TOP
|
特許
|
意匠
|
商標
特許ウォッチ
Twitter
他の特許を見る
公開番号
2025159406
公報種別
公開特許公報(A)
公開日
2025-10-21
出願番号
2024061900
出願日
2024-04-08
発明の名称
電気化学的酸素還元触媒
出願人
トヨタ自動車株式会社
代理人
弁理士法人平木国際特許事務所
主分類
H01M
4/90 20060101AFI20251014BHJP(基本的電気素子)
要約
【課題】本発明は、高電流密度領域での電圧低下を抑制する電気化学的酸素還元触媒を提供することを目的とする。
【解決手段】本発明は、金属粒子と、前記金属粒子を修飾する修飾剤とを含む電気化学的酸素還元触媒であって、前記修飾剤は有機窒素化合物であり、前記有機窒素化合物は、トリアジン環と、共有結合を介して前記トリアジン環に結合したフッ素とを含み、前記有機窒素化合物は、フッ素含有量が29g/eq以下である、電気化学的酸素還元触媒に関する。
【選択図】図2
特許請求の範囲
【請求項1】
金属粒子と、前記金属粒子を修飾する修飾剤とを含む電気化学的酸素還元触媒であって、前記修飾剤は有機窒素化合物であり、前記有機窒素化合物は、トリアジン環と、共有結合を介して前記トリアジン環に結合したフッ素とを含み、前記有機窒素化合物は、フッ素含有量が29g/eq以下である、電気化学的酸素還元触媒。
続きを表示(約 890 文字)
【請求項2】
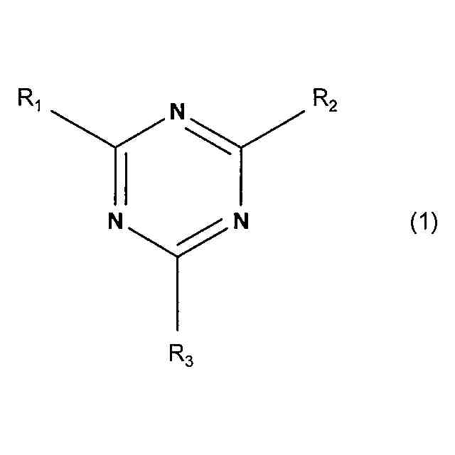
前記修飾剤が、一般式(1)で表される化合物、又は該化合物をモノマーとするポリマーである、請求項1に記載の電気化学的酸素還元触媒。
TIFF
2025159406000005.tif
51
92
(式中、R
1
、R
2
及びR
3
は、それぞれ、水素原子、ハロゲン原子、ニトリル基、アミド基、イミン基、アミノ基、チオール基、ヒドロキシル基、スルホ基、カルボン酸基、リン酸基、ケトン基、アルデヒド基、エステル基、アルコキシ基、フェノール基、シクロペンチル基、シクロヘキシル基、炭素数1~10のアルキルアミノ基、炭素数1~10のアルキルスルホン酸基、炭素数1~10のパーフルオロアルキル基、炭素数1~10のアルキル基、炭素数2~10のアルケニルアミノ基、炭素数2~10のアルケニルスルホン酸基、炭素数2~10のパーフルオロアルケニル基及び炭素数2~10のアルケニル基からなる官能基群より選ばれる1種の官能基であり、当該官能基は、それぞれ分子鎖に、前記官能基群より選ばれる少なくとも1種の官能基、芳香環、ヘテロ環、酸素原子、硫黄原子及び窒素原子からなる群より選ばれる少なくとも1種を有していてもよく、但し、R
1
、R
2
及びR
3
の少なくとも1つは、炭素数1~10のパーフルオロアルキル基又は炭素数2~10のパーフルオロアルケニル基である。)
【請求項3】
前記一般式(1)において、R
1
、R
2
及びR
3
がいずれも、炭素数2~10のパーフルオロアルキル基又は炭素数2~10のパーフルオロアルケニル基である、請求項2に記載の電気化学的酸素還元触媒。
【請求項4】
前記金属粒子が、白金粒子、白金合金粒子及び白金を含む複合粒子からなる群より選ばれる少なくとも1種である、請求項1~3のいずれか1項に記載の電気化学的酸素還元触媒。
発明の詳細な説明
【技術分野】
【0001】
本発明は電気化学的酸素還元触媒に関する。
続きを表示(約 2,100 文字)
【背景技術】
【0002】
電気化学的酸素還元触媒は、燃料電池や金属空気電池等において広く用いられている。電気化学的酸素還元触媒としては、メラミン化合物で白金表面を修飾した触媒が知られている(特許文献1、2)。また、特許文献3には、白金系触媒と、その白金系触媒に修飾された塩とを備えた触媒組成物であって、前記塩は、特定の1,3,5-トリアジン誘導体カチオンと、パーフルオロアルキルスルホニルイミドアニオンとからなる触媒組成物が開示されている。
【0003】
しかし、メラミン化合物が親水性であるため、メラミン化合物を修飾剤として用いた触媒を使用する際には、生成した水が触媒層内に滞留する。このため、反応物である酸素の輸送が阻害され、高電流密度領域での電圧が低下してしまう。また、特許文献3に開示されるような塩を用いた触媒においても、高電流密度領域での電圧低下の抑制について改善の余地があった。
【先行技術文献】
【特許文献】
【0004】
国際公開第2019/221156号
国際公開第2021/090746号
特開2023-121010号公報
【発明の概要】
【発明が解決しようとする課題】
【0005】
前記の通り、従来の電気化学的酸素還元触媒には、該触媒を用いた際の高電流密度領域での電圧低下の抑制について改善の余地があった。それ故、本発明は、高電流密度領域での電圧低下を抑制する電気化学的酸素還元触媒を提供することを目的とする。
【課題を解決するための手段】
【0006】
本発明者は、修飾剤として、特定量のフッ素をトリアジン環の側鎖に導入した化合物を用いることにより、電気化学的酸素還元触媒を用いた際に、高電流密度領域での電圧低下が抑制されることを見出し、本発明を完成した。
【0007】
すなわち、本発明の要旨は以下の通りである。
(1)金属粒子と、前記金属粒子を修飾する修飾剤とを含む電気化学的酸素還元触媒であって、前記修飾剤は有機窒素化合物であり、前記有機窒素化合物は、トリアジン環と、共有結合を介して前記トリアジン環に結合したフッ素とを含み、前記有機窒素化合物は、フッ素含有量が29g/eq以下である、電気化学的酸素還元触媒。
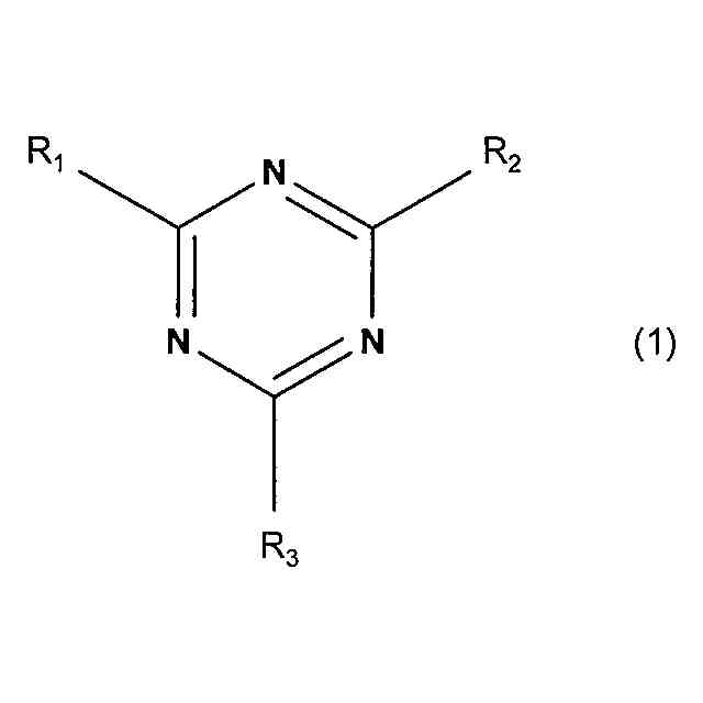
(2)前記修飾剤が、一般式(1)で表される化合物、又は該化合物をモノマーとするポリマーである、前記(1)に記載の電気化学的酸素還元触媒。
TIFF
2025159406000002.tif
51
94
(式中、R
1
、R
2
及びR
3
は、それぞれ、水素原子、ハロゲン原子、ニトリル基、アミド基、イミン基、アミノ基、チオール基、ヒドロキシル基、スルホ基、カルボン酸基、リン酸基、ケトン基、アルデヒド基、エステル基、アルコキシ基、フェノール基、シクロペンチル基、シクロヘキシル基、炭素数1~10のアルキルアミノ基、炭素数1~10のアルキルスルホン酸基、炭素数1~10のパーフルオロアルキル基、炭素数1~10のアルキル基、炭素数2~10のアルケニルアミノ基、炭素数2~10のアルケニルスルホン酸基、炭素数2~10のパーフルオロアルケニル基及び炭素数2~10のアルケニル基からなる官能基群より選ばれる1種の官能基であり、当該官能基は、それぞれ分子鎖に、前記官能基群より選ばれる少なくとも1種の官能基、芳香環、ヘテロ環、酸素原子、硫黄原子及び窒素原子からなる群より選ばれる少なくとも1種を有していてもよく、但し、R
1
、R
2
及びR
3
の少なくとも1つは、炭素数1~10のパーフルオロアルキル基又は炭素数2~10のパーフルオロアルケニル基である。)
(3)前記一般式(1)において、R
1
、R
2
及びR
3
がいずれも、炭素数2~10のパーフルオロアルキル基又は炭素数2~10のパーフルオロアルケニル基である、前記(2)に記載の電気化学的酸素還元触媒。
(4)前記金属粒子が、白金粒子、白金合金粒子及び白金を含む複合粒子からなる群より選ばれる少なくとも1種である、前記(1)~(3)のいずれかに記載の電気化学的酸素還元触媒。
【発明の効果】
【0008】
本発明により、高電流密度領域での電圧低下を抑制する電気化学的酸素還元触媒を提供することが可能となる。
【図面の簡単な説明】
【0009】
実施例1、2及び比較例1、2について、3.2Acm
-2
における耐久試験後のセル電圧を示すグラフである。
実施例1、2及び比較例1、2について、3.2Acm
-2
における耐久試験後の電圧維持率を示すグラフである。
【発明を実施するための形態】
【0010】
以下、本発明の好ましい実施形態について詳細に説明する。
(【0011】以降は省略されています)
この特許をJ-PlatPat(特許庁公式サイト)で参照する
関連特許
トヨタ自動車株式会社
電池
7日前
トヨタ自動車株式会社
椅子
10日前
トヨタ自動車株式会社
方法
1日前
トヨタ自動車株式会社
方法
1日前
トヨタ自動車株式会社
方法
10日前
トヨタ自動車株式会社
方法
10日前
トヨタ自動車株式会社
車体
3日前
トヨタ自動車株式会社
車両
9日前
トヨタ自動車株式会社
車両
14日前
トヨタ自動車株式会社
車両
15日前
トヨタ自動車株式会社
車両
2日前
トヨタ自動車株式会社
方法
2日前
トヨタ自動車株式会社
電池
17日前
トヨタ自動車株式会社
電池
今日
トヨタ自動車株式会社
電池
16日前
トヨタ自動車株式会社
車両
7日前
トヨタ自動車株式会社
車両
今日
トヨタ自動車株式会社
方法
今日
トヨタ自動車株式会社
車両
1日前
トヨタ自動車株式会社
正極層
今日
トヨタ自動車株式会社
電動機
今日
トヨタ自動車株式会社
モータ
8日前
トヨタ自動車株式会社
加熱器
14日前
トヨタ自動車株式会社
ケース
16日前
トヨタ自動車株式会社
電動車
10日前
トヨタ自動車株式会社
飛行体
7日前
トヨタ自動車株式会社
モータ
2日前
トヨタ自動車株式会社
電磁弁
10日前
トヨタ自動車株式会社
自動車
1日前
トヨタ自動車株式会社
電動車
17日前
トヨタ自動車株式会社
固定子
15日前
トヨタ自動車株式会社
ロボット
17日前
トヨタ自動車株式会社
塗工装置
15日前
トヨタ自動車株式会社
燃料電池
2日前
トヨタ自動車株式会社
充電装置
2日前
トヨタ自動車株式会社
蓄電装置
今日
続きを見る
他の特許を見る