TOP
|
特許
|
意匠
|
商標
特許ウォッチ
Twitter
他の特許を見る
10個以上の画像は省略されています。
公開番号
2025146949
公報種別
公開特許公報(A)
公開日
2025-10-03
出願番号
2025126056,2023125562
出願日
2025-07-29,2023-08-01
発明の名称
トナー及びトナーの製造方法
出願人
キヤノン株式会社
代理人
弁理士法人秀和特許事務所
主分類
G03G
9/087 20060101AFI20250926BHJP(写真;映画;光波以外の波を使用する類似技術;電子写真;ホログラフイ)
要約
【課題】高温高湿環境下においても長期にわたって良好な帯電量を保持可能なトナー。
【解決手段】樹脂A及び樹脂Bを含有するトナー粒子を有するトナーであって、該樹脂Aが、スルホン酸系基を有するビニル系樹脂であり、該樹脂Bが、ポリエステル樹脂であり、該トナー粒子の飛行時間型二次イオン質量分析法による深さ方向の分析において、該トナー粒子の表面から10nmまでの深さにおける該樹脂Aの存在比率が最大になる深さをDA(nm)とし、深さDAにおける該樹脂Aの存在比率をCA
S
(%)とし、深さDAにおける該樹脂Bの存在比率をCB
S
(%)とし、深さ75nmにおける該樹脂Aの存在比率をCA
75
(%)とし、深さ75nmにおける該樹脂Bの存在比率をCB
75
としたとき、CA
S
、CA
75
、CB
S
、CB
75
が、特定の関係を示す。
【選択図】なし
特許請求の範囲
【請求項1】
樹脂A及び樹脂Bを含有するトナー粒子を有するトナーであって、
該樹脂Aが、スルホン酸基、スルホン酸塩基及びスルホン酸エステル基からなる群より選択される少なくとも一のスルホン酸系基を有するビニル系樹脂であり、
該樹脂Bが、ポリエステル樹脂であり、
該トナー粒子の飛行時間型二次イオン質量分析法による深さ方向の分析において、
該トナー粒子の表面から10nmまでの深さにおける該樹脂Aの存在比率が最大になる深さをDA(nm)とし、
深さDAにおけるスペクトルから算出される、深さDAにおける該樹脂Aの存在比率をCA
S
(%)とし、深さDAにおける該樹脂Bの存在比率をCB
S
(%)とし、
深さ75nmにおけるスペクトルから算出される、深さ75nmにおける該樹脂Aの存在比率をCA
75
(%)とし、深さ75nmにおける該樹脂Bの存在比率をCB
75
(%)としたとき、
CA
S
が、40.0~85.0であり、
CA
S
/CA
75
が、1.5~5.0であり、
CB
S
/CB
75
が、1.5~5.0であり、
CA
S
/CB
S
が、1.0~6.0であり、
(CA
S
/CB
S
)/(CA
75
/CB
75
)が、0.5~3.0である、
ことを特徴とするトナー。
続きを表示(約 1,100 文字)
【請求項2】
前記CA
S
/CA
75
が、2.0~5.0である、請求項1に記載のトナー。
【請求項3】
前記トナー粒子が、無機微粒子を含有する、請求項1又は2に記載のトナー。
【請求項4】
前記無機微粒子が、炭素数4~20のアルキル基を有する処理剤による表面処理物である、請求項3に記載のトナー。
【請求項5】
前記無機微粒子が、磁性体である、請求項3に記載のトナー。
【請求項6】
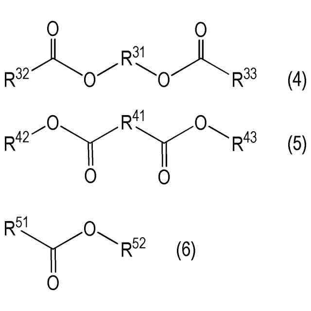
前記トナー粒子が、エステルワックスを含有し、
前記トナー粒子の飛行時間型二次イオン質量分析法による深さ方向の分析において、前記深さDAにおける該エステルワックスの存在比率CW
S
(%)が、10以下であり、
該エステルワックスが、下記式(4)で表される化合物、下記式(5)で表される化合物、及び下記式(6)で表される化合物からなる群から選択される少なくとも一の化合物である、
請求項1又は2に記載のトナー。
TIFF
2025146949000015.tif
70
153
(式(4)、式(5)及び式(6)中、R
31
及びR
41
は、それぞれ独立して、炭素数2~8のアルキレン基を示し、R
32
、R
33
、R
42
、R
43
、R
51
及びR
52
は、それぞれ独立して、炭素数14~24の直鎖アルキル基を示す。)
【請求項7】
前記トナー粒子が、樹脂Cを含有し、
該樹脂Cが、前記スルホン酸系基を有さないビニル系樹脂である、
請求項1又は2に記載のトナー。
【請求項8】
前記樹脂Cが、下記式(1)で表されるモノマーユニットを有する、請求項7に記載のトナー。
TIFF
2025146949000016.tif
33
153
(式(1)中、R
1
は、水素原子又はメチル基を示し、R
2
は、炭素数10~14の直鎖アルキル基を示す。)
【請求項9】
前記樹脂Bのエステル基濃度が、2.0~10.0mmol/gである、請求項1又は2に記載のトナー。
【請求項10】
前記樹脂Aのスルホン酸系基濃度が、0.05~0.50mmol/gである、請求項1又は2に記載のトナー。
(【請求項11】以降は省略されています)
発明の詳細な説明
【技術分野】
【0001】
本開示は、電子写真法、静電記録法及びトナージェット方式記録法を利用した記録方法に用いられるトナー及びトナーの製造方法に関する。
続きを表示(約 2,100 文字)
【背景技術】
【0002】
近年、電子写真方式の画像形成方法の使用環境は、オフィスに代表される温度・湿度が制御された環境にとどまらず、屋外等の温度・湿度が制御されていない環境へも拡大している。
電子写真方式は、電荷を有するトナーを電位差で運搬することで画像形成するものである。そして、温度・湿度の条件はトナーが保持する電荷量に影響するため、温度・湿度が変化しても安定した帯電量を保持できるトナーの検討が進められている。
【0003】
トナーの帯電量を制御する手段として、帯電部位を樹脂中に有する帯電制御樹脂(以下、「CCR」ともいう)をトナーに配合することが一般的に行われている。
特許文献1には、スルホン酸基を有するビニル系樹脂を帯電制御樹脂として有し、軟化剤としてモノエステル化合物を有する懸濁重合トナーが開示されている。
また、特許文献2には、スルホン酸基を有するポリエステル樹脂を含有する乳化凝集トナーが開示されている。
【先行技術文献】
【特許文献】
【0004】
特開2019-070835号公報
特開2006-267298号公報
【発明の概要】
【発明が解決しようとする課題】
【0005】
しかしながら、特許文献1に記載のトナーは、高温高湿環境下における保管時に帯電量の低下が生じやすいことがわかってきた。そのため、例えば長期休暇などで高温高湿環境下に長期間置かれた後に画像形成を行う場合、前回転等のシーケンスによってトナーを帯電させる必要があり、First Print Output Time(FPOT)の低下につながる。
また、特許文献2に記載のトナーも、同様に、高温高湿環境下における保管時に帯電量の低下が生じやすい。
このように、CCRを有するトナーは、高温高湿環境保管後に帯電量が低下する課題があり、更なる改善が求められる。
【0006】
本開示は、高温高湿環境下においても長期にわたって良好な帯電量を保持可能なトナー及びトナーの製造方法を提供する。
【課題を解決するための手段】
【0007】
本開示は、樹脂A及び樹脂Bを含有するトナー粒子を有するトナーであって、
該樹脂Aが、スルホン酸基、スルホン酸塩基及びスルホン酸エステル基からなる群より選択される少なくとも一つのスルホン酸系基を有するビニル系樹脂であり、
該樹脂Bが、ポリエステル樹脂であり、
該トナー粒子の飛行時間型二次イオン質量分析法による深さ方向の分析において、
該トナー粒子の表面から10nmまでの深さにおける該樹脂Aの存在比率が最大になる深さをDA(nm)とし、
深さDAにおけるスペクトルから算出される、深さDAにおける該樹脂Aの存在比率をCA
S
(%)とし、深さDAにおける該樹脂Bの存在比率をCB
S
(%)とし、
深さ75nmにおけるスペクトルから算出される、深さ75nmにおける該樹脂Aの存在比率をCA
75
(%)とし、深さ75nmにおける該樹脂Bの存在比率をCB
75
(%)としたとき、
CA
S
が、40.0~85.0であり、
CA
S
/CA
75
が、1.5~5.0であり、
CB
S
/CB
75
が、1.5~5.0であり、
CA
S
/CB
S
が、1.0~6.0であり、
(CA
S
/CB
S
)/(CA
75
/CB
75
)が、0.5~3.0であるトナーに関する。
【発明の効果】
【0008】
本開示によれば、高温高湿環境下においても長期にわたって良好な帯電量を保持可能なトナーを提供することができる。
【発明を実施するための形態】
【0009】
本開示において、数値範囲を表す「XX以上YY以下」や「XX~YY」の記載は、特に断りのない限り、端点である下限及び上限を含む数値範囲を意味する。数値範囲が段階的に記載されている場合、各数値範囲の上限及び下限は任意に組み合わせることができる。
【0010】
「モノマーユニット」とは、ポリマー中のモノマー物質の反応した形態をいう。例えば、ビニル系樹脂の場合、ポリマー中のビニル系モノマーが重合した主鎖中の、炭素-炭素結合1区間を1ユニットとする。ビニル系モノマーとは下記式(C)で表すことができる。
TIFF
2025146949000001.tif
30
170
(【0011】以降は省略されています)
この特許をJ-PlatPat(特許庁公式サイト)で参照する
関連特許
キヤノン株式会社
トナー
今日
キヤノン株式会社
トナー
13日前
キヤノン株式会社
トナー
13日前
キヤノン株式会社
トナー
13日前
キヤノン株式会社
トナー
18日前
キヤノン株式会社
撮像装置
18日前
キヤノン株式会社
現像装置
11日前
キヤノン株式会社
現像容器
11日前
キヤノン株式会社
現像装置
11日前
キヤノン株式会社
現像容器
11日前
キヤノン株式会社
撮影装置
11日前
キヤノン株式会社
記録装置
11日前
キヤノン株式会社
定着装置
12日前
キヤノン株式会社
撮像装置
14日前
キヤノン株式会社
現像装置
4日前
キヤノン株式会社
測距装置
6日前
キヤノン株式会社
電子機器
20日前
キヤノン株式会社
記録装置
18日前
キヤノン株式会社
現像剤容器
19日前
キヤノン株式会社
モジュール
13日前
キヤノン株式会社
半導体装置
20日前
キヤノン株式会社
光学センサ
13日前
キヤノン株式会社
情報処理装置
18日前
キヤノン株式会社
画像形成装置
11日前
キヤノン株式会社
画像処理装置
19日前
キヤノン株式会社
情報処理装置
11日前
キヤノン株式会社
カートリッジ
11日前
キヤノン株式会社
画像形成装置
11日前
キヤノン株式会社
画像形成装置
11日前
キヤノン株式会社
画像形成装置
11日前
キヤノン株式会社
画像形成装置
12日前
キヤノン株式会社
画像処理装置
11日前
キヤノン株式会社
画像形成装置
20日前
キヤノン株式会社
映像表示装置
22日前
キヤノン株式会社
カートリッジ
11日前
キヤノン株式会社
画像形成装置
7日前
続きを見る
他の特許を見る