TOP
|
特許
|
意匠
|
商標
特許ウォッチ
Twitter
他の特許を見る
10個以上の画像は省略されています。
公開番号
2025151622
公報種別
公開特許公報(A)
公開日
2025-10-09
出願番号
2024053144
出願日
2024-03-28
発明の名称
空調システム
出願人
大和ハウス工業株式会社
代理人
弁理士法人アイミー国際特許事務所
主分類
F24F
11/74 20180101AFI20251002BHJP(加熱;レンジ;換気)
要約
【課題】建物内の作業空間の空調に最適な空調システムを提供すること。
【解決手段】
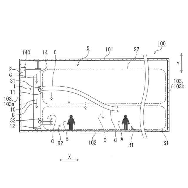
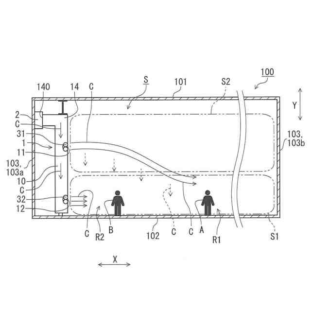
本発明は、建物内(100)の作業空間(S1)を空調する空調システムであって、建物内に設置された空調機(2)からの冷気(C)を受け入れる受け入れ口(140)を上端部(14)に有するとともに、受け入れ口よりも下方に位置し、作業空間(S1)よりも上方の上方空間(S2)に対面する第1の吹き出し口(11)、および、第1の吹き出し口よりも下方に位置し、作業空間に対面する第2の吹き出し口(12)を有する縦ダクト(1)と、第1の吹き出し口の風量を、第2の吹き出し口の風量よりも大きくする風量調整手段を備える。
【選択図】図1
特許請求の範囲
【請求項1】
建物内の作業空間を空調する空調システムであって、
建物内に設置された空調機からの冷気を受け入れる受け入れ口を上端部に有するとともに、前記受け入れ口よりも下方に位置し、前記作業空間よりも上方の上方空間に対面する第1の吹き出し口、および、前記第1の吹き出し口よりも下方に位置し、前記作業空間に対面する第2の吹き出し口を有する縦ダクトと、
前記第1の吹き出し口の風量を、前記第2の吹き出し口の風量よりも大きくする風量調整手段とを備える、空調システム。
続きを表示(約 490 文字)
【請求項2】
前記風量調整手段は、前記第1の吹き出し口の開口面積または開口率を、前記第2の吹き出し口の開口面積または開口率よりも大きくすることにより実現される、請求項1に記載の空調システム。
【請求項3】
前記風量調整手段は、前記第1の吹き出し口に設けられた第1のファン、および前記第2の吹き出し口に設けられた第2のファンを含み、前記第1のファンの風速を、前記第2のファンの風速よりも速くすることにより風量を調整する、請求項1または2のいずれか1項に記載の空調システム。
【請求項4】
前記第2の吹き出し口からの冷気の吹き出し温度を調整する吹き出し温度調整手段をさらに備える、請求項1に記載の空調システム。
【請求項5】
前記吹き出し温度調整手段は、前記第1の吹き出し口と前記第2の吹き出し口との間に位置し、前記縦ダクトの周辺の空気を取り込む空気取込口を含む、請求項4に記載の空調システム。
【請求項6】
前記吹き出し温度調整手段は、前記空気取込口に設けられた吸気ファンを含む、請求項5に記載の空調システム。
発明の詳細な説明
【技術分野】
【0001】
本発明は空調システムに関し、特に、工場などの建物内の作業空間を空調する空調システムに関する。
続きを表示(約 1,100 文字)
【背景技術】
【0002】
工場用の空調機は、天吊形、壁掛形、床置形、セパレート形、天吊両吹出形など、様々な種類がある。壁掛形の空調機は、パンカールーバで吹き出し方向や角度を調整しながら、風量を増加させて、より遠くへ気流を届けることができる。
【0003】
特開2021-188796(特許文献1)には、接続ダクトを介して空調機に接続された誘引ファンが、空調機からの冷気を吸込口から吸い込んで、吹出口から冷気を高速で吹き出すように構成されていることにより、冷気をより遠くに飛ばし、涼感が得られるエリアを拡大する、という技術が開示されている。
【先行技術文献】
【特許文献】
【0004】
特開2021-188796
【発明の概要】
【発明が解決しようとする課題】
【0005】
特許文献1の技術では、吹出口から遠くの作業者に涼感を与えることができる一方、吹出口における風量が大きいため、吹出口から近くの作業者にとっては、過剰な冷却となる。したがって、吹き出し口から吹き出される冷気の風量を、吹き出し口から遠い場所および近い場所の両方に適度に分配することにより、両方の場所の作業者に涼感(良い気流感)を与えることができる技術が望まれる。
【0006】
本発明は、このような課題を解決するためになされたものであって、その目的は、建物内の作業空間の空調に最適な空調システムを提供することである。
【課題を解決するための手段】
【0007】
本発明における空調システムは、建物内の作業空間を空調する空調システムであって、縦ダクトと風量調整手段とを備える。
【0008】
縦ダクトは、建物内に設置された空調機からの冷気を受け入れる受け入れ口を上端部に有するとともに、受け入れ口よりも下方に位置し、作業空間よりも上方の上方空間に対面する第1の吹き出し口と、第1の吹き出し口よりも下方に位置し、作業空間に対面する第2の吹き出し口とを有する。風量調整手段は、第1の吹き出し口の風量を、第2の吹き出し口の風量よりも大きくする。
【0009】
好ましくは、風量調整手段は、第1の吹き出し口の開口面積または開口率を、第2の吹き出し口の開口面積または開口率よりも大きくすることにより実現される。
【0010】
好ましくは、風量調整手段は、第1の吹き出し口に設けられた第1のファン、および第2の吹き出し口に設けられた第2のファンを含み、第1のファンの風速を、第2のファンの風速よりも速くすることにより風量を調整する。
(【0011】以降は省略されています)
この特許をJ-PlatPat(特許庁公式サイト)で参照する
関連特許
個人
空気調和機
4か月前
個人
エアコン室内機
4か月前
株式会社コロナ
空調装置
3か月前
株式会社コロナ
空調装置
9日前
株式会社コロナ
給湯装置
2か月前
株式会社コロナ
加湿装置
29日前
株式会社コロナ
空調装置
1か月前
株式会社コロナ
空調装置
19日前
株式会社コロナ
空調装置
2か月前
個人
太陽光パネル傾斜装置
4日前
個人
住宅換気空調システム
1か月前
株式会社コロナ
風呂給湯機
1か月前
株式会社コロナ
空気調和機
2か月前
株式会社コロナ
空気調和機
1か月前
株式会社コロナ
貯湯式給湯機
15日前
株式会社パロマ
給湯器
3か月前
株式会社コロナ
直圧式給湯機
3か月前
株式会社コロナ
暖房システム
19日前
株式会社コロナ
直圧式給湯機
1か月前
株式会社コロナ
貯湯式給湯機
23日前
株式会社コロナ
貯湯式給湯機
4か月前
ホーコス株式会社
排気フード
2か月前
個人
シンプルクーラー
2日前
三菱電機株式会社
換気扇
3日前
株式会社コロナ
輻射式冷房装置
1か月前
株式会社コロナ
貯湯式給湯装置
3か月前
三菱電機株式会社
換気扇
3日前
三菱電機株式会社
換気扇
3日前
株式会社コロナ
貯湯式給湯装置
4か月前
ホーコス株式会社
換気扇取付枠
1か月前
株式会社パロマ
給湯暖房機
3か月前
株式会社パロマ
給湯暖房機
3か月前
株式会社パロマ
給湯暖房機
3か月前
株式会社パロマ
給湯暖房機
3か月前
株式会社パロマ
給湯暖房機
3か月前
株式会社パロマ
給湯暖房機
3か月前
続きを見る
他の特許を見る