TOP
|
特許
|
意匠
|
商標
特許ウォッチ
Twitter
他の特許を見る
公開番号
2025152900
公報種別
公開特許公報(A)
公開日
2025-10-10
出願番号
2024055075
出願日
2024-03-28
発明の名称
グリース組成物
出願人
コスモ石油ルブリカンツ株式会社
代理人
弁理士法人太陽国際特許事務所
主分類
C10M
169/06 20060101AFI20251002BHJP(石油,ガスまたはコークス工業;一酸化炭素を含有する工業ガス;燃料;潤滑剤;でい炭)
要約
【課題】音響特性及び耐水性に優れるグリース組成物を提供する。
【解決手段】基油と、増ちょう剤と、金属清浄剤と、脂肪酸亜鉛と、を含有するグリース組成物であり、グリース組成物が含む固体粒子の体積基準での算術平均粒子径は、メディアン径が0.060μm以下である、グリース組成物。
【選択図】なし
特許請求の範囲
【請求項1】
基油と、増ちょう剤と、金属清浄剤と、脂肪酸亜鉛と、を含有するグリース組成物であり、グリース組成物が含む固体粒子の体積基準での算術平均粒子径は、メディアン径が0.060μm以下である、グリース組成物。
続きを表示(約 410 文字)
【請求項2】
前記増ちょう剤が、リチウム石けん及びリチウム複合石けんから選択される少なくとも1種を含む、請求項1に記載のグリース組成物。
【請求項3】
前記金属清浄剤が、過塩基性金属清浄剤を含む、請求項1に記載のグリース組成物。
【請求項4】
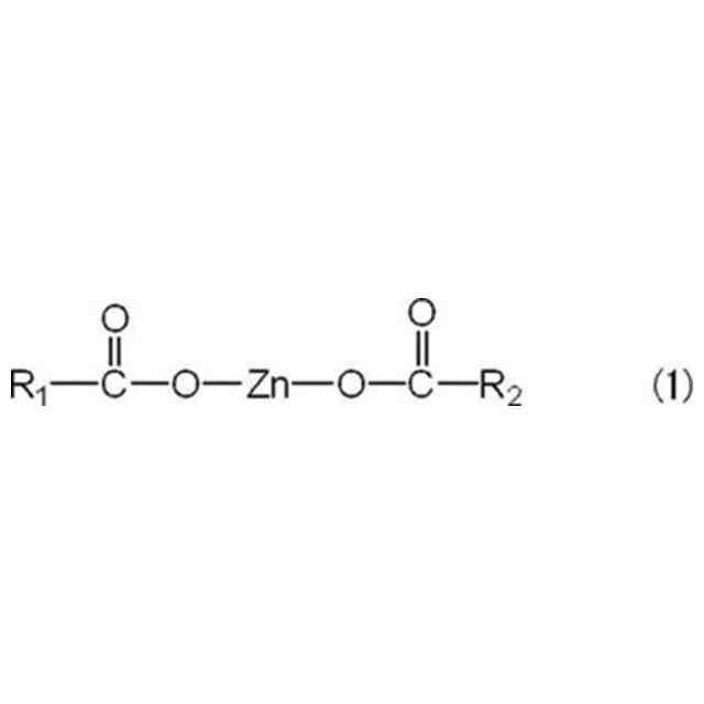
前記脂肪酸亜鉛が、下記式(1)で表される脂肪酸亜鉛を含む、請求項1に記載のグリース組成物。
JPEG
2025152900000004.jpg
19
118
式(1)中、R
1
及びR
2
は、それぞれ独立に、炭素数8~18の脂肪族炭化水素基を表す。
【請求項5】
前記式(1)で表される脂肪酸亜鉛が、R
1
及びR
2
の少なくとも一方がイソステアリル基である脂肪酸亜鉛を含む、請求項4に記載のグリース組成物。
発明の詳細な説明
【技術分野】
【0001】
本開示は、グリース組成物に関する。
続きを表示(約 1,300 文字)
【背景技術】
【0002】
耐水性に着目したグリース組成物が提案されている。例えば、特許文献1には、「潤滑油基油と、増ちょう剤として、リチウム石けん及びリチウム複合石けんからなる群から選択される少なくとも1種の化合物と、金属清浄剤として、所定の脂肪酸亜鉛と、を含有するグリース組成物。」が提案されている。
【0003】
音響性能に着目したグリース組成物が提案されている。例えば、特許文献2には、「基油としての合成エステル油と、Li石けん系増ちょう剤と、カルシウムスルフォネートとを含み、かつカルシウムスルフォネートとして、カルシウムの含有割合が0.2~20重量%であるものを用いるとともに、当該カルシウムスルフォネートを、基油と増ちょう剤との合計量100重量部に対して0.5~10重量部の割合で配合したことを特徴とするグリース組成物。」が提案されている。
【先行技術文献】
【特許文献】
【0004】
特開2023-026889号公報
特開2003-147378号公報
【発明の概要】
【発明が解決しようとする課題】
【0005】
製鉄用機械、建設機械、自動車といったグリース組成物の使用対象物は、水に晒される環境下で使用されることがあるため、耐水性はグリース組成物に要求される重要な性能の一つである。他方、近年、グリース組成物が使用される装置の小型化に伴い軸受の小型化が進んでおり、高出力を維持するためには、軸受の回転速度上昇が想定される。このため、グリース組成物には、騒音発生抑制の観点から、音響特性(具体的には静音性)の更なる向上も望まれている。
【0006】
本開示の一実施形態は、音響特性及び耐水性に優れたグリース組成物を提供することを課題とする。
【課題を解決するための手段】
【0007】
本開示に係るグリース組成物は、以下の実施態様を含む。
【0008】
<1> 基油と、増ちょう剤と、金属清浄剤と、脂肪酸亜鉛と、を含有するグリース組成物であり、グリース組成物が含む固体粒子の体積基準での算術平均粒子径は、メディアン径が0.060μm以下である、グリース組成物。
<2> 増ちょう剤が、リチウム石けん及びリチウム複合石けんから選択される少なくとも1種を含む、<1>に記載のグリース組成物。
<3> 金属清浄剤が、過塩基性カルシウムスルフォネートを含む、<1>又は<2>に記載のグリース組成物。
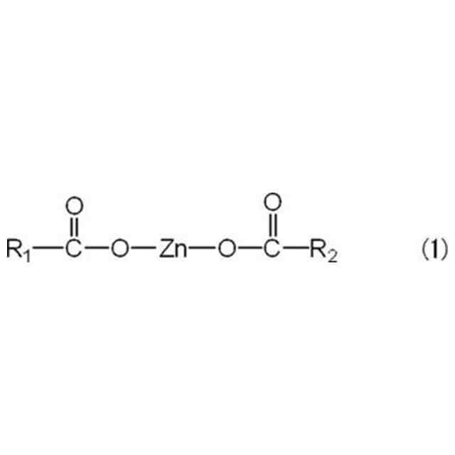
<4> 上記脂肪酸亜鉛が、下記式(1)で表される脂肪酸亜鉛を含む、<1>~<3>のいずれか1つに記載のグリース組成物。
【0009】
JPEG
2025152900000001.jpg
17
104
【0010】
式(1)中、R
1
及びR
2
は、それぞれ独立に、炭素数8~18の脂肪族炭化水素基を表す。
(【0011】以降は省略されています)
この特許をJ-PlatPat(特許庁公式サイト)で参照する
関連特許
個人
液体化石燃料の改質方法
16日前
合同会社双晶
製炭方法
1か月前
株式会社ユシロ
潤滑剤組成物
1か月前
日油株式会社
潤滑油組成物
2日前
株式会社クボタ
竪型の反応炉
10日前
三洋化成工業株式会社
導電剤及び潤滑剤組成物
1か月前
株式会社ニッペコ
潤滑組成物
24日前
株式会社ユシロ
金属加工用潤滑剤組成物
1か月前
株式会社神鋼環境ソリューション
搬送装置
1か月前
本田技研工業株式会社
液体燃料の製造方法
1か月前
三浦工業株式会社
ガス化装置
1か月前
ENEOS株式会社
グリース組成物
1か月前
三菱重工業株式会社
炭化炉及びその制御方法
1か月前
日本製鉄株式会社
コークスの粉化量予測方法
1か月前
出光興産株式会社
再生絶縁油の製造方法
1か月前
株式会社神鋼環境ソリューション
炭化物製造設備
1か月前
株式会社ダイゾー
グリース組成物
1か月前
コスモ石油ルブリカンツ株式会社
潤滑油組成物
1か月前
コスモ石油ルブリカンツ株式会社
潤滑油組成物
1か月前
三菱重工業株式会社
炉壁及びガス化炉並びに炉壁の製造方法
1か月前
コスモ石油ルブリカンツ株式会社
グリース組成物
1か月前
旭化成株式会社
炭素数6~8の炭化水素含有留分の製造方法
1か月前
本田技研工業株式会社
合成ガス製造方法、及び合成ガス製造システム
1か月前
三菱重工業株式会社
燃料製造システム、及び燃料製造方法
26日前
コスモ石油ルブリカンツ株式会社
内燃機関用潤滑油組成物
1か月前
ENEOS株式会社
炭化水素製造装置
10日前
日本製鉄株式会社
電気炉用炭材および電気炉用炭材の製造方法
2日前
出光興産株式会社
バイオマス燃料の製造方法及びバイオマス燃料
1か月前
ENEOS株式会社
グリース組成物
26日前
ガス・ウォーター株式会社
木質バイオペレット、及び木質バイオペレット
1か月前
株式会社シーヴイテック
合成燃料製造方法及び合成燃料製造装置
26日前
コスモ石油株式会社
ガソリン組成物およびガソリン組成物の製造方法
1か月前
コスモ石油株式会社
ガソリン組成物およびガソリン組成物の製造方法
1か月前
日鉄環境株式会社
安水中の懸濁物質及び油分の除去方法、並びに安水用高分子凝集剤
1か月前
株式会社ブリヂストン
熱分解油、エラストマー、ゴム製品、及び樹脂製品
25日前
株式会社ブリヂストン
熱分解油、エラストマー、ゴム製品、及び樹脂製品
25日前
続きを見る
他の特許を見る