TOP
|
特許
|
意匠
|
商標
特許ウォッチ
Twitter
他の特許を見る
公開番号
2025149054
公報種別
公開特許公報(A)
公開日
2025-10-08
出願番号
2024049489
出願日
2024-03-26
発明の名称
光渦を用いた神経性疾患の治療装置
出願人
個人
,
国立大学法人千葉大学
代理人
弁理士法人平木国際特許事務所
主分類
A61N
5/067 20060101AFI20251001BHJP(医学または獣医学;衛生学)
要約
【課題】パーキンソン病等の神経変性疾患の治療用装置の提供。
【解決手段】光渦発生部を含む光渦レーザー発振装置及び神経変性疾患の患者の患部へ光渦レーザーを照射する部位を含む、神経変性疾患を治療するための治療用装置。
【選択図】なし
特許請求の範囲
【請求項1】
光渦発生部を含む光渦レーザー発振装置及び神経変性疾患の患者の患部へ光渦レーザーを照射する部位を含む、神経変性疾患を治療するための治療用装置。
続きを表示(約 600 文字)
【請求項2】
パルス励起のレーザー光を発するレーザー光源と、
前記レーザー光源が発するレーザー光に基づき励起光渦を発する光渦発生部と、
光渦発生部を含む光渦レーザー発振装置が、前記光渦発生部により発生した励起光渦に基づき複数のコヒーレントな光渦を発生させ、周波数変換を行い軌道角運動量の量子数を変化させる光パラメトリック発振系と、を有する光渦レーザー発振装置である、請求項1記載の治療用装置。
【請求項3】
治療に用いる光渦レーザーの波長が900~1500nmであり、放射照度が10~1,000mW/cm
2
であり、照射時間が10秒~60分である、請求項1記載の治療用装置。
【請求項4】
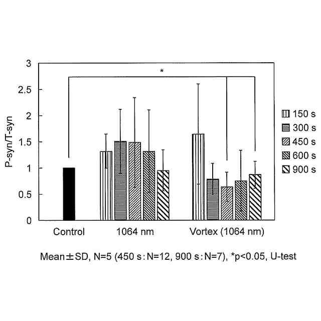
神経変性疾患がパーキンソン病であり、患者の患部がリン酸αシヌクレインが凝集した嗅球であり、光渦レーザーを照射して凝集したリン酸化αシヌクレインを減少させる、請求項1~3のいずれか1項に記載の治療用装置。
【請求項5】
さらに、鼻腔挿入デバイスを含み、光渦レーザー発振装置の光渦発生部及び光渦レーザーを照射する部位が鼻腔挿入デバイス中に含まれる、請求項1~3のいずれか1項に記載の治療用装置。
【請求項6】
鼻腔挿入デバイスを鼻腔内に挿入し、鼻腔内から嗅球に向けて光渦レーザーを照射する、請求項5記載の治療用装置。
発明の詳細な説明
【技術分野】
【0001】
本発明は、光渦を用いたフォトバイオモジュレーションの手法を用いた神経性疾患の治療方法に関する。
続きを表示(約 1,700 文字)
【背景技術】
【0002】
パーキンソン病は、大脳黒質神経細胞がαシヌクレインタンパク質凝集による酸化ストレスに晒され、神経細胞が変性脱落することで、ドーパミン作動性神経細胞からのドーパミン分泌が減少することにより起こる運動機能障害である。パーキンソン病の現在の治療法は症状を緩和する対症療法のみであり原因療法が存在しないため、新たな根治療法の確立が求められている。
【0003】
光渦は、位相特異点に由来する角運動量(軌道角運動量)及びドーナツ型強度分布という特徴的な性質をもった光波である。
【0004】
光渦の代表例としては、例えばラゲールガウスビームを挙げることができる(例えば下記特許文献1参照)。ラゲールガウスビームは、円筒座標系における波動方程式の固有解であり、回転中心の周りで1波長伝搬するごとに2πの整数倍だけ位相が回転する周期的境界条件を満たす。このため、量子数L(l=1,2,3…)を用いて軌道角運動量の大きさを表すことが可能である。光渦の波面はらせん形状を有しており、この法線方向と光の伝搬方向のベクトル差で与えられる方向に軌道角運動量が働く。
【0005】
また光渦は、光の放射圧を利用した光マニピュレーション、位相特異点を利用した高解像度顕微鏡、軌道角運動量を積極的に利用した光渦アブレーション加工などに利用することができ、今後の工業的な利用が大きく期待される。
【0006】
光渦を発振させる公知の技術として、例えば下記特許文献1に記載の装置を例示することができる。
【先行技術文献】
【特許文献】
【0007】
WO2012/169578
【発明の概要】
【発明が解決しようとする課題】
【0008】
本発明は、光渦を用いたパーキンソン病等の神経変性疾患の治療用装置の提供を目的とする。
【課題を解決するための手段】
【0009】
本発明者は、パーキンソン病に対する低侵襲な治療の実現のため、フォトバイオモジュレーション(PBM)を応用した新たな治療方法の開発に鋭意検討を行った。本発明者は、光渦を用い、光照射の有効照射条件とPBMおよび光渦の有効性をαシヌクレイン発現神経細胞にて明らかに、本発明を完成させるに至った。
【0010】
すなわち、本発明は、以下のとおりである。
[1] 光渦発生部を含む光渦レーザー発振装置及び神経変性疾患の患者の患部へ光渦レーザーを照射する部位を含む、神経変性疾患を治療するための治療用装置。
[2] パルス励起のレーザー光を発するレーザー光源と、
前記レーザー光源が発するレーザー光に基づき励起光渦を発する光渦発生部と、
光渦発生部を含む光渦レーザー発振装置が、前記光渦発生部により発生した励起光渦に基づき複数のコヒーレントな光渦を発生させ、周波数変換を行い軌道角運動量の量子数を変化させる光パラメトリック発振系と、を有する光渦レーザー発振装置である、[1]の治療用装置。
[3] 治療に用いる光渦レーザーの波長が900~1500nmであり、放射照度が10~1,000 mW/cm
2
であり、照射時間が10秒~60分である、[1]の治療用装置。
[4] 神経変性疾患がパーキンソン病であり、患者の患部がリン酸αシヌクレインが凝集した嗅球であり、光渦レーザーを照射して凝集したリン酸化αシヌクレインを減少させる、[1]~[3]のいずれかの治療用装置。
[5] さらに、鼻腔挿入デバイスを含み、光渦レーザー発振装置の光渦発生部及び光渦レーザーを照射する部位が鼻腔挿入デバイス中に含まれる、[1]~[3]のいずれかの治療用装置。
[6] 鼻腔挿入デバイスを鼻腔内に挿入し、鼻腔内から嗅球に向けて光渦レーザーを照射する、[5]の治療用装置。
【発明の効果】
(【0011】以降は省略されています)
この特許をJ-PlatPat(特許庁公式サイト)で参照する
関連特許
個人
貼付剤
1か月前
個人
簡易担架
23日前
個人
足踏み器具
1か月前
個人
短下肢装具
4か月前
個人
腋臭防止剤
23日前
個人
嚥下鍛錬装置
5か月前
個人
排尿補助器具
1か月前
個人
前腕誘導装置
4か月前
個人
腰ベルト
1か月前
個人
胸骨圧迫補助具
3か月前
個人
バッグ式オムツ
5か月前
個人
歯の修復用材料
5か月前
個人
テスト肺
4日前
個人
水分吸収性物品
2日前
個人
ウォート指圧法
1か月前
個人
アイマスク装置
3か月前
個人
汚れ防止シート
2か月前
個人
湿布連続貼り機。
3か月前
個人
介護移乗アシスト
2日前
個人
排尿排便補助器具
25日前
個人
美容セット
1か月前
個人
哺乳瓶冷まし容器
4か月前
個人
陣痛緩和具
5か月前
個人
治療用酸化防御装置
2か月前
株式会社コーセー
化粧料
1か月前
株式会社大野
骨壷
5か月前
個人
性行為補助具
4か月前
個人
エア誘導コルセット
3か月前
個人
形見の製造方法
5か月前
個人
手指運動ツール
3か月前
株式会社ダリヤ
毛髪化粧料
2日前
株式会社ニデック
眼科装置
2か月前
株式会社松風
口腔用組成物
5か月前
株式会社ダリヤ
毛髪化粧料
2か月前
株式会社ニデック
眼科装置
2か月前
個人
高気圧環境装置
5か月前
続きを見る
他の特許を見る