置換基を有する若しくは無置換のアリールチオ基を表す。)
【0006】
また、本発明は、下記一般式(2)又は下記一般式(3)で表されるトリアジン誘導体である。
JPEG
2025160482000002.jpg
27
147
(一般式(2)中、X
4
は置換基を有する若しくは無置換のアリール基、置換基を有する若しくは無置換のアリールアルキル基、置換基を有する若しくは無置換のアリールアミノ基又は置換基を有する若しくは無置換のアリールチオ基を表し、Y
1
は置換基を有する若しくは無置換のアリーレン基、置換基を有する若しくは無置換のアリーレンジアルキレン基、置換基を有する若しくは無置換のアリーレンジアミノ基又は置換基を有する若しくは無置換のアリーレンジチオ基を表す。)
JPEG
2025160482000003.jpg
24
147
(一般式(3)中、X
5
およびX
6
はそれぞれ独立に置換基を有する若しくは無置換のアリール基、置換基を有する若しくは無置換のアリールアルキル基、置換基を有する若しくは無置換のアリールアミノ基又は置換基を有する若しくは無置換のアリールチオ基を表し、Y
2
は置換基を有する若しくは無置換のアリーレン基、置換基を有する若しくは無置換のアリーレンジアルキレン基、置換基を有する若しくは無置換のアリーレンジアミノ基又は置換基を有する若しくは無置換のアリーレンジチオ基を表す。)
【0007】
さらに、本発明は、上記のトリアジン誘導体を含む核剤組成物である。
【0008】
さらにまた、本発明は、結晶性樹脂と上記のトリアジン誘導体とを含む樹脂組成物である。
【0009】
また、本発明は、上記の記載の樹脂組成物を成形して得られる成形品である。
【0010】
さらに、本発明は、結晶性樹脂と上記のトリアジン誘導体を混合する配合工程を含む樹脂組成物の製造方法である。
(【0011】以降は省略されています)
この特許をJ-PlatPat(特許庁公式サイト)で参照する
関連特許
株式会社ADEKA
焼菓子用油脂組成物
10日前
株式会社ADEKA
シュー生地用油脂組成物
2日前
株式会社ADEKA
組成物、硬化物及び硬化物の製造方法
3日前
株式会社ADEKA
組成物、硬化物及び硬化物の製造方法
3日前
株式会社ADEKA
ベーカリー用流動状油脂組成物及びその製造方法
23日前
株式会社ADEKA
樹脂組成物、成形品、樹脂組成物の製造方法、樹脂添加剤組成物および樹脂の結晶性向上方法
10日前
株式会社ADEKA
合成樹脂組成物、その成形体、合成樹脂組成物の製造方法および合成樹脂の透明性改善方法
18日前
株式会社カネカ
断熱材
23日前
東ソー株式会社
ペレット
1か月前
ユニチカ株式会社
透明シート
3か月前
ユニチカ株式会社
透明シート
2か月前
株式会社コバヤシ
成形体
1か月前
東レ株式会社
熱硬化性樹脂組成物
3か月前
東ソー株式会社
ゴム用接着性改質剤
1か月前
丸住製紙株式会社
変性パルプ
2か月前
東レ株式会社
ポリエステルフィルム
2か月前
住友精化株式会社
吸水剤の製造方法
2か月前
東レ株式会社
引抜成形品の製造方法
3か月前
東ソー株式会社
プラスチゾル組成物
23日前
東レ株式会社
ポリエステルフィルム
1か月前
東ソー株式会社
エチレン系重合用触媒
26日前
東ソー株式会社
樹脂組成物および蓋材
2か月前
横浜ゴム株式会社
重荷重タイヤ
1か月前
東ソー株式会社
樹脂組成物および蓋材
2か月前
東レ株式会社
ポリプロピレンフィルム
1か月前
日本特殊陶業株式会社
樹脂成形体
2か月前
株式会社スリーボンド
硬化性樹脂組成物
1か月前
UBE株式会社
衝撃吸収材
2か月前
アイカ工業株式会社
光硬化性樹脂組成物
1か月前
株式会社カネカ
硬化性組成物
2か月前
住友化学株式会社
樹脂組成物
1か月前
ノリタケ株式会社
担体構造体
1か月前
株式会社カネカ
硬化性組成物
3か月前
株式会社カネカ
シーリング材
1か月前
日本特殊陶業株式会社
賦形体
11日前
住友ベークライト株式会社
ポリマー
1か月前
続きを見る
他の特許を見る