TOP
|
特許
|
意匠
|
商標
特許ウォッチ
Twitter
他の特許を見る
10個以上の画像は省略されています。
公開番号
2025144170
公報種別
公開特許公報(A)
公開日
2025-10-02
出願番号
2024043821
出願日
2024-03-19
発明の名称
ジオール含有組成物、ポリカーボネートジオール及びポリウレタン
出願人
三菱ケミカル株式会社
代理人
個人
,
個人
主分類
C08G
64/00 20060101AFI20250925BHJP(有機高分子化合物;その製造または化学的加工;それに基づく組成物)
要約
【課題】色調等の品質に優れたポリカーボネートジオールを製造することが可能であり、さらには、機械的特性に優れ、前記機械的特性のバラツキが抑制されたポリウレタンを製造することが可能な、ジオール含有組成物を提供する。
【解決手段】1級アミン及び2級アミンから選択される少なくとも1種、並びに、下記一般式(1)で表されるジオール(1)を含む、ポリカーボネートジオールを製造する工程で用いられるジオール含有組成物。
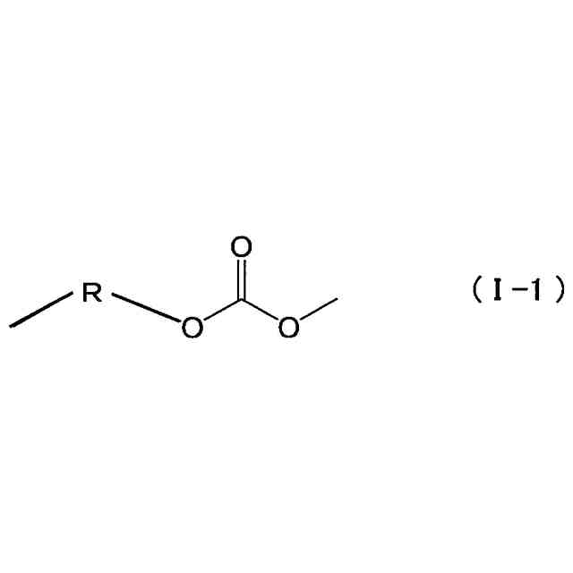
<com:Image com:imageContentCategory="Drawing"> <com:ImageFormatCategory>TIFF</com:ImageFormatCategory> <com:FileName>2025144170000022.tif</com:FileName> <com:HeightMeasure com:measureUnitCode="Mm">16</com:HeightMeasure> <com:WidthMeasure com:measureUnitCode="Mm">140</com:WidthMeasure> </com:Image> (上記一般式(1)中、Rは、置換基又はヘテロ原子を有してもよい、炭素数2~20の炭化水素基を示す。)
【選択図】なし
特許請求の範囲
【請求項1】
ポリカーボネートジオールを製造する工程で用いられるジオール含有組成物であって、
少なくとも1級アミン及び2級アミンのいずれかと、下記一般式(I)で表されるジオール(1)を含む、ジオール含有組成物。
TIFF
2025144170000019.tif
16
140
(上記一般式(I)中、Rは、置換基又はヘテロ原子を有してもよい、炭素数2~20の炭化水素基を示す。)
続きを表示(約 1,100 文字)
【請求項2】
前記ジオール(1)が下記一般式(Ia)で表されるジオール(1a)を含む、請求項1に記載のジオール含有組成物。
TIFF
2025144170000020.tif
16
140
(上記一般式(1)中、nは、2~20の整数である。)
【請求項3】
前記ジオール(1)が、1,4-ブタンジオール、1,5-ペンタンジオール及び1,6-ヘキサンジオールから選ばれる少なくとも1種を含む、請求項2に記載のジオール含有組成物。
【請求項4】
前記1級アミン及び前記2級アミンが、1以上のアミノ基及び1以上の官能基を含有し、前記官能基が、水酸基、カルボキシル基、ホルミル基及びアミノ基からなる群より選択される少なくとも1種を含む、請求項1に記載のジオール含有組成物。
【請求項5】
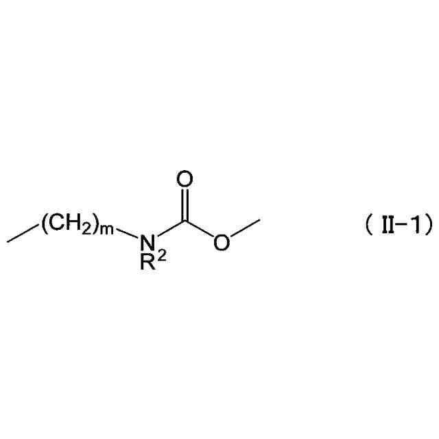
前記1級アミン及び前記2級アミンが、下記一般式(II)で表されるアミンを含む、請求項1に記載のジオール含有組成物。
TIFF
2025144170000021.tif
16
140
(上記一般式(II)中、R
1
は、X以外の置換基を有していてもよい、r個の置換基Xを有する炭素数2~20のアルキル基を示す。Xは、水酸基、カルボキシル基、ホルミル基、アミノ基のいずれかを示す。rは、1~6の整数である。R
2
は、置換基を有していてもよい、炭素数1~20のアルキル基又は水素原子を示す。)
【請求項6】
前記1級アミン又は2級アミンが、6-アミノ-1-ヘキサノール、6-メチルアミノ-1-ヘキサノール、及び6-エチルアミノ-1-ヘキサノールから選ばれる少なくとも1種を含む、請求項5に記載のジオール含有組成物。
【請求項7】
前記ジオール含有組成物中に含まれる、前記1級アミン及び前記2級アミンの合計含有量が、該ジオール含有組成物の総質量に対して、窒素原子換算で1質量ppm以上である、請求項1に記載のジオール含有組成物。
【請求項8】
前記ジオール含有組成物中に含まれる、前記1級アミン及び前記2級アミンの合計含有量が、該ジオール含有組成物の総質量に対して、窒素原子換算で1500質量ppm以下である、請求項1に記載のジオール含有組成物。
【請求項9】
前記ジオール(1)が、バイオマス由来のジオールを含む、請求項1に記載のジオール含有組成物。
【請求項10】
請求項1~9のいずれか一項に記載のジオール含有組成物とカーボネート系化合物を原料とする、ポリカーボネートジオール。
(【請求項11】以降は省略されています)
発明の詳細な説明
【技術分野】
【0001】
本発明は、ジオール含有組成物に関する。
さらに、本発明は、前記ジオール含有組成物を原料とするポリカーボネートジオール、及び、前記ポリカーボネートジオールを原料とするポリウレタンに関する。
続きを表示(約 1,400 文字)
【背景技術】
【0002】
1,6-ヘキサンジオールや1,4-ブタンジオール等のジオールは、ポリカーボネートジオールやポリエーテルポリカーボネートジオール、ポリエステルポリカーボネートジオール等の原料として広く利用されている(非特許文献1)。
例えば、ソフトセグメント部の原料にポリカーボネートジオールを用いたポリウレタンは、耐熱性及び耐加水分解性において最良な耐久グレードとされており、耐久性フィルムや自動車用人工皮革、(水系)塗料、接着剤として広く利用されている。
また、ポリウレタンの柔軟性や結晶性、強度等を向上するため、1,6-ヘキサンジオール等のジオールに、他のジオールを組み合わせたポリカーボネートジオールが用いられることもある。
【0003】
例えば、特許文献1には、ポリカーボネートジオール含有組成物に特定構造の3級アミノアルコールを配合することで、得られるポリカーボネートの着色を抑え、かつ、ポリイソシアネート化合物との反応性を適度に向上させ、ポリウレタン製造の効率を向上する技術が開示されている。
【先行技術文献】
【特許文献】
【0004】
特開2018-053072号公報
【非特許文献】
【0005】
“ポリウレタンの基礎と応用”96頁~106頁 松永勝治 監修、(株)シーエムシー出版、2006年11月発行
【発明の概要】
【発明が解決しようとする課題】
【0006】
しかしながら、特許文献1は、ポリカーボネートジオール含有組成物中に含有させる3級アミンに着目しているだけであり、具体的には、8-ジメチルアミノ-1-オクタノールのみ開示しているに過ぎない。
また、特許文献1は、ジオール含有組成物に3級アミン以外の他のアミンを含有させることによって、機械的特性のバラツキが抑制され、品質が均一なポリウレタンを得ることについて、何ら言及していない。
【0007】
本発明は、得られるポリカーボネートジオールの色調を良好に維持しつつ、機械的特性のバラツキが抑制され、品質が均一であり、機械的特性及び耐薬品性が良好なポリウレタンを製造することが可能な、ジオール含有組成物を提供することを課題とする。
さらに、本発明は、機械的特性のバラツキが抑制され、品質が均一であり、機械的特性及び耐薬品性が良好なポリウレタンを製造することが可能な、ポリカーボネートジオール有組成物を提供することを課題とする。
さらに、本発明は、機械的特性のバラツキが抑制され、品質が均一であり、機械的特性及び耐薬品性が良好なポリウレタンを提供することを課題とする。
【課題を解決するための手段】
【0008】
本発明者らは、上記の課題を解決すべく鋭意研究を重ねた結果、1級アミン又は2級アミンを含むジオール含有組成物を、ポリカーボネートジオールの原料に用いることにより、上記課題を解決できることを見出した。
【0009】
本発明は、以下を要旨とする。
【0010】
[1] ポリカーボネートジオールを製造する工程で用いられるジオール含有組成物であって、少なくとも1級アミン及び2級アミンのいずれかと、下記一般式(I)で表されるジオール(1)を含む、ジオール含有組成物。
(【0011】以降は省略されています)
この特許をJ-PlatPat(特許庁公式サイト)で参照する
関連特許
三菱ケミカル株式会社
積層体
3日前
三菱ケミカル株式会社
成形品の製造方法
2日前
三菱ケミカル株式会社
精製ガスの製造方法
2日前
三菱ケミカル株式会社
精製ガスの製造方法
2日前
三菱ケミカル株式会社
オルガノポリシロキサン
3日前
三菱ケミカル株式会社
樹脂組成物、および成形品
2日前
三菱ケミカル株式会社
槽の洗浄方法及びシリカ粒子の製造方法
3日前
三菱ケミカル株式会社
有機電界発光素子、表示装置、照明装置
2日前
三菱ケミカル株式会社
積層ポリエステルフィルム及びその応用
3日前
三菱ケミカル株式会社
樹脂組成物、ペレット、および、成形品
2日前
三菱ケミカル株式会社
化合物、並びにその製造方法及びその使用
3日前
三菱ケミカル株式会社
有機電界発光素子、表示装置及び照明装置
3日前
三菱ケミカル株式会社
有機電界発光素子、表示装置及び照明装置
3日前
三菱ケミカル株式会社
有機電界発光素子、表示装置及び照明装置
3日前
三菱ケミカル株式会社
建材用金属酸化物層被覆体、及びその製造方法
2日前
三菱ケミカル株式会社
コロイド結晶層を含む積層体及びその製造方法
3日前
三菱ケミカル株式会社
離型フィルム、離型フィルムロール及び粘着体
2日前
三菱ケミカル株式会社
離型フィルム、離型フィルムロール及び粘着体
2日前
三菱ケミカル株式会社
フィルムロールの製造装置及びフィルムロール
2日前
三菱ケミカル株式会社
(メタ)アクリル系共重合体、及び防汚塗料組成物
3日前
三菱ケミカル株式会社
フィルム、深絞り包装用フィルム、及びリサイクルフィルム
2日前
三菱ケミカル株式会社
有機電界発光素子、並びに、これを備える表示装置及び照明装置
2日前
三菱ケミカル株式会社
電子写真感光体、電子写真感光体カートリッジ及び画像形成装置
2日前
三菱ケミカル株式会社
電子写真感光体、電子写真感光体カートリッジ及び画像形成装置
2日前
三菱ケミカル株式会社
熱可塑性樹脂成形体の製造方法、および、熱可塑性樹脂フィルム
2日前
三菱ケミカル株式会社
電子写真感光体、電子写真感光体カートリッジ及び画像形成装置
2日前
三菱ケミカル株式会社
トナー、トナーカートリッジ、画像形成装置及びトナーの製造方法
3日前
三菱ケミカル株式会社
感光性樹脂組成物、硬化物、隔壁、有機電界発光素子及び画像表示装置
2日前
三菱ケミカル株式会社
感光性樹脂組成物、硬化物、隔壁、有機電界発光素子及び画像表示装置
2日前
三菱ケミカル株式会社
積層セラミックコンデンサー製造用積層ポリエステルフィルム及びその応用
3日前
三菱ケミカル株式会社
樹脂、感光性樹脂組成物、硬化物、隔壁、有機電界発光素子及び画像表示装置
2日前
三菱ケミカル株式会社
不飽和カルボン酸合成用触媒の製造方法、および、不飽和カルボン酸合成用触媒
2日前
三菱ケミカル株式会社
不飽和カルボン酸合成用触媒の製造方法、および、不飽和カルボン酸合成用触媒
2日前
三菱ケミカル株式会社
不飽和カルボン酸合成用触媒の製造方法、および、不飽和カルボン酸合成用触媒
2日前
三菱ケミカル株式会社
有機電界発光素子用の組成物、有機電界発光素子とその製造方法、及び表示装置
2日前
三菱ケミカルインフラテック株式会社
セメント系材料用補強材及びその製造方法
3日前
続きを見る
他の特許を見る