TOP
|
特許
|
意匠
|
商標
特許ウォッチ
Twitter
他の特許を見る
10個以上の画像は省略されています。
公開番号
2025139879
公報種別
公開特許公報(A)
公開日
2025-09-29
出願番号
2024038957
出願日
2024-03-13
発明の名称
高分子化合物を分解する方法、及びそのための組成物
出願人
学校法人神奈川大学
代理人
個人
主分類
C08G
63/688 20060101AFI20250919BHJP(有機高分子化合物;その製造または化学的加工;それに基づく組成物)
要約
【課題】上記一般式(1)で表す部分構造を備えた高分子化合物の分解方法について、酸化作用の比較的弱い酸化剤を用いることができ、また、スルフィド部分の酸化とそれに続く塩基による分解とを同じ溶液中で進行させることのできる方法を提供すること。
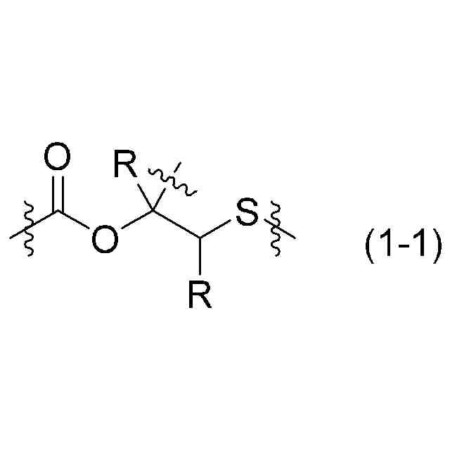
【解決手段】本発明は、下記一般式(1)で表す部分構造を備えた高分子化合物に、塩基性条件下、触媒を共存させた状態で酸化剤を作用させることでその高分子化合物を分解するものであり、その触媒が、バナジウム、ニオブ、タンタル、クロム、モリブデン若しくはタングステンのオキソ酸又はその塩からなる化合物、及びそのオキソ酸とヘテロ原子のオキソ酸とが縮合してなるヘテロポリ酸又はその塩からなる群より選択される少なくとも一つであることを特徴とする。
<com:Image com:imageContentCategory="Drawing"> <com:ImageFormatCategory>TIFF</com:ImageFormatCategory> <com:FileName>2025139879000025.tif</com:FileName> <com:HeightMeasure com:measureUnitCode="Mm">19</com:HeightMeasure> <com:WidthMeasure com:measureUnitCode="Mm">141</com:WidthMeasure> </com:Image> 【選択図】なし
特許請求の範囲
【請求項1】
下記一般式(1)で表す部分構造を備えた高分子化合物を分解する方法であって、塩基性条件下にて触媒を共存させた状態で酸化剤を作用させることを特徴とし、
前記触媒が、バナジウム、ニオブ、タンタル、クロム、モリブデン若しくはタングステンのオキソ酸又はその塩、及びそのオキソ酸とヘテロ原子のオキソ酸とが縮合してなるヘテロポリ酸又はその塩からなる群より選択される少なくとも一つである方法。
TIFF
2025139879000021.tif
19
141
(上記一般式(1)において、各Rはそれぞれ独立に水素原子、置換基を有してもよい炭素数1~10のアルキル基、置換基を有してもよいアリール基、又は一般式(1)の外の原子へ結合する単結合であり、波線を付した単結合は、一般式(1)の外の原子への結合を表す。)
続きを表示(約 1,600 文字)
【請求項2】
前記触媒の量が、前記高分子化合物に含まれる前記一般式(1)で表す部分構造の数に対して0.001当量~0.5当量である請求項1記載の方法。
【請求項3】
前記酸化剤が過酸化水素又は有機過酸化物である請求項1記載の方法。
【請求項4】
前記分解が、水系溶媒中で行われる請求項3記載の方法。
【請求項5】
前記高分子化合物が、下記一般式(2a)又は一般式(2b)で表す繰り返し単位を備えたものである請求項1~4のいずれか1項記載の方法。
TIFF
2025139879000022.tif
24
151
(上記一般式(2a)において、各Rはそれぞれ独立に水素原子、置換基を有してもよい炭素数1~10のアルキル基又は置換基を有してもよいアリール基であり、Xは2価の基である。上記一般式(2b)において、各Rはそれぞれ独立に水素原子、置換基を有してもよい炭素数1~10のアルキル基又は置換基を有してもよいアリール基であり、R
1
は、置換基を有してもよい炭素数1~10のアルキル基又は置換基を有してもよいアリール基であるか、R
1
と1つのRとが互いに結合して環状構造を形成してもよく、Xは2価の基又は単結合である。)
【請求項6】
前記高分子化合物が、下記一般式(2a-2)又は一般式(2b-2)で表す繰り返し単位を備えたものである請求項5記載の方法。
TIFF
2025139879000023.tif
22
145
(上記一般式(2a-2)において、各Rはそれぞれ独立に水素原子、置換基を有してもよい炭素数1~10のアルキル基又は置換基を有してもよいアリール基であり、X
2
は2価の基であり、X
3
はアリーレン基であり、Aは単結合、-NH-又は酸素原子である。上記一般式(2b-2)において、各Rはそれぞれ独立に水素原子、置換基を有してもよい炭素数1~10のアルキル基又は置換基を有してもよいアリール基であり、R
1
は、置換基を有してもよい炭素数1~10のアルキル基又は置換基を有してもよいアリール基であるか、R
1
と1つのRとが互いに結合して環状構造を形成してもよく、X
2
は、2価の基であり、X
3
は、アリーレン基であり、Aは、単結合、-NH-又は酸素原子である。)
【請求項7】
前記一般式(2a-2)又は一般式(2b-2)におけるX
3
が置換基を有してもよいフェニレン基であり、Aが単結合である請求項6記載の方法。
【請求項8】
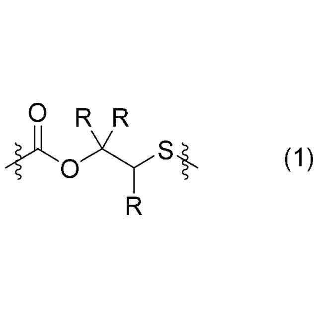
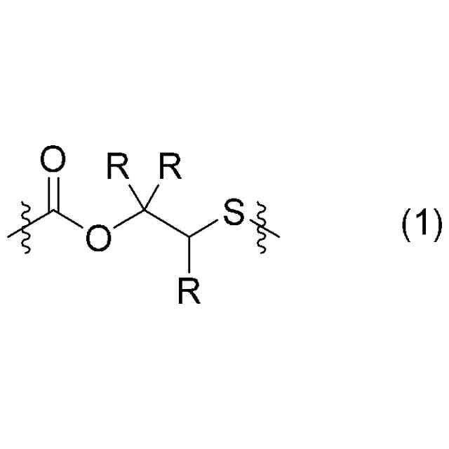
酸化剤と塩基化合物と触媒と溶媒と、を含み、
前記触媒が、バナジウム、ニオブ、タンタル、クロム、モリブデン若しくはタングステンのオキソ酸又はその塩、及びそのオキソ酸とヘテロ原子のオキソ酸とが縮合してなるヘテロポリ酸又はその塩からなる群より選択される少なくとも一つであることを特徴とする、下記一般式(1)で表す部分構造を備えた高分子化合物を分解するための組成物。
TIFF
2025139879000024.tif
19
141
(上記一般式(1)において、各Rはそれぞれ独立に水素原子、置換基を有してもよい炭素数1~10のアルキル基、置換基を有してもよいアリール基、又は一般式(1)の外の原子へ結合する単結合であり、波線を付した単結合は、一般式(1)の外の原子への結合を表す。)
【請求項9】
前記酸化剤が過酸化水素又は有機過酸化物である請求項8記載の組成物。
【請求項10】
前記溶媒が、水系溶媒である請求項9記載の組成物。
発明の詳細な説明
【技術分野】
【0001】
本発明は、高分子化合物を分解する方法、及びそのための組成物に関するものである。
続きを表示(約 2,800 文字)
【背景技術】
【0002】
近年、環境保護の観点等から、廃棄しても自然に分解されるような、生分解性高分子や光分解性高分子に代表される分解性高分子材料の開発が盛んに行われている。しかし、生分解性高分子や光分解性高分子は、通常の使用環境において経時的な劣化を伴うことが問題となっている。
【0003】
このため、使用時に経時的に劣化することなく、廃棄時に速やかに分解可能なポリマーが求められており、廃棄時に酸化剤により容易に分解可能な高分子化合物として、ジカルボン酸又はその反応性誘導体(酸クロライドや活性エステル誘導体)と、ヒドラジン又はジカルボン酸のジヒドラジドとを重縮合させて得られるポリ(ジアシルヒドラジン)が数例提案されている(例えば、特許文献1、2を参照)。
【0004】
また、特許文献3には、下記一般式(1)で表す部分構造を備えた高分子化合物が開示されている。この高分子化合物には、一般式(1)に示すようにスルフィド(硫黄原子)が存在する。そして、そのスルフィドのβ位となる炭素原子に、安定なアニオンを形成して脱離基となり得るカルボニルオキシ基が結合しており、このスルフィドを酸化剤で酸化させた後で塩基を作用させると、下記化学反応式にて(A)~(D)又は(A’)~(D’)で示すように、塩基の作用によりカルボニルオキシ基がアニオンとなって上記β炭素から脱離して、ポリマー鎖が切断される。
TIFF
2025139879000001.tif
19
141
TIFF
2025139879000002.tif
51
166
【0005】
すなわち、上記一般式(1)で表す部分構造は、まず、酸化剤による酸化を受けて(B)に示すようにスルフィド部分が酸化されてスルホンに変換される。このことは、下段に示した(A’)→(B’)についても同様である。そして、この酸化を受けてスルフィドがスルホンに変換されると、スルホンのα炭素の電子密度が小さくなり、この炭素に結合する水素原子の酸性度が高まる。このとき、周囲に塩基が存在するとα炭素の水素原子がプロトンとして引き抜かれ、カルボアニオンである中間体(C)となる。中間体(C)において、アニオンとして安定に存在できるカルボニルオキシ基がβ炭素に結合していると、このカルボニルオキシ基がカルボキシラートアニオンとなって、(D)に示すように分子内開裂を生じる。すなわち、上記一般式(1)の部分構造を備えた高分子化合物は、(A)から(D)に示す一連の反応を経て低分子量化され、化合物としての再利用や廃棄処理に適した状態になる。なお、下段に示した(A’)から(D’)についても同様の反応機構で低分子量化される。
【先行技術文献】
【特許文献】
【0006】
特開2006-022315号公報
特開2011-052075号公報
国際公開WO2024/004741 A1
【発明の概要】
【発明が解決しようとする課題】
【0007】
特許文献3に記載されたポリマーは、上記のように塩基性条件下で酸化剤を作用させることで分解されるが、現実的には、弱い酸化剤では上記の酸化を引き起こすことが難しいことから例えば過硫酸塩のような強力な酸化剤を用いざるを得ず、そうすると強力な酸化剤により塩基が酸化されて反応が進行し難くなる問題があった。このため、酸化剤を用いた酸化工程(上記化学反応式における(A)→(B)の反応工程)と塩基条件下で行う分解工程(上記化学反応式における(B)→(D)の反応工程)とを別々の溶液中でそれぞれ実行しなければならず、一液でこのポリマーを分解することは困難だった。また、このように二工程で分解を行う場合、最初の酸化工程では上記ポリマーからなるプラスチック製品の表面しか酸化されず、次の分解工程ではこの酸化された表面しか分解されないので、別々の溶液中で行われる酸化工程と分解工程とを繰り返し実行せざるを得なくなり、非常に煩雑だった。
【0008】
本発明は、以上の状況に鑑みてなされたものであり、上記一般式(1)で表す部分構造を備えた高分子化合物の分解方法について、酸化作用の比較的弱い酸化剤を用いることができ、また、スルフィド部分の酸化とそれに続く塩基による分解とを同じ溶液中で進行させることのできる方法を提供することを目的とする。
【課題を解決するための手段】
【0009】
本発明者は、上記の課題を解決するために鋭意検討を重ねた結果、上記一般式(1)で表す部分構造を備えた高分子化合物を酸化剤及び塩基を用いて分解するにあたり、バナジウム、ニオブ、タンタル、クロム、モリブデン若しくはタングステンのオキソ酸又はその塩、及びそのオキソ酸とヘテロ原子のオキソ酸とが縮合してなるヘテロポリ酸又はその塩からなる群より選択される少なくとも一つを触媒として用いることにより、過酸化水素や有機過酸化物のような弱く、また塩基性条件下で酸化作用を発現し難い酸化剤でもスルフィドを酸化させることができることを見出した。そして、このように弱い酸化剤を用いることにより、塩基化合物の作用が酸化剤で阻害されることも無くなり、ゆえに、酸化剤と塩基化合物とを同じ溶液中に共存させて一液処理を行うことが可能となることを見出した。また、この一液処理では、上記ポリマーからなるプラスチック製品の表面での酸化工程と、塩基条件下による分解工程とを同じ溶液中で一度に進めることができるので、上記のように酸化工程と分解工程とを別々の溶液で交互に行う場合に比べて遙かに効率的と言える。具体的には、本発明は以下のようなものを提供する。
【0010】
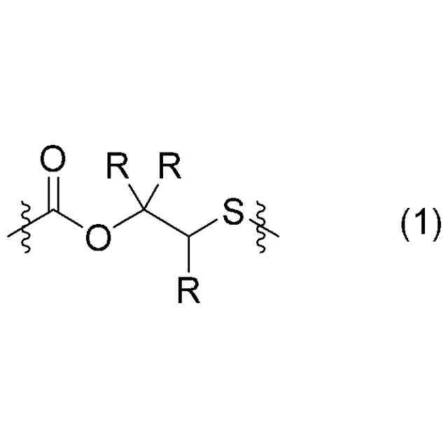
(1)本発明は、下記一般式(1)で表す部分構造を備えた高分子化合物を分解する方法であって、塩基性条件下にて触媒を共存させた状態で酸化剤を作用させることを特徴とし、この触媒が、バナジウム、ニオブ、タンタル、クロム、モリブデン若しくはタングステンのオキソ酸又はその塩、及びそのオキソ酸とヘテロ原子のオキソ酸とが縮合してなるヘテロポリ酸又はその塩からなる群より選択される少なくとも一つとなる方法である。
TIFF
2025139879000003.tif
19
141
(上記一般式(1)において、各Rはそれぞれ独立に水素原子、置換基を有してもよい炭素数1~10のアルキル基、置換基を有してもよいアリール基、又は一般式(1)の外の原子へ結合する単結合であり、波線を付した単結合は、一般式(1)の外の原子への結合を表す。)
(【0011】以降は省略されています)
この特許をJ-PlatPat(特許庁公式サイト)で参照する
関連特許
学校法人神奈川大学
展開式浮体装置
3か月前
学校法人神奈川大学
座屈拘束ブレース
5か月前
学校法人神奈川大学
制御装置及び推定装置
27日前
学校法人神奈川大学
径可変車輪及び車輪駆動装置
7か月前
学校法人神奈川大学
エネルギー変換器及び加工装置
20日前
学校法人神奈川大学
接着加工部材の製造方法及び治具
1か月前
学校法人神奈川大学
金属表面処理組成物及び製造方法
5か月前
学校法人神奈川大学
連結分離装置及びその組み立て方法
3か月前
学校法人神奈川大学
化合物及びそれを含んでなる発光材料
28日前
株式会社イノアック技術研究所
高分子
4か月前
学校法人神奈川大学
芳香族ポリエステルおよびその製造方法
1か月前
学校法人神奈川大学
ポリマー材料、成型体又は重合性半製品の製造方法
8日前
学校法人神奈川大学
高分子化合物を分解する方法、及びそのための組成物
8日前
ダイキン工業株式会社
フッ素含有ポリマーの分解方法
6か月前
学校法人神奈川大学
化合物、それを含んでなる光触媒、及び水素の製造方法
5か月前
学校法人神奈川大学
シクロペンタ-縮環多環芳香族炭化水素化合物の製造方法
1か月前
学校法人神奈川大学
酸水酸化物及びそれからなる蛍光発光体並びにそれらの製造方法
9か月前
学校法人神奈川大学
飽和回避制御装置、姿勢制御装置、自走式移動装置及び飽和回避制御方法
2か月前
日本化学工業株式会社
ホスフィンパラジウム錯体、重合触媒及び芳香族ポリマーの製造方法
3か月前
ダイキン工業株式会社
フッ素含有ポリマーの分解方法
2か月前
学校法人神奈川大学
バナジウムの回収方法、及びバナジウムとその他の金属とを含む溶液からバナジウムを選択的に回収する方法
1か月前
学校法人神奈川大学
化合物、エポキシ基含有化合物に対する反応剤、硬化性組成物及び化学反応方法
4か月前
学校法人神奈川大学
クラックパターン膜及びそれからなる透明導電膜形成用マスク、クラックパターン膜の製造方法、透明導電膜の製造方法、導電膜の基材に対する密着性を向上させる方法、並びに導電膜
1か月前
ユニチカ株式会社
透明シート
1か月前
ユニチカ株式会社
透明シート
8日前
株式会社カネカ
硬化性組成物
2か月前
株式会社コバヤシ
成形体
5日前
東レ株式会社
熱硬化性樹脂組成物
1か月前
東レ株式会社
引抜成形品の製造方法
1か月前
東レ株式会社
ポリエステルフィルム
3か月前
東レ株式会社
ポリエステルフィルム
12日前
住友精化株式会社
吸水剤の製造方法
18日前
丸住製紙株式会社
変性パルプ
8日前
東ソー株式会社
樹脂組成物および蓋材
26日前
花王株式会社
樹脂組成物
2か月前
東ソー株式会社
樹脂組成物および蓋材
26日前
続きを見る
他の特許を見る