TOP
|
特許
|
意匠
|
商標
特許ウォッチ
Twitter
他の特許を見る
10個以上の画像は省略されています。
公開番号
2025158955
公報種別
公開特許公報(A)
公開日
2025-10-17
出願番号
2025061831
出願日
2025-04-03
発明の名称
シクロペンタン化合物を含む医薬組成物
出願人
キッセイ薬品工業株式会社
代理人
個人
,
個人
主分類
A61K
31/341 20060101AFI20251009BHJP(医学または獣医学;衛生学)
要約
【課題】オレキシン2受容体(OX2R)に対するアゴニスト活性を有し、OX2Rが関与する睡眠障害の治療剤として有用なシクロペンタン化合物を提供する。
【解決手段】下記式(I)で表されるシクロペンタン化合物又はその薬理学的に許容される塩を含む医薬組成物が提供される。
<com:Image com:imageContentCategory="Drawing"> <com:ImageFormatCategory>TIFF</com:ImageFormatCategory> <com:FileName>2025158955000058.tif</com:FileName> <com:HeightMeasure com:measureUnitCode="Mm">38</com:HeightMeasure> <com:WidthMeasure com:measureUnitCode="Mm">159</com:WidthMeasure> </com:Image>
本発明の化合物又はその薬理学的に許容される塩を含む医薬組成物は、OX2Rに対するアゴニスト活性を有し、OX2Rが関与する睡眠障害(例えば、ナルコレプシー、特発性過眠症、クライネレヴィン症候群、身体疾患による過眠症、精神疾患による過眠症、薬物または物質による過眠症、概日リズム睡眠覚醒障害、睡眠不足症候群、長時間睡眠)の治療剤等として有用である。
【選択図】なし
特許請求の範囲
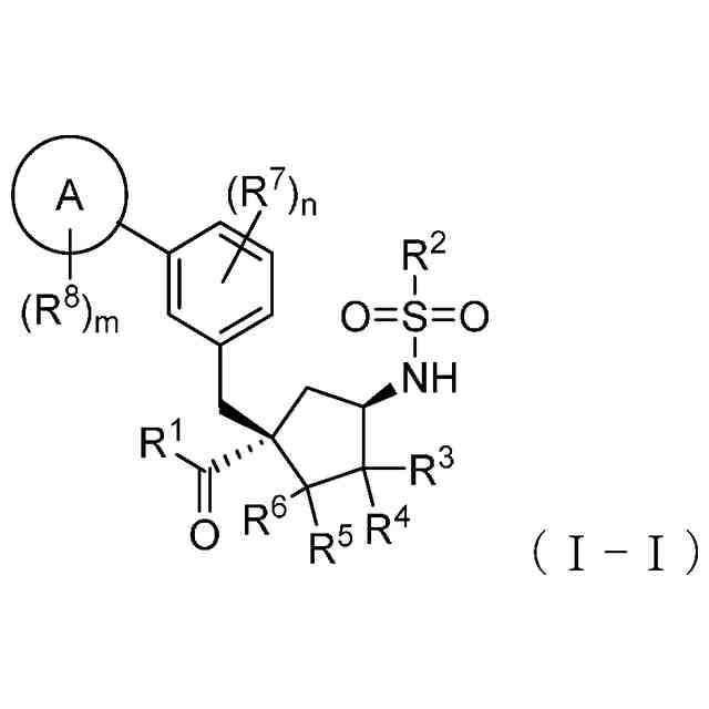
【請求項1】
式(I)で表される化合物:
TIFF
2025158955000051.tif
38
159
〔式中、
環Aは、C
6-10
アリール、5若しくは6員ヘテロアリール、又は9若しくは10員ヘテロアリールであり;
R
1
は、以下の(a)~(c)からなる群から選択される基:
(a) -NR
a
R
a
'、
TIFF
2025158955000052.tif
17
157
及び
TIFF
2025158955000053.tif
16
158
R
a
及びR
a
'は、それぞれ独立して、水素原子、ヒドロキシ基、C
1-6
アルキル、C
1-6
アルコキシ、ヒドロキシC
1-6
アルキル、C
1-6
アルコキシC
1-6
アルキル、又はハロC
1-6
アルキルであり;
R
b
は、水素原子、ハロゲン原子、C
1-6
アルキル、C
1-6
アルコキシ、又はハロC
1-6
アルキルであり;
pは1から3の整数であり;
pが2又は3である場合は、それぞれのR
b
は互いに同一でも異なっていてもよく;
qは1から3の整数であり;
rは1又は2であり;
R
2
は、C
1-6
アルキル、C
2-6
アルケニル、1~3個のC
1-6
アルキルで置換されていてもよいC
3-8
シクロアルキル、1~3個のC
1-6
アルキルで置換されていてもよい3~8員ヘテロシクロアルキル、ハロC
1-6
アルキル、又はC
1-6
アルキルアミノあり;
R
3
及びR
4
は、それぞれ独立して、水素原子、ハロゲン原子、C
1-6
アルキル、又はC
1-6
アルコキシであり;
R
5
及びR
6
は、それぞれ独立して、水素原子、又はハロゲン原子であり;
R
7
は、水素原子、ハロゲン原子、ヒドロキシ基、アミノ基、C
1-6
アルキル、ハロC
続きを表示(約 730 文字)
【請求項2】
請求項1に記載の医薬組成物であって:
環Aが、C
6-10
アリール、又は5若しくは6員ヘテロアリールであり;
R
5
及びR
6
が、水素原子であり;
R
7
が、水素原子、ハロゲン原子、ヒドロキシ基、C
1-6
アルキル、ハロC
1-6
アルキル、又はC
1-6
アルコキシであり;
nが1である化合物又はその薬理学的に許容される塩を含む医薬組成物。
【請求項3】
以下の化合物からなる群から選択される化合物:
TIFF
2025158955000054.tif
132
170
及び
TIFF
2025158955000055.tif
31
158
又はその薬理学的に許容される塩を含む医薬組成物。
【請求項4】
以下の化合物からなる群から選択される化合物:
TIFF
2025158955000056.tif
33
157
及び
TIFF
2025158955000057.tif
32
158
又はその薬理学的に許容される塩を含む医薬組成物。
【請求項5】
OX2Rが関与する睡眠障害の治療用医薬組成物である請求項1~4に記載の医薬組成物。
【請求項6】
請求項5に記載の医薬組成物であって、OX2Rが関与する睡眠障害がナルコレプシーである医薬組成物。
発明の詳細な説明
【技術分野】
【0001】
本発明は、医薬品として有用なシクロペンタン化合物を含む医薬組成物に関する。さらに詳しく述べれば、本発明は、オレキシン2受容体(OX2R)に対するアゴニスト活性を有し、OX2Rが関与する睡眠障害の治療剤として有用なシクロペンタン化合物又はその薬理学的に許容される塩を含む医薬組成物に関する。
続きを表示(約 2,500 文字)
【背景技術】
【0002】
オレキシンは視床下部に存在するオレキシン神経細胞によって産生・分泌される神経ペプチドであり、オレキシンAとオレキシンBの2つのサブタイプが存在している。オレキシン神経の投射は小脳を除く中枢神経系の全域にわたっており、脳幹のモノアミン作動性神経、コリン作動性神経、視床の室傍核など、覚醒・睡眠機構に関与する部分に顕著な投射がみられる。投射先に一致してオレキシン受容体が発現しており、オレキシン1受容体(OX1R)とオレキシン2受容体(OX2R)の2種類のサブタイプが異なる組織分布で存在している。
オレキシン神経系は、覚醒の維持において重要な役割を担っており、その機能障害はナルコレプシーの発症の原因になると考えられている。
【0003】
ナルコレプシーは、睡眠障害の一つであり、日中の過度な眠気と睡眠発作を主な症状とする慢性的な神経疾患である。ナルコレプシーにはその症状によって2つの類型が存在しており、カタプレキシー(強い情動に起因して突然体の力が抜ける発作)が伴う場合はタイプ1(NT1)に、伴わない場合はタイプ2(NT2)に分類される。
現在、ナルコレプシーの治療において、過眠症状に対しては中枢神経刺激薬であるモダフィニル、メチルフェニデート、ペモリンが用いられているが、いずれも奇異反応をきたすことがあり、メチルフェニデート及びペモリンは依存性等の副作用が強い。一方、カタプレキシーに対しては、前述の薬剤では治療効果が認められないことから、抗うつ薬が使用されるが、副作用が強いことから使用しにくく、薬剤を中断すると抗うつ薬の特徴である反跳現象により増悪するといった問題がある。
このように、いずれの症状に対しても対症療法しかないのがナルコレプシー治療の現状であり、ナルコレプシーの病因に基づいた治療薬が求められている。
【0004】
ナルコレプシー患者の死後脳を用いた研究では、健常者と比較して視床下部におけるオレキシン神経が減少していたことが報告されている(非特許文献1)。また、遺伝性のナルコレプシーのモデルであるイヌにおいて、ナルコレプシーの原因遺伝子がOX2Rをコードする遺伝子であることや(非特許文献2)、OX1R欠損マウスではナルコレプシー症状が生じないのに対し、OX2R欠損マウスでは症状を発症することが報告されている(非特許文献3)。このような背景からOX2Rシグナルが覚醒の維持において重要であること、およびその減弱がナルコレプシーの発症に関与していることが強く示唆されており、OX2Rアゴニストはナルコレプシーやその他の睡眠障害の治療薬として期待されている。
【0005】
OX2Rアゴニストとしては、例えばTAK-925が知られており、野生型マウスにおいてTAK-925の皮下投与による覚醒時間の延長が認められている(非特許文献4)。また、臨床試験において、TAK-925がNT1患者に対して覚醒維持と日中の眠気低減の作用を示したことが報告されている(特許文献1)。
【0006】
OX2Rアゴニスト活性を有する化合物が特許文献1から14、及び非特許文献4に記載されている。また、特許文献15及び非特許文献5には部分構造としてスルホンアミドで置換されたシクロペンタンを含む化合物が記載されている。しかしながら、本願発明のシクロペンタン化合物は、特許文献1から15、非特許文献4及び非特許文献5のいずれにも記載されていない。
【先行技術文献】
【特許文献】
【0007】
国際公開第2021/048822号
国際公開第2021/166934号
国際公開第2021/142083号
国際公開第2021/048821号
米国特許出願公開第2020/0247747号明細書
米国特許出願公開第2019/0040010号明細書
米国特許出願公開第2020/0385346号明細書
米国特許出願公開第2017/0226137号明細書
国際公開第2022/109117号
米国特許出願公開第2022/0056017号明細書
国際公開第2022/040058号
国際公開第2021/026047号
米国特許出願公開第2020/0255403号明細書
米国特許出願公開第2022/0144771号明細書
米国特許出願公開第2007/0149532号明細書
【非特許文献】
【0008】
Thomas C. Thannickalら、「Neuron」2000年、第27巻、第3号、p.469-474
Ling Linら、「Cell」1999年、第98巻、第3号、p.365-376
Michihiro Miedaら、「Proceedings of the National Academy of Sciences of the United States of America」2004年、第101巻、第13号、p.4649-4654
Hiroshi Yukitakeら、「Pharmacology, Biochemistry and Behavior」2019年、第187巻、p.172794
Maris Vilumsら、「European Journal of Medicinal Chemistry」2015年、93巻、p.121-134
【発明の概要】
【発明が解決しようとする課題】
【0009】
本発明は、OX2Rアゴニスト活性を有する新規化合物を含む医薬組成物を提供することを課題とする。
【課題を解決するための手段】
【0010】
本発明は、下記式(I)で表される化合物又はその薬理学的に許容される塩を含む医薬組成物に関する。
(【0011】以降は省略されています)
この特許をJ-PlatPat(特許庁公式サイト)で参照する
関連特許
個人
貼付剤
4日前
個人
短下肢装具
3か月前
個人
脈波測定方法
8か月前
個人
嚥下鍛錬装置
3か月前
個人
洗井間専家。
7か月前
個人
白内障治療法
7か月前
個人
排尿補助器具
17日前
個人
前腕誘導装置
3か月前
個人
腰ベルト
7日前
個人
歯の修復用材料
4か月前
個人
汚れ防止シート
1か月前
個人
アイマスク装置
2か月前
個人
バッグ式オムツ
4か月前
個人
ホバーアイロン
6か月前
個人
矯正椅子
5か月前
個人
胸骨圧迫補助具
1か月前
個人
ウォート指圧法
15日前
三生医薬株式会社
錠剤
7か月前
個人
車椅子持ち上げ器
7か月前
個人
哺乳瓶冷まし容器
3か月前
個人
シャンプー
6か月前
個人
歯の保護用シール
5か月前
個人
湿布連続貼り機。
2か月前
個人
陣痛緩和具
3か月前
株式会社八光
剥離吸引管
5か月前
個人
服薬支援装置
7か月前
株式会社コーセー
化粧料
14日前
株式会社大野
骨壷
4か月前
個人
性行為補助具
3か月前
株式会社結心
手袋
7か月前
個人
エア誘導コルセット
2か月前
個人
治療用酸化防御装置
1か月前
株式会社ニデック
眼科装置
4か月前
個人
形見の製造方法
4か月前
株式会社松風
口腔用組成物
3か月前
株式会社ニデック
眼科装置
1か月前
続きを見る
他の特許を見る