TOP
|
特許
|
意匠
|
商標
特許ウォッチ
Twitter
他の特許を見る
10個以上の画像は省略されています。
公開番号
2025144446
公報種別
公開特許公報(A)
公開日
2025-10-02
出願番号
2024044229
出願日
2024-03-19
発明の名称
がん治療装置、がん治療システム、がん治療装置の作動方法、及びがん治療装置による磁束密度の推定方法
出願人
公立大学法人横浜市立大学
代理人
弁理士法人ITOH
,
個人
,
個人
主分類
A61N
2/04 20060101AFI20250925BHJP(医学または獣医学;衛生学)
要約
【課題】簡素な装置で治療をする。
【解決手段】本がん治療装置は、生体に磁界を印加するがん治療装置であって、磁界発生部と、前記磁界発生部に交流電流を供給する電源部と、前記磁界発生部により発生された磁界内に前記生体が配置された状態における、前記電源部から供給される前記交流電流に応じて前記磁界発生部から発生する前記磁界の磁束密度に関する情報を取得する取得部と、前記取得部による1回の取得結果から、前記生体に印加されている磁界の磁束密度を推定する推定部と、前記推定部で推定された前記生体に印加されている磁界の磁束密度に基づき、前記がん治療装置の動作を制御する制御部と、を有する。
【選択図】図7
特許請求の範囲
【請求項1】
生体に磁界を印加するがん治療装置であって、
磁界発生部と、
前記磁界発生部に交流電流を供給する電源部と、
前記磁界発生部により発生された磁界内に前記生体が配置された状態における、前記電源部から供給される前記交流電流に応じて前記磁界発生部から発生する磁界の磁束密度に関する情報を取得する取得部と、
前記取得部による1回の取得結果から、前記生体に印加されている磁界の磁束密度を推定する推定部と、
前記推定部で推定された前記生体に印加されている磁界の磁束密度に基づき、前記がん治療装置の動作を制御する制御部と、を有する、がん治療装置。
続きを表示(約 1,100 文字)
【請求項2】
前記磁界の磁束密度に関する情報は、前記生体が配置される領域外における、前記磁界発生部から発生される磁界の磁束密度である、請求項1に記載のがん治療装置。
【請求項3】
前記磁界発生部はコイルを含み、
前記推定部は、前記交流電流の電流値と、前記コイルの形状と、前記コイルから前記取得部までの距離と、前記取得部による1回の取得結果と、に基づき、前記コイルの中心位置において前記生体に印加されている前記磁界の磁束密度を推定する、請求項1に記載のがん治療装置。
【請求項4】
前記取得部は、筒状の前記コイルの軸方向に沿う中心軸と交わる位置に、前記コイルから所定の距離、離れて配置される、請求項3に記載のがん治療装置。
【請求項5】
前記制御部は、前記推定された前記生体に印加されている磁界の磁束密度が所定の基準を満たさない場合に、前記磁界発生部による磁界の発生を停止させること、前記所定の基準を満たしていないことを前記がん治療装置の操作者に報知すること、及び、前記基準を満たす前記交流電流の設定値に変更するか否かを問う文字情報及び図形情報の少なくとも一方を表示部に表示させること、の少なくとも1つを行う、請求項1又は請求項2に記載のがん治療装置。
【請求項6】
前記制御部は、前記基準を満たす前記交流電流の設定値に変更するか否かを問う文字情報及び図形情報の少なくとも一方を表示部に表示させた場合に、操作者の操作入力に応じて、前記基準を満たす前記交流電流の設定値に変更する、請求項5に記載のがん治療装置。
【請求項7】
複数の前記取得部を有し、
複数の前記取得部それぞれによる取得結果の平均値を取得する平均化処理部を有し、
前記平均値から、前記生体に印加されている前記磁界の磁束密度を推定する、請求項1又は請求項2に記載のがん治療装置。
【請求項8】
複数の前記取得部を有し、
複数の前記取得部それぞれによる取得結果に基づき、前記取得部及び前記磁界発生部の少なくとも一方の異常を検知する異常検知部を有する、請求項1又は請求項2に記載のがん治療装置。
【請求項9】
前記磁界発生部による前記磁界の周波数に対応する周波数以外の成分を除去するフィルタ処理部を有する、請求項1又は請求項2に記載のがん治療装置。
【請求項10】
前記取得部による前記取得結果の周波数成分におけるピーク周波数及びピーク値を抽出する周波数解析部を有する、請求項1又は請求項2に記載のがん治療装置。
(【請求項11】以降は省略されています)
発明の詳細な説明
【技術分野】
【0001】
本開示は、がん治療装置、がん治療システム、がん治療装置の作動方法、及びがん治療装置による磁束密度の推定方法に関する。
続きを表示(約 2,400 文字)
【背景技術】
【0002】
従来、コイルに交流電流を流すことで交流磁界を発生させ、発生させた交流磁界を患部組織に印加することで、がん細胞の増殖等を抑制するがん治療装置が知られている。
【0003】
がん治療装置では、患部におけるがん細胞の増殖等を抑制するために、患部に印加される磁界の強さ及び累積印加時間を監視することが好ましい。例えば、特許文献1には、治療中に患者の患部に印加される磁界の磁束密度を推定し、患部に印加される磁界の強さ及び累積印加時間を監視する技術が開示されている。
【発明の概要】
【発明が解決しようとする課題】
【0004】
しかしながら、特許文献1に記載の技術では、治療前に磁界発生部に患部が配置されていない状態で磁界発生部における磁界の磁束密度に関する情報を取得し、また、治療中に磁界発生部に患部が配置された状態で磁界発生部近傍における磁界の磁束密度に関する情報を取得する。そして、両取得結果を用いて治療中に患部に印加される磁界の磁束密度を推定する。特許文献1に記載の技術は、患部が配置されていない状態及び配置された状態の双方で磁束密度に関する情報を取得するため、治療の手順が複雑になる点で改善の余地がある。
【0005】
本開示は、簡素な装置で治療をすることを目的とする。
【課題を解決するための手段】
【0006】
本開示の一態様に係るがん治療装置は、生体に磁界を印加するがん治療装置であって、磁界発生部と、前記磁界発生部に交流電流を供給する電源部と、前記磁界発生部により発生された磁界内に前記生体が配置された状態における、前記電源部から供給される前記交流電流に応じて前記磁界発生部から発生する前記磁界の磁束密度に関する情報を取得する取得部と、前記取得部による1回の取得結果から、前記生体に印加されている磁界の磁束密度を推定する推定部と、前記推定部で推定された前記生体に印加されている磁界の磁束密度に基づき、前記がん治療装置の動作を制御する制御部と、を有する。
【発明の効果】
【0007】
本開示によれば、簡素な装置で治療をすることができる。
【図面の簡単な説明】
【0008】
本開示の実施形態に係るがん治療装置の使用状態を示す模式的上面図である。
本開示の実施形態に係るがん治療装置の使用状態を示す患者の頭部側から視た模式図である。
本開示の実施形態に係るがん治療装置の使用状態を示す模式的側面図である。
本開示の実施形態に係るがん治療装置が備える磁界発生部の模式的斜視図である。
本開示の実施形態に係るがん治療装置が備えるコイルの模式的切断斜視図である。
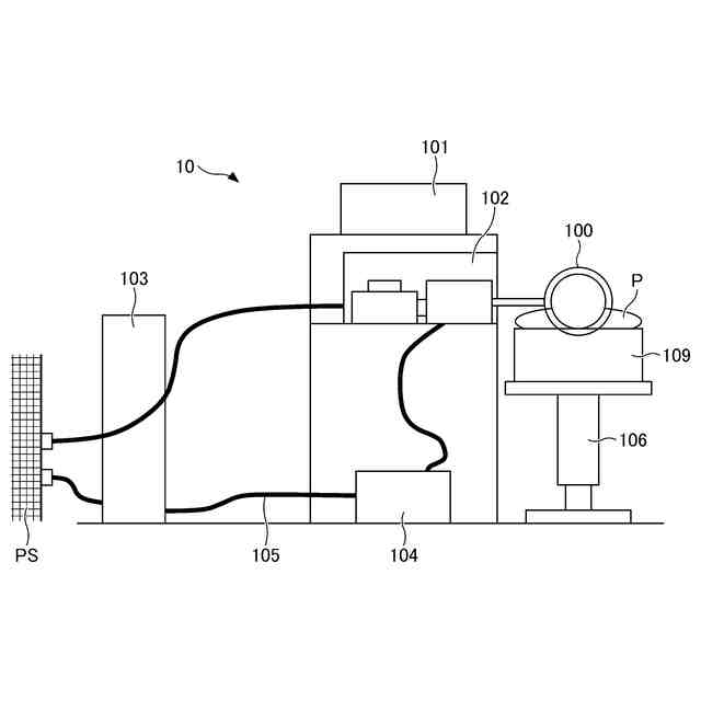
本開示の第1実施形態に係るがん治療装置の第1例を示す模式的斜視図である。
本開示の第1実施形態に係るがん治療装置の第2例を示す模式的斜視図である。
本開示の第1実施形態に係るがん治療装置の模式的上面図である。
本開示の第1実施形態に係るがん治療装置の模式的側面図である。
本開示の第1実施形態に係るがん治療装置が備える制御部のハードウェア構成を示すブロック図である。
本開示の第1実施形態に係るがん治療装置が備える制御部の機能構成を示すブロック図である。
コイルの形状の第1例を示す図である。
コイルの形状の第2例を示す図である。
コイルの形状の第3例を示す図である。
コイルから発生される磁界を示す図である。
複数巻きのコイルが発生する磁界の磁束密度の第1例を示す図である。
複数巻きのコイルが発生する磁界の磁束密度の第2例を示す図である。
距離と磁束密度との関係を示す図である。
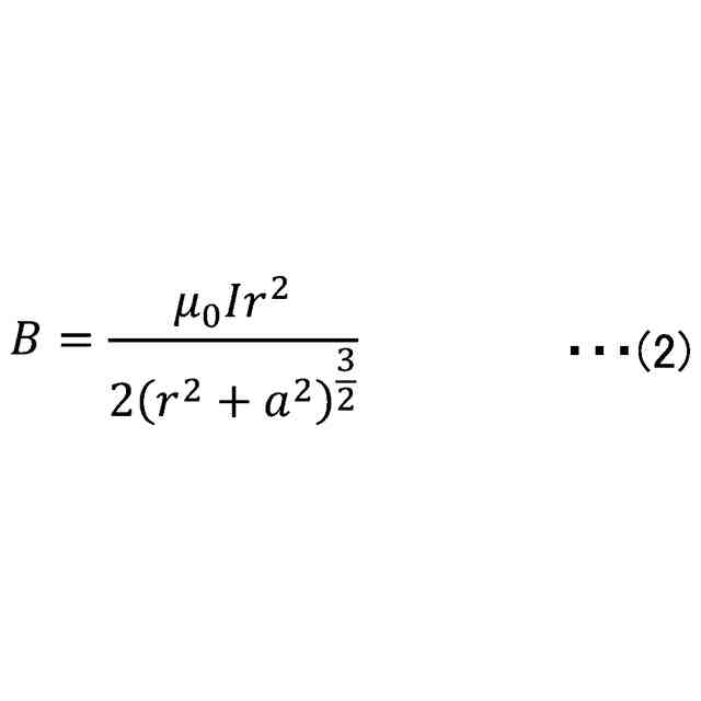
取得部による取得結果とコイルの中心位置での磁束密度との関係を示す図である。
設定交流電流と設定磁束密度と設定周波数との関係を示す図である。
コイル中心位置の磁束密度と設定値との関係を示す図である。
本開示の第1実施形態に係るがん治療装置の動作の第1例を示すフローチャートである。
本開示の第1実施形態に係るがん治療装置の動作の第2例を示すフローチャートである。
本開示の第1実施形態に係るがん治療装置の動作の第3例を示すフローチャートである。
本開示の第1実施形態に係るがん治療装置の動作の第4例を示すフローチャートである。
本開示の第2実施形態に係るがん治療装置を示す模式的斜視図である。
本開示の第2実施形態に係るがん治療装置が備える制御部の機能構成を示すブロック図である。
本開示の第3実施形態に係るがん治療装置が備える制御部の機能構成を示すブロック図である。
本開示の第3実施形態に係るがん治療装置が備えるフィルタ処理部の動作を示す図である。
本開示の第3実施形態に係るがん治療装置が備える周波数解析部の動作を示す図である。
【発明を実施するための形態】
【0009】
以下、図面を参照して本開示を実施するための形態について説明する。なお、本明細書及び図面において、実質的に同一の機能構成を有する構成要素については、同一の符号を付し、重複する説明を適宜省略する。また、理解を容易にするために、図面における各部の縮尺と、実際の縮尺とが異なる場合がある。
【0010】
平行、直角、直交、水平、垂直、上下、左右等の方向には、本開示の実施形態の効果を損なわない程度のずれが許容される。角部の形状は、直角に限られず、弓状に丸みを帯びてもよい。平行、直角、直交、水平、垂直には、略平行、略直角、略直交、略水平、略垂直が含まれてもよい。
(【0011】以降は省略されています)
この特許をJ-PlatPat(特許庁公式サイト)で参照する
関連特許
公立大学法人横浜市立大学
プログラム及び情報処理装置
3か月前
公立大学法人横浜市立大学
交流磁場発生装置、及びがん治療装置
1か月前
公立大学法人横浜市立大学
がん治療装置、及びがん治療システム
1か月前
公立大学法人横浜市立大学
がん治療装置、及びがん治療システム
1か月前
公立大学法人横浜市立大学
データ収集システムおよびプログラム
2か月前
公立大学法人横浜市立大学
肝細胞の可塑性誘導法
4か月前
公立大学法人横浜市立大学
がん治療装置、がん治療システム、がん治療装置の作動方法、及びがん治療装置による磁束密度の推定方法
1か月前
日鉄ケミカル&マテリアル株式会社
イムノクロマトストリップ、イムノクロマトキット、検出方法及び展開液
1か月前
シスメックス株式会社
モノクローナル抗体、Crtac1B測定用試薬、試薬キット及びCrtac1Bの測定方法
1か月前
個人
貼付剤
21日前
個人
簡易担架
3日前
個人
足踏み器具
10日前
個人
短下肢装具
3か月前
個人
腋臭防止剤
3日前
個人
白内障治療法
8か月前
個人
洗井間専家。
7か月前
個人
前腕誘導装置
4か月前
個人
排尿補助器具
1か月前
個人
嚥下鍛錬装置
4か月前
個人
歯の修復用材料
4か月前
個人
腰ベルト
24日前
個人
胸骨圧迫補助具
2か月前
個人
ホバーアイロン
7か月前
個人
アイマスク装置
2か月前
個人
ウォート指圧法
1か月前
個人
バッグ式オムツ
5か月前
個人
汚れ防止シート
1か月前
個人
矯正椅子
5か月前
個人
シャンプー
6か月前
個人
車椅子持ち上げ器
8か月前
個人
陣痛緩和具
4か月前
個人
歯の保護用シール
5か月前
個人
排尿排便補助器具
5日前
個人
美容セット
12日前
個人
湿布連続貼り機。
3か月前
三生医薬株式会社
錠剤
8か月前
続きを見る
他の特許を見る