TOP
|
特許
|
意匠
|
商標
特許ウォッチ
Twitter
他の特許を見る
10個以上の画像は省略されています。
公開番号
2025156707
公報種別
公開特許公報(A)
公開日
2025-10-15
出願番号
2024059282
出願日
2024-04-02
発明の名称
メチレンジアニリン化合物の製造方法
出願人
東ソー株式会社
,
公益財団法人相模中央化学研究所
代理人
主分類
C07C
209/78 20060101AFI20251007BHJP(有機化学)
要約
【課題】 本発明は、ホルムアルデヒドを必要としないメチレンジアニリン化合物の製造に係る新規な製造方法を提供することを目的とする。
【解決手段】還元剤存在下、触媒存在下、0.005~10MPa(絶対圧)の二酸化炭素分圧下で、アニリン化合物を25~100℃に加熱した後、酸を加えて25~100℃に加熱することを特徴とする、メチレンジアニリン化合物の製造方法。
【選択図】 なし
特許請求の範囲
【請求項1】
還元剤及び触媒存在下、0.005~10MPa(絶対圧)の二酸化炭素分圧下で下記式(1)
JPEG
2025156707000022.jpg
51
76
[上記式中、X
1
~X
5
は、各々独立して水素原子、ハロゲン原子、炭素数1~6のアルキル基、ヒドロキシ基、炭素数1~6のアルコキシ基、カルボキシ基、総炭素数2~7のアルキルオキシカルボニル基、アミノ基、又はニトロ基を表す。ただし、X
1
~X
3
のうち、少なくとも一つは水素原子を表す。]
で示されるアニリン化合物を、25~300℃に加熱した後、酸を加えて25~300℃に加熱することを特徴とする、下記式(2)
JPEG
2025156707000023.jpg
39
89
[上記式中、X
1
~X
10
は、各々独立して水素原子、ハロゲン原子、炭素数1~6のアルキル基、ヒドロキシ基、炭素数1~6のアルコキシ基、カルボキシ基、総炭素数2~7のアルキルオキシカルボニル基、アミノ基、又はニトロ基を表す。ただし、X
1
~X
3
のうち、少なくとも一つはアミノ基を表し、X
6
~X
8
のうち、少なくとも一つはアミノ基を表す。]
で示されるメチレンジアニリン化合物の製造方法。
続きを表示(約 1,000 文字)
【請求項2】
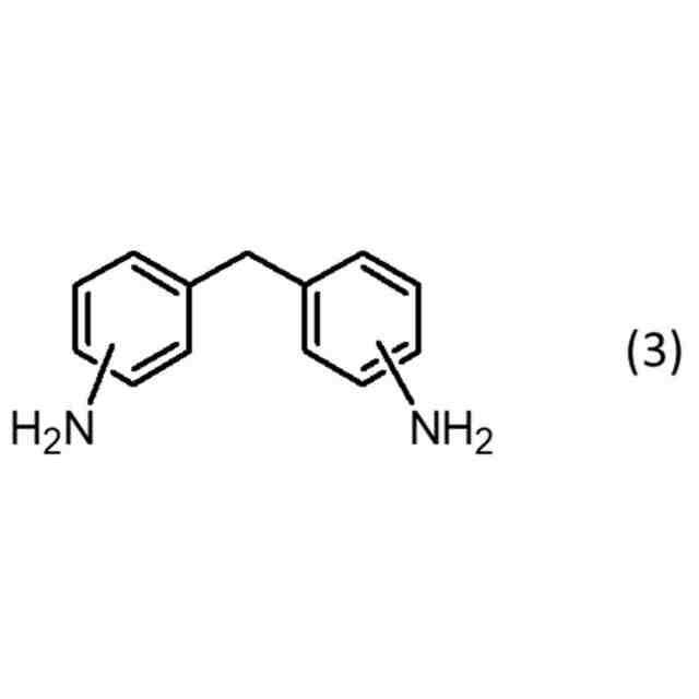
還元剤及び触媒存在下、0.005~10MPa(絶対圧)の二酸化炭素分圧下でアニリンを、25~300℃に加熱した後、酸を加えて25~300℃に加熱することを特徴とする、下記式(3)
JPEG
2025156707000024.jpg
31
94
で示されるメチレンジアニリンの製造方法。
【請求項3】
還元剤及び触媒存在下、0.005~10MPa(絶対圧)の二酸化炭素分圧下でアニリンを、25~300℃に加熱した後、酸を加えて25~300℃に加熱することを特徴とする、4,4’-メチレンジアニリン化合物の製造方法。
【請求項4】
前記還元剤が、H-Si結合を有する化合物又はH-B結合を有する化合物からなる群より選ばれる一種類または二種類以上の還元剤である請求項1乃至3のいずれか1項に記載の製造方法。
【請求項5】
前記還元剤が、ジフェニルシラン及び9-ボラビシクロ[3.3.1]ノナンからなる群より選ばれる一種類または二種類の還元剤である請求項1乃至3のいずれか1項に記載のメチレンジアニリン化合物の製造方法。
【請求項6】
前記触媒が、アルキルオニウム塩又は塩基性触媒からなる群より選ばれる一種類または二種類以上の触媒である上記請求項1乃至3のいずれか1項に記載のメチレンジアニリン化合物の製造方法。
【請求項7】
前記アルキルオニウム塩のアニオン種が、リン酸系アニオン、カルボン酸系アニオン、又は重炭酸イオンである上記請求項1乃至3のいずれか1項に記載のメチレンジアニリン化合物の製造方法。
【請求項8】
前記触媒が、ジブチルリン酸トリブチルメチルアンモニウム、酢酸テトラブチルアンモニウム、安息香酸テトラブチルアンモニウム、酢酸テトラメチルアンモニウム、酢酸コリン、重炭酸テトラエチルアンモニウムからなる群より選ばれる一種類または二種類以上の触媒である請求項1乃至3のいずれか1項に記載のメチレンジアニリン化合物の製造方法。
【請求項9】
前記酸が無機酸である請求項1乃至3のいずれか1項に記載のメチレンジアニリン化合物の製造方法。
【請求項10】
前記酸が塩酸である請求項1乃至3のいずれか1項に記載のメチレンジアニリン化合物の製造方法。
(【請求項11】以降は省略されています)
発明の詳細な説明
【技術分野】
【0001】
本発明は、メチレンジアニリン化合物の製造方法に関する。
続きを表示(約 1,600 文字)
【背景技術】
【0002】
メチレンジアニリン化合物は、合成樹脂(ポリウレタン)の主原料である、ジフェニルメタンジイソシアネートの原料、エポキシ樹脂硬化剤、染料等の用途を持つ産業上有用な化合物である。メチレンジアニリン化合物は例えばアニリン化合物とホルムアルデヒドを反応させた後、塩酸やカオリナイト、ゼオライト触媒下で反応させることで合成する方法が報告されている(例えば、特許文献1、特許文献2、非特許文献1)。
【先行技術文献】
【特許文献】
【0003】
特開2013-63915号公報
米国特許第3,476,806号
D.Bahulayan et al,Green Chem.,1(1999)191.
【発明の概要】
【発明が解決しようとする課題】
【0004】
上記の文献のメチレンジアニリン化合物製造方法については、いずれもアニリンと反応させる原料にホルムアルデヒドを使用しているが、ホルムアルデヒドはシックハウス症候群やシックカー症候群の原因となるだけでなく、発癌性も疑われている化合物である。そのため、製造過程で製品にホルムアルデヒドが残存すると健康を害するリスクがあり、使用の抑制や原料の代替が求められている。
【0005】
本発明は、上記事情に鑑みてなされたものであって、ホルムアルデヒドを使用しないメチレンジアニリン化合物製造方法を提供する。
【課題を解決するための手段】
【0006】
本発明者等は、二酸化炭素とアニリンからメチレンジアニリン化合物を製造する方法について検討を行った。その結果、下記に示すメチレンジアニリン化合物の製造方法により、ホルムアルデヒドの代替として二酸化炭素を用いた方法を見出し、本発明を完成させるに至った。すなわち、本発明の一態様は、以下に示すメチレンジアニリン化合物の製造方法に関するものである。
[1]還元剤及び触媒存在下、0.005~10MPa(絶対圧)の二酸化炭素分圧下で下記式(1)
【0007】
JPEG
2025156707000001.jpg
37
55
【0008】
[上記式中、X
1
~X
5
は、各々独立して水素原子、ハロゲン原子、炭素数1~6のアルキル基、ヒドロキシ基、炭素数1~6のアルコキシ基、カルボキシ基、総炭素数2~7のアルキルオキシカルボニル基、アミノ基、又はニトロ基を表す。ただし、X
1
~X
3
のうち、少なくとも一つは水素原子を表す。]
で示されるアニリン化合物を、25~300℃に加熱した後、酸を加えて25~300℃に加熱することを特徴とする、下記式(2)
【0009】
JPEG
2025156707000002.jpg
35
80
【0010】
[上記式中、X
1
~X
10
は、各々独立して水素原子、ハロゲン原子、炭素数1~6のアルキル基、ヒドロキシ基、炭素数1~6のアルコキシ基、カルボキシ基、総炭素数2~7のアルキルオキシカルボニル基、アミノ基、又はニトロ基を表す。ただし、X
1
~X
3
のうち、少なくとも一つはアミノ基を表し、X
6
~X
8
のうち、少なくとも一つはアミノ基を表す。]
で示されるメチレンジアニリン化合物の製造方法。
[2]還元剤及び触媒存在下、0.005~10MPa(絶対圧)の二酸化炭素分圧下でアニリンを、25~300℃に加熱した後、酸を加えて25~300℃に加熱することを特徴とする、下記式(3)
(【0011】以降は省略されています)
この特許をJ-PlatPat(特許庁公式サイト)で参照する
関連特許
東ソー株式会社
焼結体
25日前
東ソー株式会社
焼結体
25日前
東ソー株式会社
ペレット
1か月前
東ソー株式会社
絶縁電線
1か月前
東ソー株式会社
乳酸吸着材
1か月前
東ソー株式会社
免疫学的測定法
1か月前
東ソー株式会社
印刷インキ組成物
1か月前
東ソー株式会社
焼結体の製造方法
1か月前
東ソー株式会社
ゴム用接着性改質剤
1か月前
東ソー株式会社
プラスチゾル組成物
23日前
東ソー株式会社
エチレン系重合用触媒
26日前
東ソー株式会社
細胞培養基材の製造方法
1か月前
東ソー株式会社
細胞培養基材の製造方法
1か月前
東ソー株式会社
クロロプレンラテックス組成物
2日前
東ソー株式会社
酸素還元電極及びその製造方法
1か月前
東ソー株式会社
廃プラスチックのリサイクル方法
1か月前
東ソー株式会社
ポリアリーレンスルフィド組成物
1か月前
東ソー株式会社
押出成形用ゴム組成物及び加硫ゴム
1か月前
東ソー株式会社
分離剤を充填したカラムの製造方法
1か月前
東ソー株式会社
細胞培養基材、及び細胞培養キット
1か月前
東ソー株式会社
バイオマス由来の塩素化ポリエチレン
1か月前
東ソー株式会社
ポリアリーレンスルフィド樹脂組成物
1か月前
東ソー株式会社
メチレンジアニリン化合物の製造方法
1か月前
東ソー株式会社
6-ヒドロキシヘキサン酸の製造方法
1か月前
東ソー株式会社
ユウロピウム錯体含有細胞賦活用組成物
1か月前
東ソー株式会社
酸化ポリエチレンワックス及びその製造方法
1か月前
東ソー株式会社
免疫グロブリン結合性タンパク質の製造方法
23日前
東ソー株式会社
細胞外小胞精製キット及び細胞外小胞の精製方法
23日前
東ソー株式会社
死細胞の分離剤およびそれを用いた細胞の製造方法
23日前
東ソー株式会社
セラミックスマトリックス複合材料及びその製造方法
23日前
東ソー株式会社
カラム管理サーバ、カラム管理システム及びプログラム
1か月前
東ソー株式会社
樹脂組成物、電子写真用トナー及びホットメルト接着剤
1か月前
東ソー株式会社
糖化ヘモグロビン解析方法及び糖化ヘモグロビン解析装置
1か月前
東ソー株式会社
低溶出ポリエチレン樹脂およびそれよりなる射出成形部品
3日前
東ソー株式会社
重合触媒及びそれを用いてなるエチレン系重合体の製造方法
10日前
東ソー株式会社
リン酸化合物を含む非水電解液系二次電池用非水電解液及び非水電解液系二次電池
1か月前
続きを見る
他の特許を見る