TOP
|
特許
|
意匠
|
商標
特許ウォッチ
Twitter
他の特許を見る
10個以上の画像は省略されています。
公開番号
2025138907
公報種別
公開特許公報(A)
公開日
2025-09-25
出願番号
2025120291
出願日
2025-07-17
発明の名称
添加剤組成物、樹脂組成物、合成樹脂用添加剤マスターバッチ、成形品および樹脂組成物の製造方法
出願人
株式会社ADEKA
代理人
個人
,
個人
,
個人
,
個人
主分類
C08L
101/00 20060101AFI20250917BHJP(有機高分子化合物;その製造または化学的加工;それに基づく組成物)
要約
【課題】合成樹脂の特性を向上させることができる添加剤組成物、樹脂組成物、合成樹脂用添加剤マスターバッチ、成形品および樹脂組成物の製造方法を提供する。
【解決手段】下記一般式(1)で表される一価の基を含む化合物を含み、顆粒状である、添加剤組成物。
【化1】
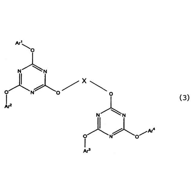
<com:Image com:imageContentCategory="Drawing"> <com:ImageFormatCategory>JPEG</com:ImageFormatCategory> <com:FileName>2025138907000033.jpg</com:FileName> <com:HeightMeasure com:measureUnitCode="Mm">39</com:HeightMeasure> <com:WidthMeasure com:measureUnitCode="Mm">78</com:WidthMeasure> </com:Image> (一般式(1)中、Xは2価の基を表し、Ar
1
およびAr
2
はそれぞれ独立に無置換の若しくは置換基を有するフェニル基を表し、*は他の原子と結合する部位を表す。)
【選択図】なし
特許請求の範囲
【請求項1】
下記一般式(1)で表される一価の基を含む化合物を含み、
顆粒状である、
添加剤組成物。
JPEG
2025138907000031.jpg
39
78
(一般式(1)中、Xは2価の基を表し、Ar
1
およびAr
2
はそれぞれ独立に無置換の若しくは置換基を有するフェニル基を表し、*は他の原子と結合する部位を表す。)
続きを表示(約 520 文字)
【請求項2】
合成樹脂と、
下記一般式(1)で表される一価の基を含む化合物と、
を含む樹脂組成物。
JPEG
2025138907000032.jpg
39
78
(一般式(1)中、Xは2価の基を表し、Ar
1
およびAr
2
はそれぞれ独立に無置換の若しくは置換基を有するフェニル基を表し、*は他の原子と結合する部位を表す。)
【請求項3】
前記合成樹脂がポリオレフィン系樹脂を含む、請求項2に記載の樹脂組成物。
【請求項4】
請求項2または3に記載の樹脂組成物からなる合成樹脂用添加剤マスターバッチ。
【請求項5】
請求項2または3に記載の樹脂組成物を成形して得られる成形品。
【請求項6】
合成樹脂と、
請求項1に記載の添加剤組成物と、
を混合する配合工程を含む、樹脂組成物の製造方法。
【請求項7】
合成樹脂と、
請求項4に記載の合成樹脂用添加剤マスターバッチと、
を混合する配合工程を含む、樹脂組成物の製造方法。
発明の詳細な説明
【技術分野】
【0001】
本発明は、合成樹脂の特性を向上させることができる添加剤組成物、樹脂組成物、合成樹脂用添加剤マスターバッチ、成形品および樹脂組成物の製造方法に関する。
続きを表示(約 860 文字)
【背景技術】
【0002】
合成樹脂の特性を向上させるための添加剤として、様々な化合物が利用されている。合成樹脂用添加剤として利用される化合物として、例えば、特許文献1には、トリフェニルオキシトリアジンなどが提案されており、当該化合物が熱可塑性樹脂の流動性改良剤となることが示されている。
【先行技術文献】
【特許文献】
【0003】
特開昭61-14261号公報
【発明の概要】
【発明が解決しようとする課題】
【0004】
しかしながら、特許文献1に記載の化合物では、合成樹脂の特性を十分に向上させることができない場合があり、さらなる改善の余地があった。
【0005】
そこで、本発明の目的は、合成樹脂の特性を向上させることができる添加剤組成物、樹脂組成物、合成樹脂用添加剤マスターバッチ、成形品および樹脂組成物の製造方法を提供することである。
【課題を解決するための手段】
【0006】
本発明者らは、上記課題を解決すべく鋭意検討した結果、特定の構造を有する化合物を含む組成物によれば、上記課題を解決できることを見出し、本発明を完成するに至った。
【0007】
すなわち本発明は、下記一般式(1)で表される一価の基を含む化合物を含み、顆粒状である、添加剤組成物である。
【0008】
JPEG
2025138907000001.jpg
39
78
【0009】
(一般式(1)中、Xは2価の基を表し、Ar
1
およびAr
2
はそれぞれ独立に無置換の若しくは置換基を有するフェニル基を表し、*は他の原子と結合する部位を表す。)
【0010】
また本発明は、合成樹脂と、下記一般式(1)で表される一価の基を含む化合物と、を含む樹脂組成物である。
(【0011】以降は省略されています)
この特許をJ-PlatPat(特許庁公式サイト)で参照する
関連特許
株式会社ADEKA
樹脂組成物、硬化物、その硬化物の製造方法及び化合物
6日前
株式会社ADEKA
製菓用油脂組成物
1日前
株式会社カネカ
硬化性組成物
2か月前
ユニチカ株式会社
透明シート
3日前
ユニチカ株式会社
透明シート
1か月前
株式会社コバヤシ
成形体
今日
東レ株式会社
熱硬化性樹脂組成物
1か月前
東レ株式会社
ポリエステルフィルム
7日前
東レ株式会社
引抜成形品の製造方法
1か月前
東レ株式会社
ポリエステルフィルム
3か月前
住友精化株式会社
吸水剤の製造方法
13日前
丸住製紙株式会社
変性パルプ
3日前
東ソー株式会社
樹脂組成物および蓋材
21日前
東レ株式会社
ポリオレフィン微多孔膜
2か月前
東ソー株式会社
樹脂組成物および蓋材
21日前
花王株式会社
樹脂組成物
2か月前
日本特殊陶業株式会社
樹脂成形体
13日前
UBE株式会社
衝撃吸収材
3日前
株式会社コバヤシ
光硬化性組成物
1か月前
株式会社カネカ
硬化性組成物
1か月前
株式会社大阪ソーダ
熱可塑性材料用組成物
2か月前
株式会社カネカ
硬化性組成物
13日前
東亞合成株式会社
硬化性組成物
2か月前
伯東株式会社
ビニル化合物中の重合防止方法
1か月前
アキレス株式会社
燻蒸用生分解性樹脂シート
1か月前
東レ株式会社
ポリエステル組成物の製造方法
6日前
株式会社クラレ
水性エマルジョン及び接着剤
3か月前
東ソー株式会社
温度応答性ビーズの製造方法
15日前
株式会社村田製作所
樹脂組成物
2か月前
東ソー株式会社
末端変性ポリマー及び光学素子
2か月前
東レ株式会社
プリプレグおよびその製造方法。
2か月前
株式会社イーテック
組成物
2か月前
株式会社リコー
炭素繊維含有樹脂組成物
1か月前
帝人株式会社
軽量ゴムおよびゴム成形体
2か月前
東ソー株式会社
導電性高分子溶液及びその用途
1か月前
株式会社イーテック
組成物
1か月前
続きを見る
他の特許を見る