TOP
|
特許
|
意匠
|
商標
特許ウォッチ
Twitter
他の特許を見る
公開番号
2025160373
公報種別
公開特許公報(A)
公開日
2025-10-22
出願番号
2025126673,2024524227
出願日
2025-07-29,2023-04-17
発明の名称
石油系ピッチの製造方法及び石油系ピッチ
出願人
株式会社レゾナック
,
クラサスケミカル株式会社
代理人
個人
,
個人
,
個人
,
個人
,
個人
主分類
C10C
3/02 20060101AFI20251015BHJP(石油,ガスまたはコークス工業;一酸化炭素を含有する工業ガス;燃料;潤滑剤;でい炭)
要約
【課題】黒鉛電極等の炭素材製造時の焼成体への含浸性に優れ、かつ固定炭素量が高い石油系ピッチを提供する。
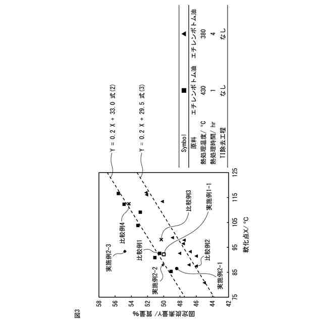
【解決手段】キノリン不溶分(QI)が0.5質量%以下、トルエン不溶分(TI)が3.0質量%以下、軟化点が60℃~120℃、かつ、200℃における粘度が200mPa・s以下であり、固定炭素量Y(質量%)が式(1)を満足する石油系ピッチを提供する。
80.0≧Y>0.2X+29.5(1)
Y:固定炭素量(質量%)
X:軟化点(℃)(60≦X≦120)
【選択図】図3
特許請求の範囲
【請求項1】
少なくとも以下の工程1~工程4を含む石油系ピッチの製造方法。
工程1:石油系重質油を熱処理する工程
工程2:工程1で得られた熱処理物を蒸留し、高沸点成分としてピッチ1を得る工程
工程3:工程2で得られたピッチ1からトルエン不溶分(TI)を除去し、
TIが低減された成分を得る工程
工程4:工程3で得られたトルエン不溶分(TI)が低減された成分を蒸留し、
高沸点成分としてピッチ2を得る工程
続きを表示(約 840 文字)
【請求項2】
前記石油系重質油がエチレンボトム油である請求項1に記載の石油系ピッチの製造方法。
【請求項3】
前記工程1の熱処理温度が360℃~500℃である請求項1又は2に記載の石油系ピッチの製造方法。
【請求項4】
前記工程3におけるトルエン不溶分(TI)の除去が、前記ピッチ1に溶剤を加え、前記ピッチ1の溶剤可溶分を前記溶剤に抽出することにより行われ、前記溶剤が、ベンゼン、アルキルベンゼン、分解ガソリン及び分解ケロシンからなる群から選ばれる少なくとも一種である請求項1又は2に記載の石油系ピッチの製造方法。
【請求項5】
前記工程1において、熱処理温度が360℃~390℃の場合の熱処理時間が8時間~48時間で、熱処理温度が390℃超~430℃の場合の熱処理時間が0.5時間~24時間で、熱処理温度が430℃超~500℃の場合の熱処理時間が0.1時間~16時間である請求項1又は2に記載の石油系ピッチの製造方法。
【請求項6】
請求項1又は2に記載の製造方法で得られた石油系ピッチを含浸ピッチとして用いる黒鉛電極の製造方法。
【請求項7】
キノリン不溶分(QI)が0.5質量%以下、トルエン不溶分(TI)が3.0質量%以下、軟化点が60℃~120℃、かつ、200℃における粘度が200mPa・s以下であり、固定炭素量Y(質量%)が式(1)を満足する石油系ピッチ。
80.0≧Y>0.2X+29.5 (1)
Y:固定炭素量(質量%)
X:軟化点(℃)(60≦X≦120)
【請求項8】
固定炭素量が47.0質量%以上である請求項7に記載の石油系ピッチ。
【請求項9】
炭素材製造用含浸ピッチである請求項7又は8に記載の石油系ピッチ。
【請求項10】
前記炭素材が黒鉛電極である請求項9に記載の石油系ピッチ。
発明の詳細な説明
【技術分野】
【0001】
本発明は、黒鉛電極等の炭素材の製造に用いられる含浸ピッチに適した石油系ピッチ及びその製造方法に関する。
続きを表示(約 2,800 文字)
【背景技術】
【0002】
鉄の再融解を行う電気炉で用いられる黒鉛電極等の炭素材は、コークス等の骨材とピッチ(「バインダーピッチ」という)とをバインダーピッチの軟化点以上の温度で混練・成形した後に焼成し、次いで黒鉛化することで製造される。炭素材は、機械的強度が高いこと、電気伝導度及び熱伝導度が高いこと等の特性が要求されるため、高密度であることが好ましい。しかし、焼成工程においてバインダーピッチ中の低分子量成分が揮発すること等に由来し、焼成体は気孔の多い構造となる。そのため、製造工程の中で焼成体へのピッチ(「含浸ピッチ」という)の含浸と再焼成を数回行うことで気孔率を低減し、得られる炭素材を高密度にしている。したがって、含浸ピッチは高品質炭素材の製造に欠かせないものである。
【0003】
ナフサ等の石油系炭化水素を水蒸気分解又は熱分解してエチレン、プロピレン等のオレフィンを製造する際に副生する重質残渣油(エチレンボトム油)は、一部がカーボンブラックの原料として利用されるのみで、大部分は燃料として利用されている。そのため、このエチレンボトム油を付加価値の高い製品に転換することは当該技術分野の課題である。この課題を解決するために、芳香族化合物を多く含有するエチレンボトム油の特性を活かし、エチレンボトム油から炭素材製造用含浸ピッチや炭素材製造用バインダーピッチ等を製造する試みがなされてきた。しかし、エチレンボトム油等の石油系重質油から製造される石油系ピッチは、コールタールから製造されるコールタールピッチに比べて固定炭素量が低いため、得られる炭素材の密度が低くなる傾向にある。したがって、石油系ピッチはあまり使用されていないのが現状である。
【0004】
含浸ピッチに求められる性状のうち、最も重要なもののいくつかとして含浸性と固定炭素量が挙げられる。含浸性がよいほど、含浸工程において、焼成体に生じた微細な気孔まで含浸ピッチが容易に浸透することができるため、得られる炭素材はより高密度となり好ましい。固定炭素量が高いほど焼成時の揮発分は少なく、気孔の発生を低減できる。その結果、含浸・再焼成工程の回数を低減することができ、経済的に好ましい。コールタールピッチにおいては、その含浸性を向上するための様々な方法が公知であり、代表的なものとしてピッチ中のキノリン不溶分(QI)を除去又は低減する方法がある。コールタールピッチには、原料のコールタールに含まれる一次QI及び熱処理工程で生成し得る二次QIに由来して通常は数質量%~数十質量%のQIが含まれる。このQIは、含浸工程において、ピッチが溶融している状況においても固体微粒子として存在するため、ピッチが焼成体の気孔へ浸透するのを著しく阻害する。そのため、コールタール系含浸ピッチにおいては、QIを実質的に含まないことが望まれる(特許文献1)。
【0005】
一方で、石油系重質油(特にエチレンボトム油)はQIをほとんど含まないため、QIが生成しない条件で石油系重質油を熱処理することで、QIの除去又は低減工程なしで実質的にQIを含有しない石油系ピッチの調製が可能である。実際に、特開昭60-92388号公報(特許文献2)では、QIの除去又は低減工程なしで石油系重質油からQI含有量が1質量%以下の石油系ピッチが製造可能であり、得られる石油系ピッチは含浸ピッチとして好適に使用可能であることが報告されている。しかし、特許文献2に記載の石油系ピッチを含め、これまでに報告されている石油系ピッチの多くは、同等の軟化点を有するコールタールピッチに比べて固定炭素量が低い(特許文献2及び非特許文献1)。石油系ピッチの固定炭素量を向上させる方法として、蒸留等によってピッチ中の軽質分を除去する方法があるが、同時に軟化点及び粘度も上昇するため含浸性が低下する問題がある。したがって、従来の方法では、良好な含浸性と高い固定炭素量を両立する石油系ピッチを製造することは困難である。
【先行技術文献】
【特許文献】
【0006】
特開2007-2124号公報
特開昭60-92388号公報
【非特許文献】
【0007】
Petroleum Derived Carbons Chapter5 p.52~p.62
【発明の概要】
【発明が解決しようとする課題】
【0008】
本発明は、黒鉛電極等の炭素材製造時の焼成体への含浸性に優れ、かつ固定炭素量の高い石油系ピッチ及びその製造方法を提供することを目的とする。なお、「石油系ピッチ」とは、石油由来の重質油から製造されたピッチをいう。
【課題を解決するための手段】
【0009】
本発明者らは、上記の目的を達成するため鋭意検討を重ねた。具体的には、石油系重質油にQIが発生しない条件範囲内で比較的厳しい熱処理を施す方法を検討した。しかし、本発明者らがこの方法を検討したところ、QIを含まずかつ高い固定炭素量の石油系ピッチを得ることができたが、その含浸性は著しく悪いことが明らかになった(本明細書の比較例1、比較例3及び比較例4参照)。これは、比較的厳しい条件で石油系重質油を熱処理する工程を含む製造方法で製造した石油系ピッチにおいては、QI以外の要因が含浸性に大きな影響を及ぼしていることを示唆している。本発明者らは、コールタールピッチにおいては含浸性に影響を及ぼさないトルエン不溶分(TI)が、比較的厳しい条件で石油系重質油を熱処理する工程を含む製造方法で製造した石油系ピッチにおいては含浸性に影響を与えることを見出し、その成果を本発明に具現化した。
【0010】
即ち、本発明は、石油系重質油を熱処理する工程(工程1)、工程1で得られた熱処理物を蒸留し、高沸点成分としてピッチ1を得る工程(工程2)、工程2で得られたピッチ1のトルエン不溶分(TI)を低減する工程(工程3)及び工程3で得られたトルエン不溶分(TI)が低減された成分を蒸留し、高沸点成分としてピッチ2を得る工程(工程4)を含む石油系ピッチの製造方法に関する。さらに本発明は、キノリン不溶分(QI)が0.5質量%以下、トルエン不溶分(TI)が3.0質量%以下、軟化点が60℃~120℃、かつ、200℃における粘度が200mPa・s以下であり、固定炭素量Y(質量%)が式(1)を満足する石油系ピッチに関する。
80.0≧Y>0.2X+29.5 (1)
Y:固定炭素量(質量%)
X:軟化点(℃)(60≦X≦120)
(【0011】以降は省略されています)
この特許をJ-PlatPat(特許庁公式サイト)で参照する
関連特許
株式会社レゾナック
耐食性部材
今日
株式会社レゾナック
回路接続用接着剤フィルム、回路接続構造体及びその製造方法
1日前
株式会社レゾナック
熱伝導性組成物
6日前
株式会社レゾナック
摩擦材形成用組成物、摩擦材、摩擦部材及び自動車用ディスクブレーキパッド
今日
合同会社双晶
製炭方法
1か月前
個人
液体化石燃料の改質方法
26日前
日油株式会社
潤滑油組成物
12日前
株式会社クボタ
竪型の反応炉
20日前
三洋化成工業株式会社
導電剤及び潤滑剤組成物
1か月前
三菱重工業株式会社
炭化炉
7日前
株式会社ニッペコ
潤滑組成物
1か月前
ENEOS株式会社
グリース組成物
1か月前
日本製鉄株式会社
処理装置、処理方法、およびプログラム
今日
日本製鉄株式会社
処理装置、処理方法、およびプログラム
今日
日本製鉄株式会社
コークスの粉化量予測方法
1か月前
株式会社アイシン
潤滑油
5日前
出光興産株式会社
ディーゼル燃料油組成物
6日前
株式会社ダイゾー
グリース組成物
1か月前
三菱重工業株式会社
炉壁及びガス化炉並びに炉壁の製造方法
1か月前
旭化成株式会社
炭素数6~8の炭化水素含有留分の製造方法
1か月前
三菱重工業株式会社
燃料製造システム、及び燃料製造方法
1か月前
ENEOS株式会社
炭化水素製造装置
20日前
日本製鉄株式会社
電気炉用炭材および電気炉用炭材の製造方法
12日前
日本製鉄株式会社
煉瓦プレハブブロックの配置構造、配置方法
7日前
協同油脂株式会社
グリース組成物及びそれを封入した等速ジョイント
1日前
ENEOS株式会社
グリース組成物
1か月前
住友重機械プロセス機器株式会社
気吹き装置、装炭車、炉頂の清掃方法
1日前
株式会社シーヴイテック
合成燃料製造方法及び合成燃料製造装置
1か月前
日鉄環境株式会社
安水中の懸濁物質及び油分の除去方法、並びに安水用高分子凝集剤
1か月前
株式会社ダイセル
アルミニウム合金製摺動部材用潤滑剤
5日前
株式会社ブリヂストン
熱分解油、エラストマー、ゴム製品、及び樹脂製品
1か月前
株式会社ブリヂストン
熱分解油、エラストマー、ゴム製品、及び樹脂製品
1か月前
株式会社ブリヂストン
熱分解油、エラストマー、ゴム製品、及び樹脂製品
1か月前
日本製鉄株式会社
煉瓦プレハブブロック、及びその製造方法、配置構造、配置方法
7日前
日鉄エンジニアリング株式会社
コークス乾式消火設備及びそのスローピングフリュー部構造
20日前
株式会社デンソー
摺動機構
1か月前
続きを見る
他の特許を見る