TOP
|
特許
|
意匠
|
商標
特許ウォッチ
Twitter
他の特許を見る
10個以上の画像は省略されています。
公開番号
2025148027
公報種別
公開特許公報(A)
公開日
2025-10-07
出願番号
2024048595
出願日
2024-03-25
発明の名称
表面被覆切削工具
出願人
三菱マテリアル株式会社
代理人
個人
主分類
B23B
27/14 20060101AFI20250930BHJP(工作機械;他に分類されない金属加工)
要約
【課題】耐熱合金の切削加工であっても優れた耐チッピング性を有する表面被覆切削工具を得る
【解決手段】 基体と該基体の表面に被覆層を有し、前記被覆層は、上部層を有し、(a)前記上部層の平均厚さは3.0~10.0μmであり、(b)前記上部層の平均組成を(Al
Xavg
Ti
1-Xavg
)(C
Xc
N
1-Xc
)で表したとき、0.70≦X
avg
≦0.90かつ0.00≦X
C
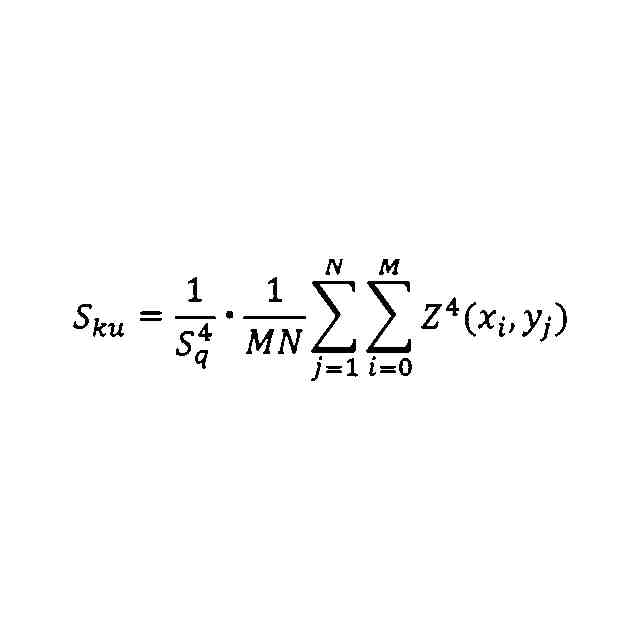
≦0.05であり、(c)前記上部層のすくい面および逃げ面のクルトシス(Rku)値がともに3.0以下であり、(d)前記上部層では、NaCl型の面心立方晶構造を有する結晶粒の割合が80.0面積%以上である表面被覆切削工具。
【選択図】図1
特許請求の範囲
【請求項1】
基体と該基体の表面に被覆層を有し、
前記被覆層は、上部層を有し、
(a)前記上部層の平均厚さは3.0~10.0μmであり、
(b)前記上部層の平均組成を(Al
Xavg
Ti
1-Xavg
)(C
Xc
N
1-Xc
)で表したとき、0.70≦X
avg
≦0.90かつ0.00≦X
C
≦0.05であり、
(c)前記上部層のすくい面および逃げ面のクルトシス(Rku)値がともに3.0以下であり、
(d)前記上部層では、NaCl型の面心立方晶構造を有する結晶粒の割合が80.0面積%以上である
ことを特徴とする表面被覆切削工具。
続きを表示(約 560 文字)
【請求項2】
前記上部層において、前記NaCl型の面心立方晶構造の結晶粒の200回折線の回折強度値I(200)と111回折線の回線強度値I(111)は、I(111)≦I(200)であることを特徴とする請求項1に記載の表面被覆切削工具。
【請求項3】
前記被覆層は、前記上部層の他に、前記基体から前記上部層に向かって順に下地層と、下部層と、密着層との少なくとも一層を有し、
(e)前記下地層は、Tiの窒化物層であって、その平均厚さは0.1~1.0μmであり、
(f)前記下部層は、Tiの炭窒化物層であって、その平均厚さは、3.0~10.0μmであり、
(g)前記密着層は、その平均厚さが、0.2~5.0μmであり、その平均組成を(Al
Yavg
Ti
1-Yavg
)(C
Yc
N
1-Yc
)で表したとき、Y
avg
が、
0.00<Y
avg
≦0.70かつ0.10≦X
avg
-Y
avg
かつ0.00≦Y
C
≦0.05であること
を特徴とする請求項1~3のいずれかに記載の表面被覆切削工具。
発明の詳細な説明
【技術分野】
【0001】
本発明は、表面被覆切削工具(以下、被覆工具ということがある)に関する。
続きを表示(約 1,600 文字)
【背景技術】
【0002】
従来、切削工具を高寿命とすべく、炭化タングステン(以下、WCということがある)基超硬合金等の基体の表面に、被覆層を被覆した被覆工具があり、この被覆工具は耐摩耗性等が向上している。
そして、被覆工具のより一層の切削性能を向上させるために、例えば、被覆層の表面粗さについて提案がなされている。
【0003】
例えば、特許文献1には、被覆層の表面における二乗平均平方根傾斜(RΔq)が0.060°以下である被覆工具が記載され、該被覆工具は耐摩耗性と耐高温潤滑性に優れるとされている。
【0004】
また、例えば、特許文献2には、被覆層において、すくい面の切刃近傍領域における最大粗さ高さ(R
ZA
)が0.5~1μm、スキューネス(R
skA
)が負の値をとる被覆工具が記載され、該被覆工具は耐摩耗性及び耐欠損性に優れているとされている。
【先行技術文献】
【特許文献】
【0005】
特開2015-208808号公報
特開2007-313636号公報
【発明の概要】
【発明が解決しようとする課題】
【0006】
本発明は、前記事情や前記提案を鑑みてなされたもので、ニッケル基合金等の耐熱合金の切削加工であっても優れた耐チッピング性を有する表面被覆切削工具を得ることを目的とする。
【課題を解決するための手段】
【0007】
本発明の実施形態に係る表面被覆切削工具は、
基体と該基体の表面に被覆層を有し、
前記被覆層は、上部層を有し、
(a)前記上部層の平均厚さは3.0~10.0μmであり、
(b)上部層の平均組成を(Al
Xavg
Ti
1-Xavg
)(C
Xc
N
1-Xc
)で表したとき、0.70≦X
avg
≦0.90かつ0.00≦X
C
≦0.05であり、
(c)前記上部層のすくい面および逃げ面のクルトシス(Rku)値がともに3.0以下であり、
(d)前記上部層では、NaCl型の面心立方晶構造を有する結晶粒の割合が80.0面積%以上である。
【0008】
さらに、前記実施形態に係る表面被覆切削工具は、次の(1)または(2)の少なくとも1つを満足してもよい。
【0009】
(1)前記上部層において、前記NaCl型の面心立方晶構造の結晶粒の200回折線の回折強度値I(200)と111回折線の回線強度値I(111)は、I(111)≦I(200)であること。
【0010】
(2)前記被覆層は、前記上部層の他に、前記基体から前記上部層に向かって順に下地層と、下部層と、密着層との少なくとも一層を有し、
(e)前記下地層は、Tiの窒化物層であって、その平均厚さは0.1~1.0μmであり、
(f)前記下部層は、Tiの炭窒化物層であって、その平均厚さは、3.0~10.0μmであり、
(g)前記密着層は、その平均厚さが、0.2~5.0μmであり、その平均組成を(Al
Yavg
Ti
1-Yavg
)(C
Yc
N
1-Yc
)で表したときとき、Y
avg
が、0.00<Y
avg
≦0.70、0.10≦X
avg
-Y
avg
かつ0.00≦Y
C
≦0.05であること。
【発明の効果】
(【0011】以降は省略されています)
この特許をJ-PlatPat(特許庁公式サイト)で参照する
関連特許
個人
タップ
6か月前
個人
フライス盤
2か月前
個人
加工機
6か月前
麗豊実業股フン有限公司
ラクトバチルス・パラカセイNB23菌株及びそれを筋肉量の増加や抗メタボリック症候群に用いる用途
6か月前
日東精工株式会社
ねじ締め機
6か月前
日東精工株式会社
ねじ締め機
2か月前
株式会社不二越
ドリル
6か月前
日東精工株式会社
ねじ締め機
1か月前
株式会社北川鉄工所
回転装置
5か月前
日東精工株式会社
ねじ締め機
3か月前
キヤノン電子株式会社
加工装置
21日前
株式会社ダイヘン
溶接電源装置
4か月前
株式会社ダイヘン
溶接電源装置
4か月前
株式会社ダイヘン
溶接電源装置
3か月前
ダイニチ工業株式会社
配膳治具
24日前
日東精工株式会社
ねじ締め装置
5か月前
日東精工株式会社
ねじ締め装置
2か月前
株式会社FUJI
工作機械
5か月前
日東精工株式会社
ねじ整列トレー
16日前
株式会社FUJI
工作機械
4か月前
株式会社FUJI
工作機械
1か月前
株式会社FUJI
工作機械
1か月前
個人
切削油供給装置
3か月前
株式会社アンド
半田付け方法
6か月前
中国電力株式会社
養生シート
1か月前
キヤノン電子株式会社
加工システム
3か月前
株式会社アンド
半田付け方法
6か月前
株式会社アンド
半田付け方法
2か月前
睦月電機株式会社
金属表面処理方法
21日前
個人
型枠製造装置のフレーム
2か月前
株式会社富田製作所
支持構造
29日前
大見工業株式会社
ドリル
4か月前
株式会社向洋技研
スタッドの製造方法
23日前
村田機械株式会社
レーザ加工機
6か月前
株式会社トヨコー
被膜除去方法
6か月前
村田機械株式会社
レーザ加工機
6か月前
続きを見る
他の特許を見る